alguien que sepa resolverme este limite por favor, es que lo he intentado de varias formas, y no se hacerlo, en teoria hay que poner: e^1/x / 1/x^2 para que te quede infinito entre infinito, y ya aplicar l'hopital pero no se como hacerlo :v ![]()

Observa que el primer factor tiende a cero y que el segundo tiende a +infinito, por lo que el límite es indeterminado.
Puedes plantear la sustitución (cambio de variable):
w = 1/x, de donde tienes: x = 1/w, y observa que w tiende a +infinito cuando x tiende a 0 por la derecha.
Luego sustituyes y el límite queda:
Lím(w→+∞) (1/w2)ew = Lím(w→+∞) ew/w2 = observa que el numerador y el denominador tienden ambos a +infinito,
aplicas la Regla de L'Hôpital (recuerda que derivamos independientemente al numerador y al denominador):
= Lím(w→+∞) ew/ 2w = observa que el numerador y el denominador tienden ambos a +infinito,
volvemos a aplicar la regla:
= Lím(w→+∞) ew/ 2 = +∞.
Espero haberte ayudado.
hola tengo una duda como puedo simplificar esa expresión trigonométrica √(1-sen (x))/(1+sen(x))

Tienes el argumento de la raíz:
(1 - senx)/(1 + senx) = multiplicas al numerador y al denominador por (1 - senx) y queda:
= (1 - senx)(1 - senx) / (1 + senx)(1 - senx) ) = desarrollamos el denominador (observa que tenemos cancelaciones) y queda:
= (1 - senx)2 / (1 - sen2x) = aplicamos la identidad trigonométrica del coseno en función del seno en el denominador y queda:
= (1 - senx)2 / cos2x = asociamos potencias y queda:
= ( (1 - senx)/cosx )2.
Luego, pasamos a la expresión de tu enunciado:
√(1-sen (x))/(1+sen(x)) = sustituimos = √( ( (1 - senx)/cosx )2 ) = simplificamos índice y exponente = (1 - senx)/cosx.
Espero haberte ayudado.
Ayuda!!!
Considere el campo
f(x,y) = ( xy^2)/x^2+y^4 si x=0
f(0,y)=0
obtenga la siguiente derivada de f: f’( , y)
Encontre que la funcion no es diferenciable en (0,0)

Me encantaría ayudarte, pero no respondo dudas universitarias que no tengan que ver específicamente con los videos que ya he grabado como excepcion. O de otras asignaturas que no sean matemáticas, física y química. Lo siento de corazón… Espero lo entiendas
Ojalá algun unicoo universitario se anime a ayudarte (de hecho lo ideal es que todos los universitarios intentarais ayudaros los unos a los otros)
alguien me puede ayudar a demostrar esta propiedad
usando las propiedades basicas del producto escalar
de antemano muchas gracias

Consideramos los vectores con componentes reales: u = <a,b,c> y v = <x,y,z>, y el número real λ.
Planteamos:
λ(u•v) = sustituimos = λ(<a,b,c>•<x,y,z>) = desarrollamos el producto escalar = λ(ax + by + cz) = distribuimos = λax + λby + λcz = asociamos factores en los términos:
= (λa)x + (λb)y + (λc)z = expresamos como producto escalar entre dos vectores = <λa,λb,λc>•<x,y,z> = extraemos el factor escalar en el primer vector:
= (λ<a,b,c>)•<x,y,z> = sustituimos = (λu)•v.
Espero haberte ayudado.
Sabiendo que sen x = -2/3 y cos x < 0, calcula, sin hallar x, el valor de:
cos(π +x)

Planteamos la identidad pitagórica fundamental:
sen2x + cos2x = 1, reemplazamos el valor del seno, resolvemos su término y queda:
4/9 + cos2x = 1, hacemos pasaje de término y queda:
cos2x = 5/9, hacemos pasaje de potencia como raíz (recuerda que el coseno es negativo según el enunciado) y queda:
cosx = - √(5/9) = - √(5)/3.
Luego, pasamos al ejercicio:
cos(π + x) = aplicamos la identidad del coseno de la suma de dos ángulos:
= cosπ*cosx - senπ*senx = reemplazamos valores:
= (-1)*(- √(5)/3) - (0)*(-2/3) = resolvemos términos:
= √(5)/3 + 0 = √(5)/3.
Espero haberte ayudado.
Sabiendo que sen x = -2/3 y cos x < 0, calcula, sin hallar x, el valor de:
sen(π −x)

