Foro de preguntas y respuestas de Matemáticas

logo beUnicoos
Los foros de unicoos se han unificado en nuestra nueva plataforma beUnicoos. Para dejar nuevas preguntas deberás hacerlo allí, donde además podrás encontrar nuevas asignaturas y herramientas para ayudarte más con tus estudios.

  • icon

    Matemáticas
    el 12/2/17

    Prueba que una condición suficiente porque el triángulo ΔABC sea equilátero es la siguiente:

           La altura CH sobre el costado AB divide AB en dos partes iguales, y AC=2AH.

    Es necesaria?

    Prueba que también es una condición suficiente porque (a) ∠AHC=∠BHC y porque (b) ∠AHC=π/2.

    replythumb_up0 voto/sflag
    icon

    Antonius Benedictus
    el 12/2/17

    Pon foto del enunciado original. La redacción es confusa.

    thumb_up0 voto/sflag
    icon

    Matemáticas
    el 12/2/17

    Antonio, ese es el enunciado exacto del libro en el qué aparece.


    thumb_up0 voto/sflag
    icon

    Antonius Benedictus
    el 12/2/17


    thumb_up0 voto/sflag
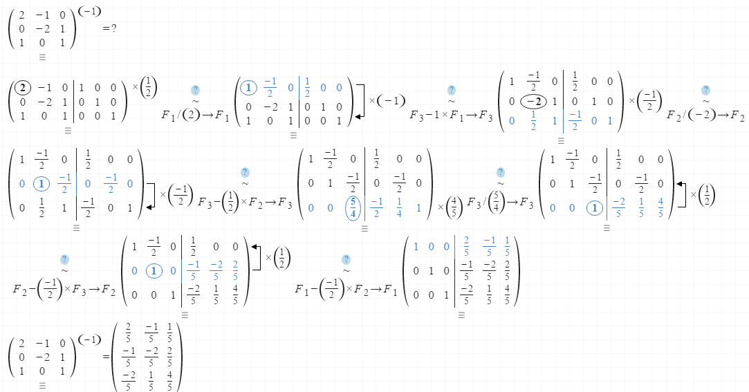
  • icon

    Berni Schulz
    el 12/2/17

    Hola únicos!! Tengo que calcular la matriz inversa y el resultado no concuerda con el del libro. En que he fallado? Muchas gracias!!

    replythumb_up0 voto/sflag
    icon

    Antonius Benedictus
    el 12/2/17

    Te corregimos, Berni:  https://matrixcalc.org/es/


    thumb_up0 voto/sflag
  • icon

    Valentina Villegas Picazo
    el 12/2/17

    Buenos días Unicoos , acabo de ver el video de función mantisa x-E(x) y basándome en ello he intentado hacer este ejercicio , más sin embargo no es el mismo así que no sé si era bien o mal ,  y explicarme cómo sacar el rango de esta función , sería de mucha ayuda si me dijeran si tengo errores o no , muchas gracias de antemano y saludos desde Colombia 

    replythumb_up0 voto/sflag
    icon

    Antonius Benedictus
    el 12/2/17


    Es así, Valentina:  


    thumb_up0 voto/sflag
    icon

    Valentina Villegas Picazo
    el 12/2/17

    pero no entiendo como llegar a ese resultado :(, y vi el video. como seria la tabla de valores para ese caso? 

    thumb_up0 voto/sflag
  • icon

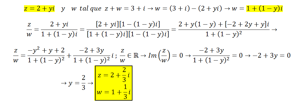
    lbp_14
    el 12/2/17

    Hola Unicoos, me podrían decir los errores que tengo ? 

    Muchas gracias

    replythumb_up0 voto/sflag
    icon

    David
    el 19/2/17

    Al hacer la raiz cubica es 0,1,2 en vez de 1,2,3 los valores que tienes que usar. El resto esta perfecto..
    Echale un ojo..  Numeros complejos 04 - Raiz
    Besos!

    thumb_up1 voto/sflag
  • icon

    Matias Benditkis
    el 12/2/17

    hola alguien me podria explicar como resolver las ecuaciones g) y h) ? 


    replythumb_up0 voto/sflag
    icon

    Nenúfar
    el 12/2/17

    Ahí tienes el apartado h

    thumb_up0 voto/sflag
    icon

    Matias Benditkis
    el 13/2/17

    te agradezco mucho jaja y el ejercicio g) me lo podrias pasar ?

    thumb_up0 voto/sflag
  • icon

    Paola
    el 12/2/17

    Hola , he visto un video de unicoos de ecuaciones trigonometricas y deja indicada una ecuacion que es sen(x+45)=1/√2 , no hay ningun angulo que yo conozca que tenga por seno 1/√2 , por lo tanto no se como hacerlo....

    replythumb_up1 voto/sflag
    icon

    Patri
    el 12/2/17

    Hola Paola,

    Al racionalizar 1/√2 queda √2/2  (1/√2=(1*√2)/(√2*√2)=√2/2).

    Conocemos un ángulo cuyo seno es √2/2, que es el de 45°.

    Espero que te haya quedado más claro. 

    thumb_up2 voto/sflag
  • icon

    Andrea Morcillo
    el 12/2/17

    Hola, ¿alguien me podría ayudar a resolver este ejercicio?

