Foro de preguntas y respuestas de Matemáticas

logo beUnicoos
Los foros de unicoos se han unificado en nuestra nueva plataforma beUnicoos. Para dejar nuevas preguntas deberás hacerlo allí, donde además podrás encontrar nuevas asignaturas y herramientas para ayudarte más con tus estudios.

  • icon

    Ingrid
    el 11/2/17

    Me piden el conjunto soluciòn de la siguiente inecuaciòn, gracias.



    replythumb_up0 voto/sflag
    icon

    Antonius Benedictus
    el 11/2/17


    thumb_up1 voto/sflag
  • icon

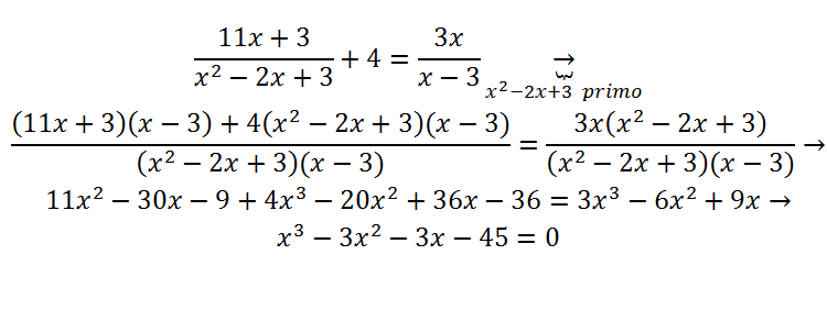
    Ingrid
    el 11/2/17


    Me pueden ayudar con el conjunto soluciòn, por favor




    replythumb_up0 voto/sflag
    icon

    Antonius Benedictus
    el 11/2/17







    thumb_up1 voto/sflag
    icon

    Antonius Benedictus
    el 11/2/17

    La ecuación de tercer grado obtenida es preciso resolverla por métodos que exceden el currículo de bachillerato.

    thumb_up0 voto/sflag
  • icon

    Sofia Enriquez
    el 11/2/17

    ME PODRÍAN AYUDAR CON ESTE PROBLEMA DE SISTEMA DE MEDICIÓN ANGULAR..

    En el sistema de medida angular "m" un grado "m" (1^m)equivale a 48ava parte del ángulo de una vuelta. A cuántos grados "m" equivale 44/21 rad? ( π=22/7)

    Gracias de antemano.

    replythumb_up0 voto/sflag
    icon

    Antonius Benedictus
    el 11/2/17


    thumb_up0 voto/sflag
    icon

    Sofia Enriquez
    el 11/2/17

    Muchísimas Gracias Antonio; pero tengo una pequeña duda; el término "m" fue cambiado por " rad" solo para que convenga ; al igual que la inversión de 2Π/48 ?


    thumb_up0 voto/sflag
  • icon

    Nicolás
    el 11/2/17

    hola unicoos.Tengo una inecuación con modulo y no se como se resolvería.  Modulo de  l (x+3)/(3-x) l >4

    replythumb_up0 voto/sflag
    icon

    Fran Foce
    el 11/2/17

    lo del modulo tiene que ser mayor a 4 y menor a -4, una manera es abrir los dos casos y resolver cada uno por separado normalmente

    thumb_up0 voto/sflag
    icon

    Nicolás
    el 11/2/17

    Hola,lo que me pasa es  que lo resolví como vos  decís y no llego  a la  solución correcta.


    thumb_up0 voto/sflag
    icon

    Fran Foce
    el 11/2/17


    thumb_up1 voto/sflag
    icon

    Nicolás
    el 11/2/17

    Entendí gracias.

    thumb_up0 voto/sflag
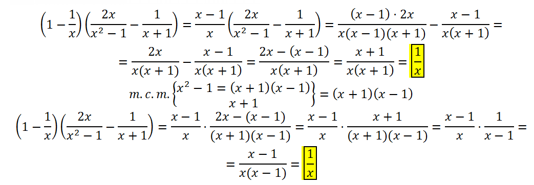
  • icon

    Soffy Montero
    el 10/2/17

    Buenas, estoy estudiando para el examen y necesito ayuda con este ejercicio ya que logre hacerlo casi todo. Muchas gracias.