El planteo y los cálculos son muy parecidos al ejercicio que enviaste más arriba, y la identidad trigonométrica que debes emplear es la que corresponde al seno de la resta entre dos ángulos:
sen(π - x) = senπ*cosx - cosπ*senx.
Haz el intento de terminar la tarea, y si te es preciso no dudes en volver a consultar.
Espero haberte ayudado.
Hola, tengo una duda de universidad pero bastante elemental, que a veces me agarra la duda.
Es lo siguiente:
Si tengo que derivar la función 1/x se que tengo que hacer
((1)' * (x) - (1)*(x)') / x2.
Pero mi duda es la siguente: ese termino del denominador que se eleva al cuadrado. Si tengo por ejemplo (7-x)4 en el denominador. ¿Derivado, va (7-x)5 o (7-x)8 , o ninguno ?
Desde ya muchas gracias

Recuerda la Regla de Derivación para un cociente de la forma y = u/v:
y ' = ( u ´* v - u* v ' ) / v2.
Luego, vamos con dos ejemplos:
1)
y = 1/x,
luego, tienes:
u = 1, cuya derivada queda: u ' = 0,
v = x, cuya derivada queda: v ' = 1;
luego aplicas la regla y queda:
y ' = ( u ´* v - u* v ' ) / v2 = sustituyes = (0*x - 1*1)/x2 = (0 - 1)/x2= -1/x2.
2)
y = x3/(7 - x)4,
luego tienes:
u = x3, cuya derivada queda: u ' = 3x2,
v = (7 - x)4, cuya derivada queda: v ' = 4*(7 - x)3*(-1) = - 4*(7 - x)3;
luego aplicas la regla y queda:
y ' = ( u ´* v - u* v ' ) / v2 = sustituyes = ( 3x2*(7 - x)4 - x3*(-4)*(7 - x)3 ) / ( (7 - x)4 )2= ( 3x2*(7 - x)4 + 4*x3*(7 - x)3 ) / (7 - x)8.
Observa que puedes extraer factores comunes en el numerador de la expresión de la derivada y luego puedes simplificar (haz el intento de llevar la expresión a su forma más sencilla posible).
Como sugerencia, es muy conveniente plantear primero las derivadas del numerador y del denominador, para luego sustituir en la expresión general de la derivada de un cociente entre dos funciones.
Espero haberte ayudado.
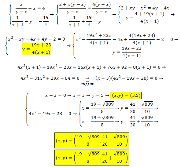
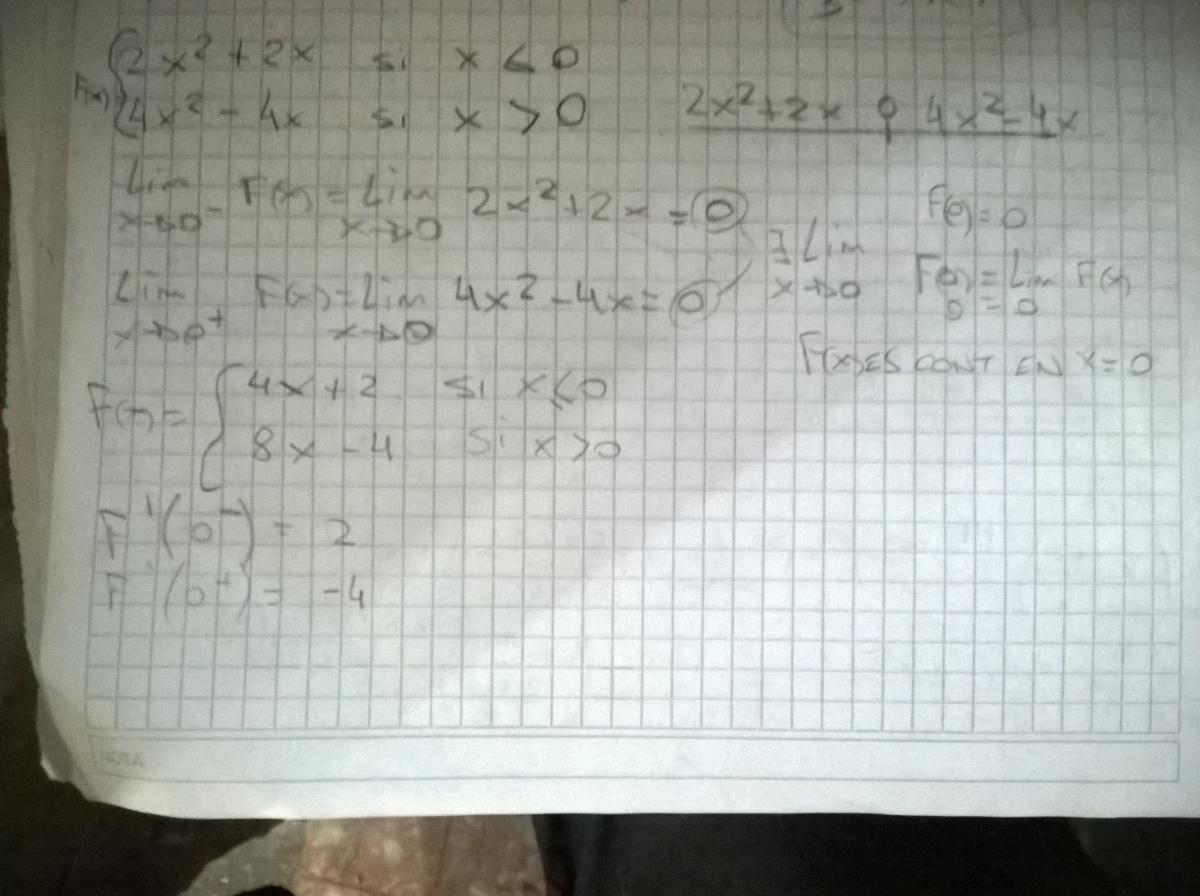
Hola Unicoos! Hice este ejercicio de Continuidad y Derivabilidad de las 2 formas. La forma corta y la forma larga, y me da un resultado distinto cuando tendrían que ser iguales. Sólo es igual el "-4". Lo releí varias veces y no puedo encontrar el error. Me pueden ayudar? Gracias! ![]()
![]()

