Buenas Noche, necesito ayuda!
En cada uno de los siguientes casos, sea S el conjunto de todos los puntos .x; y/ del plano que satisfacen las desigualdades dadas. Hacer un gráfico mostrando el conjunto S y explicar, geométricamente, si S es abierto o no.
La pregunta es como hago para explicar geometricamente si S es abierto o no.

Primero, recuerda que una circunferencia es una curva, cuya ecuación es: x2 + y2 = 1,
que es la frontera de una región del plano con forma de disco circular, representado por la inecuación: x2 + y2 < 1.
Luego, observa que tanto la circunferencia como el disco tienen centro de simetría: C(0,0) y radio R = 1.
Luego, si representas gráficamente, observa también que la desigualdad en la inecuación correspondiente al disco es estricta, por lo que tenemos que la frontera no pertenece a la región, por lo que tenemos que la región es un disco abierto.
Recuerda que las regiones cerradas son aquéllas que incluyen a su frontera, y este no es el caso.
Espero haberte ayudado.
Hola tengo este problema
f(x)=X2+2X+5 necesito graficar esta funcion
y todo me va bien hasta que llego a la parte de darle valores a los interceptos
me sale X1=-1+2i
X2=-1-2i
Que hago ? me quedo pegado .
No tiene intersección en los números reales, no siempre la parábola toca al eje x. De hecho cuando el discriminante es menor a cero no toca al eje x.
No sé cómo lo pedirá tu profe pero bastaría con el vértice y si se abre hacia arriba o abajo, para tener un bosquejo.
Vértice (-1,4) se abre hacia arriba.
Ojalá entiendas.
Por favor le ruego que me ayuden, por lo menos demen una pauta de como empezar, el profesor nos dijo q debiamos resolverlo de manera matematicas, aver quien era capaz de resolverlo, pero necesito que alguien me de la iniciativa, que aplicoo??? o algun ejemplo similar![]()

Me encantaría ayudarte, pero no respondo dudas universitarias que no tengan que ver específicamente con los videos que ya he grabado como excepcion. O de otras asignaturas que no sean matemáticas, física y química. Lo siento de corazón… Espero lo entiendas
Ojalá algun unicoo universitario se anime a ayudarte (de hecho lo ideal es que todos los universitarios intentarais ayudaros los unos a los otros)
Buenas noches.Cual es la condicion para que dos vectores sean coplanares?
En R^3
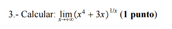
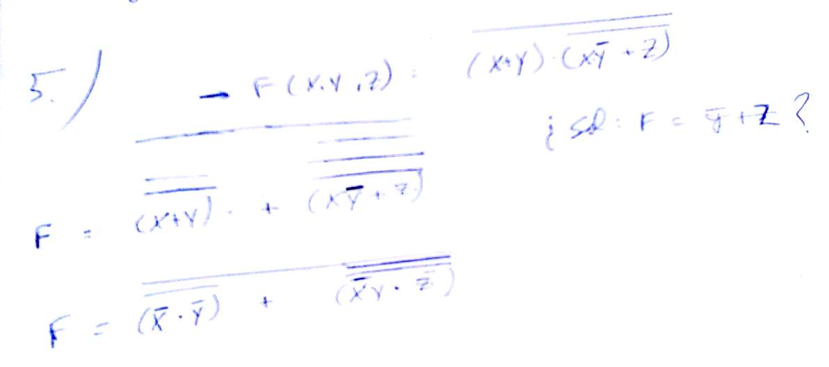
Hola me pusieran ayudar con este trabajo