    replythumb_up0 voto/sflag
    icon

    Antonius Benedictus
    el 10/2/17


    thumb_up1 voto/sflag
    icon

    Soffy Montero
    el 10/2/17

    Muchas gracias Antonio. Una pregunta, hay otra posible solución? Porque yo intente calcularlo haciendo que la raiz cuadrada tomara toda la fracción y me da S = 0. Intente adjuntar una imagen de mi calculo pero se tranca. Espero pueda ayudarme nuevamente. Disculpas por las molestias y muchas gracias por su tiempo.

    thumb_up0 voto/sflag
    icon

    Antonius Benedictus
    el 11/2/17

    Sale 1, lo he vuelto a comprobar.

    thumb_up1 voto/sflag
    icon

    Soffy Montero
    el 11/2/17

    Genial, muchas gracias nuevamente. Habia pensado que si la raíz tomaba todo tal vez cambiaba en algo, jeje.


    thumb_up0 voto/sflag
  • icon

    Mario
    el 10/2/17

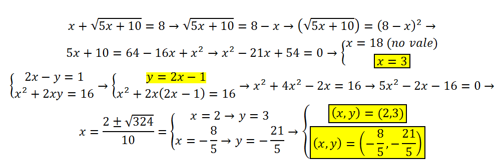
    ¿Me podrían ayudar con este ejercicio? Gracias de antemano.

    Resuelve:

    a) x+√5x+10=8

    b) 2x-y=1, x2+2xy=16

    El apartado b) es un sistema de ecuaciones. 

    replythumb_up0 voto/sflag
    icon

    Antonius Benedictus
    el 10/2/17


    thumb_up0 voto/sflag
    icon

    Mario
    el 10/2/17

    Muchas gracias Antonio.

    thumb_up0 voto/sflag
  • icon

    Soffy Montero
    el 10/2/17

    Holaa! podrian ayudarme?????

     

    replythumb_up0 voto/sflag
    icon

    Antonius Benedictus
    el 10/2/17


    thumb_up1 voto/sflag
    icon

    Soffy Montero
    el 10/2/17

    muchísimas gracias!! que tenga un buen día! :)

    thumb_up1 voto/sflag
  • icon

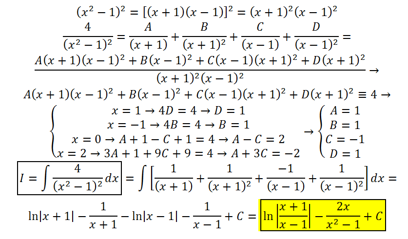
    javimartbar
    el 10/2/17

    Hola buenas, tengo un problema con esta integral porque lo que hago no me vale de nada y no sé hacerla. Me prodríais explicar como se hace? Muchas gracias.

    replythumb_up0 voto/sflag
    icon

    Antonius Benedictus
    el 10/2/17

    Esto va así, Javi:


    thumb_up1 voto/sflag
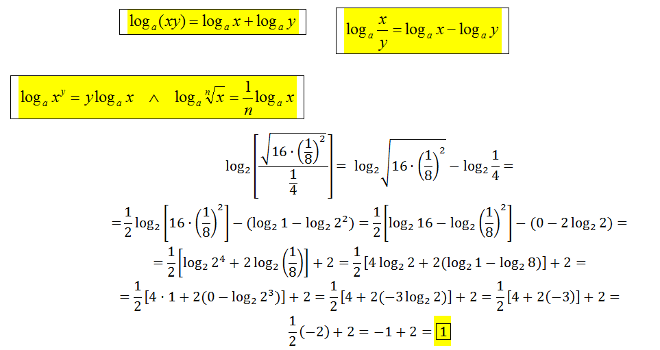
  • icon

    María
    el 10/2/17

    Ayuda con este ejercicio. Paso a paso por favor. Gracias de antemano.



    replythumb_up0 voto/sflag
    icon

    Antonius Benedictus
    el 10/2/17

    Paso a paso:


    thumb_up0 voto/sflag
    icon

    María
    el 10/2/17

    Muchas gracias, Antonio.