Vamos a investigar la existencia o no existencia de la función derivada en x = 0 según la definición ("forma larga"), y para ello planteamos los límites laterales del cociente incremental.
f-' (0) = Lím(h→0-) ( f(0+h) - f(0) )/h = Lím(h→0-) ( f(h) - f(0) )/h = sustituimos:
= Lím(h→0-) ( (2h2 + 2h) - (0) )/h = resolvemos y factorizamos el argumento:
= Lím(h→0-) h(2h+2)/h = simplificamos:
= Lím(h→0-) (2h+2) = 0 + 2 = 2;
f+' (0) = Lím(h→0+) ( f(0+h) - f(0) )/h = Lím(h→0+) ( f(h) - f(0) )/h = sustituimos:
= Lím(h→0+) ( (4h2 - 4h) - (0) )/h = resolvemos y factorizamos el argumento:
= Lím(h→0-) h(4h-4)/h = simplificamos:
= Lím(h→0-) (4h-4) = 0 - 4 = - 4.
Como puedes ver, los resultados coinciden con los que obtuviste al emplear la "forma corta",
y puedes concluir que la función no es derivable en x = 0, ya que sus derivadas laterales no coinciden.
Espero haberte ayudado.

Para el tipo de función a trozos, en que cada trozo es polinómico, la forma corta sirve. y se la acepta como válida. Pero si hablamos de otros tipos de funciones, hay casos en que no es así.
Y siempre debes considerar que la forma estricta consiste en aplicar la definición (la "forma larga").
Espero haberte ayudado.