    Halla todas las ecuaciones de la recta R= 2x-3y+6=0 y pasa por el punto A (3,0)

    replythumb_up0 voto/sflag
    icon

    Antonius Benedictus
    el 12/2/17

    Pon foto original del enunciado, Andrea.

    thumb_up0 voto/sflag
  • icon

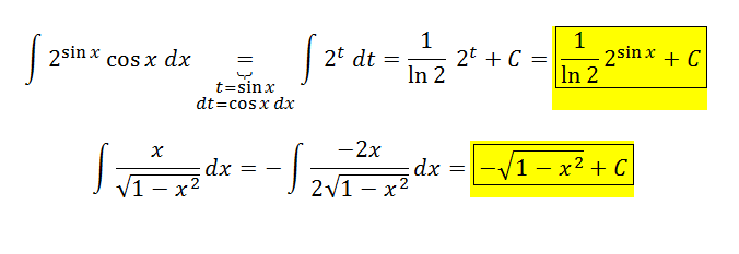
    María
    el 12/2/17

    Necesito ayuda con este ejercicio de integrales. Gracias de antemano.


    replythumb_up0 voto/sflag
    icon

    Antonius Benedictus
    el 12/2/17

    La segunda integral no está adecuada al nivel de bachiller. Revisa el enunciado.


    thumb_up0 voto/sflag
    icon

    María
    el 12/2/17

    Muchas gracias por tu respuesta, Antonio. Lo he revisado, y está correcto.

    thumb_up0 voto/sflag
  • icon

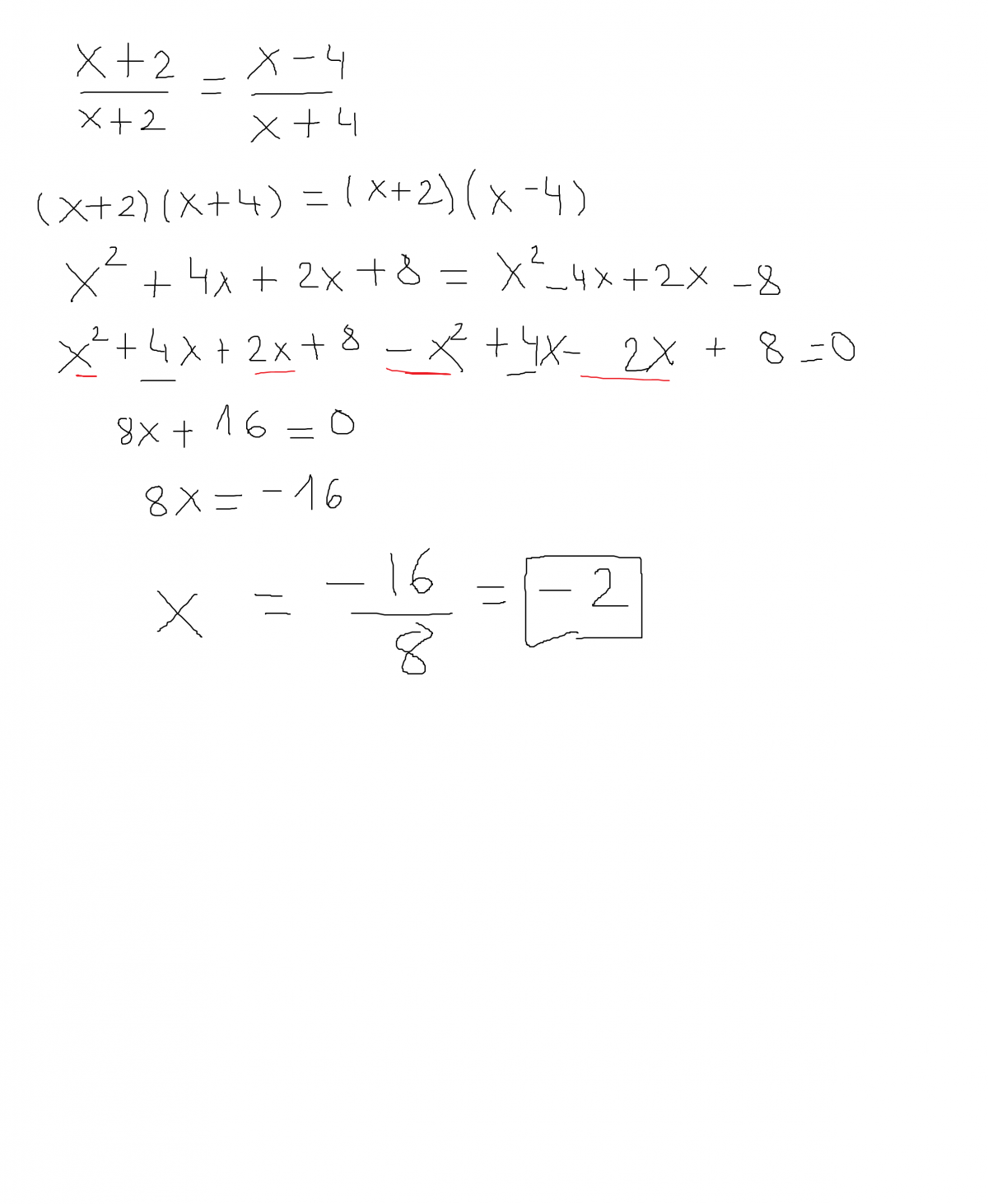
    lbp_14
    el 12/2/17

    Hola Unicoos, me ayudan con este ejercicio, no sé cómo plantearlo, Muchas gracias


    replythumb_up0 voto/sflag
    icon

    Antonius Benedictus
    el 12/2/17


    thumb_up1 voto/sflag
  • icon

    lbp_14
    el 12/2/17

    Hola Unicoos, en la calculadora me da 3, en qué he fallado? Muchas gracias

    replythumb_up0 voto/sflag
    icon

    David
    el 12/2/17

    es (-raiz de 3)^2, no (+raiz de 3)^2.



    thumb_up0 voto/sflag
    icon

    lbp_14
    el 12/2/17

    Como está elevado al cuadrado se convierte en positivo

    thumb_up0 voto/sflag