Foro de preguntas y respuestas de Matemáticas

logo beUnicoos
Los foros de unicoos se han unificado en nuestra nueva plataforma beUnicoos. Para dejar nuevas preguntas deberás hacerlo allí, donde además podrás encontrar nuevas asignaturas y herramientas para ayudarte más con tus estudios.

  • icon

    Andrés Musetti
    el 10/2/17

    MATEMÁTICA APROBADO!!!! MUCHAS GRACIAS A TODOS UNICOOS #NOSVEMOSENCLASE

    replythumb_up0 voto/sflag
    icon

    Antonius Benedictus
    el 10/2/17

    Enhorabuena, pibe!

    thumb_up1 voto/sflag
  • icon

    Paula Beatriz
    el 10/2/17

    Hola Unicoos me podrían ayudar a continuar el ejercicio b?

    replythumb_up0 voto/sflag
    icon

    José Manuel
    el 10/2/17

    Tu fallo reside en el cálculo del producto escalar, sean los vectores u=(a,b) , v=(c,d) , u·v=(ac+bd) , intentalo de nuevo, el angulo tiene que darte de 102.52º

    thumb_up1 voto/sflag
    icon

    Antonius Benedictus
    el 10/2/17


    thumb_up1 voto/sflag
  • icon

    Ele Fg
    el 10/2/17

    Hola Unicoos me podrían explicar un ejercicio de como se desarrolla el sistema sexagesimal, gracias.


    replythumb_up0 voto/sflag
    icon

    César
    el 10/2/17

  • icon

    Mariana Belén Plaza
    el 10/2/17

    hola Unicoos! me tienden una mano? muchas gracias! 

    replythumb_up0 voto/sflag
    icon

    Antonius Benedictus
    el 10/2/17


    thumb_up1 voto/sflag
  • icon

    Anii Gerardo
    el 10/2/17

    me podrian ayudar con este ejercicio ?

    replythumb_up0 voto/sflag
    icon

    Antonius Benedictus
    el 10/2/17


    thumb_up1 voto/sflag
    icon

    Anii Gerardo
    el 10/2/17

    no entendí el proseguimiento :3

    thumb_up0 voto/sflag
  • icon

    Lucía Barrios
    el 10/2/17

    Hola podrían ayudarme por favor?

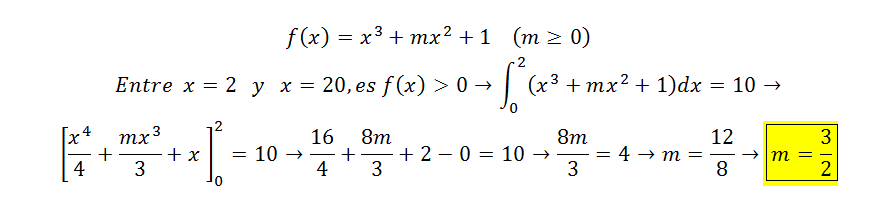
    Consideremos la función f(x)= x^3+mx^2+1 con m≥0. Calcular el valor de m para que el área del recinto limitado por la gráfica f(x), el eje 0X y las rectas x=0 y x=2 sea 10.

    replythumb_up0 voto/sflag
    icon

    Antonius Benedictus
    el 10/2/17


    thumb_up1 voto/sflag
  • icon

    Marcos
    el 10/2/17

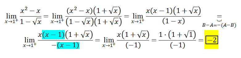
    Me podría alguien ayudar a calcular este límite, por favor?


    replythumb_up0 voto/sflag
    icon

    Antonius Benedictus
    el 10/2/17


    thumb_up0 voto/sflag
  • icon

    ainara
    el 10/2/17

    donde puedo encontrar ejercicios?


    replythumb_up0 voto/sflag
  • icon

    cathh
    el 10/2/17

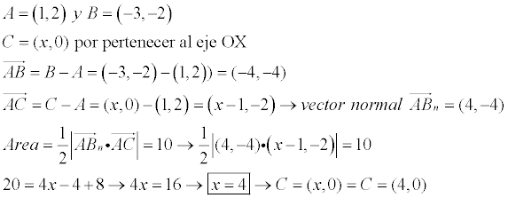
    Hola, alguien sería tan amable de echarme un cable con esto: El área de un triángulo es de 10 u2 . Dos de sus vértices son  A=(1,2) y B=(-3,-2). El tercer vértice está en el eje OX. Obtén el triángulo. Mil gracias :)

    replythumb_up0 voto/sflag
    icon

    Antonius Benedictus
    el 10/2/17


    thumb_up1 voto/sflag
    icon

    César
    el 10/2/17


    thumb_up1 voto/sflag
  • icon

    Myriam Di Mitro Pisarro
    el 10/2/17

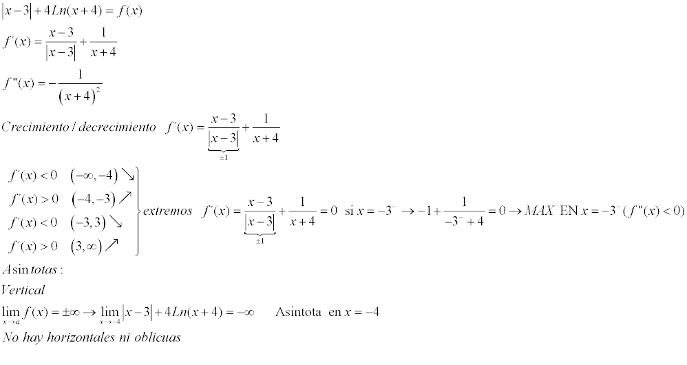
    Ιx-3Ι+4L(x+4) estudio analitico 

    replythumb_up0 voto/sflag
    icon

    Antonius Benedictus
    el 10/2/17

    Foto del enunciado original, por favor.

    thumb_up0 voto/sflag
    icon

    Myriam Di Mitro Pisarro
    el 10/2/17

    No tengo la foto del enunciado original, solo se que debo hacer el estudio analitico y graficarlo, pero graficarlo se, me cuesta la parte de estudio analitico, la parte de limites derivadas y asintotas necesito , gracias


    thumb_up0 voto/sflag
    icon

    César
    el 10/2/17

    Va Myriam

    thumb_up0 voto/sflag