    thumb_up0 voto/sflag
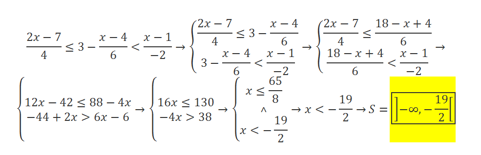
  • icon

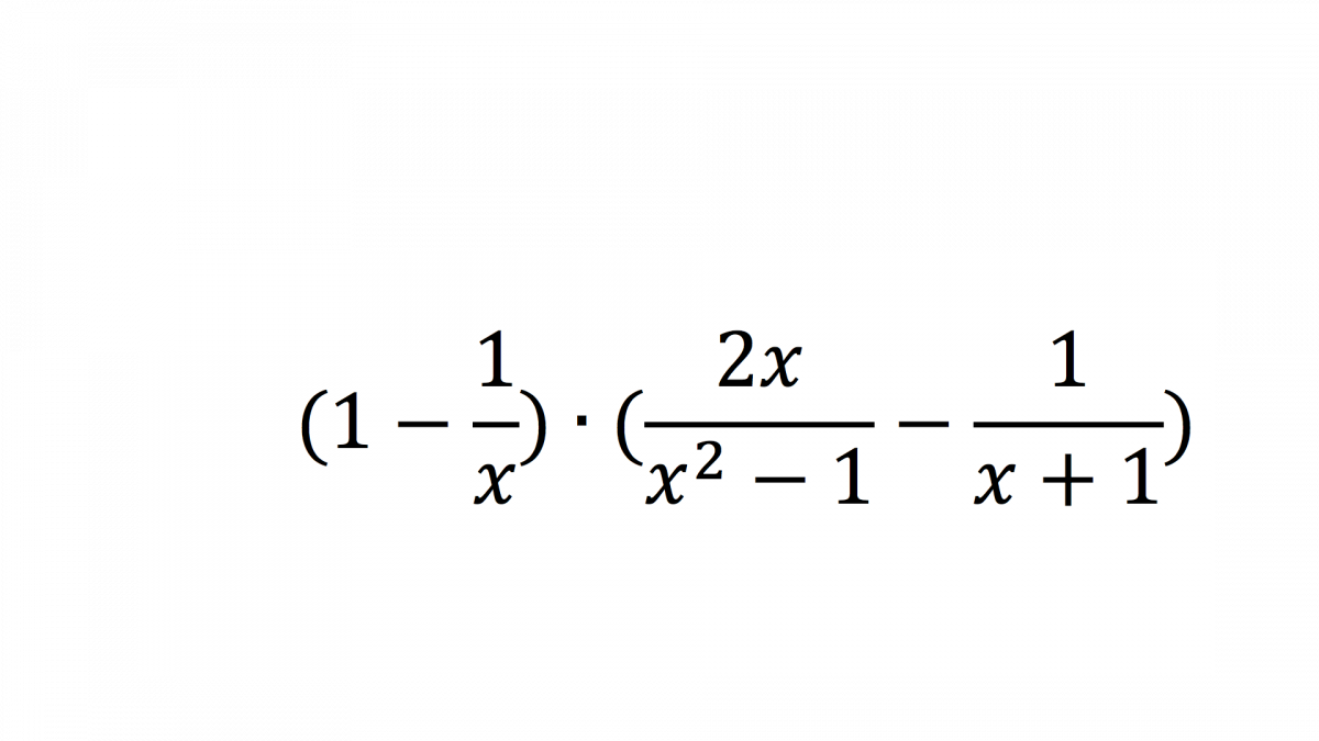
    Paula
    el 10/2/17

    Alguien que sepa resolver este ejercicio. Si puede ser, me gustaría que estuviera resuelto por dos métodos: una con el mcm y otra trabajando la fracción. Gracias de antemano.


    replythumb_up0 voto/sflag
    icon

    Antonius Benedictus
    el 10/2/17


    thumb_up0 voto/sflag
    icon

    Paula
    el 10/2/17

    Muchísimas gracias Antonio.

    thumb_up0 voto/sflag