Foro de preguntas y respuestas de Matemáticas

logo beUnicoos
Los foros de unicoos se han unificado en nuestra nueva plataforma beUnicoos. Para dejar nuevas preguntas deberás hacerlo allí, donde además podrás encontrar nuevas asignaturas y herramientas para ayudarte más con tus estudios.

  • icon

    Victoria Hernández
    el 8/2/17

    tg2x = ctgx 

    replythumb_up0 voto/sflag
    icon

    Antonius Benedictus
    el 9/2/17


    thumb_up1 voto/sflag
  • icon

    Victoria Hernández
    el 8/2/17

    cos2x−cos4x=sen3x 

    replythumb_up0 voto/sflag
    icon

    Antonius Benedictus
    el 8/2/17


    thumb_up1 voto/sflag
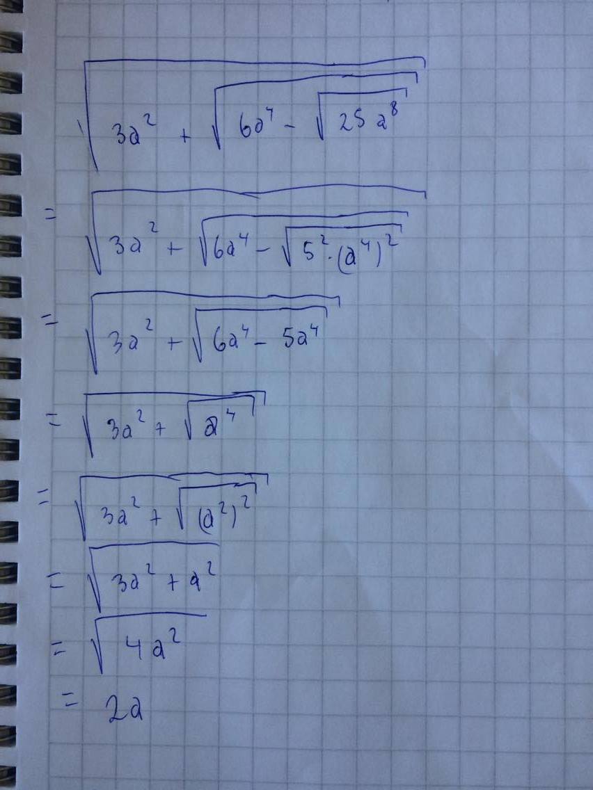
  • icon

    Alba
    el 8/2/17

    Por favor, necesito ayuda en estos dos apartados. Hay que simplificar al máximo.


    replythumb_up1 voto/sflag
    icon

    Matías Ignacio Loyola Galdames
    el 8/2/17

    Perdón por lo desordenado, pero ojalá entiendas.



    thumb_up1 voto/sflag
  • icon

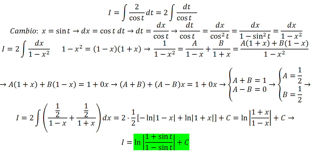
    javimartbar
    el 8/2/17

    Hola me gustaría saber si he hecho bien esta integral 

    replythumb_up0 voto/sflag
    icon

    Antonius Benedictus
    el 8/2/17


    thumb_up0 voto/sflag
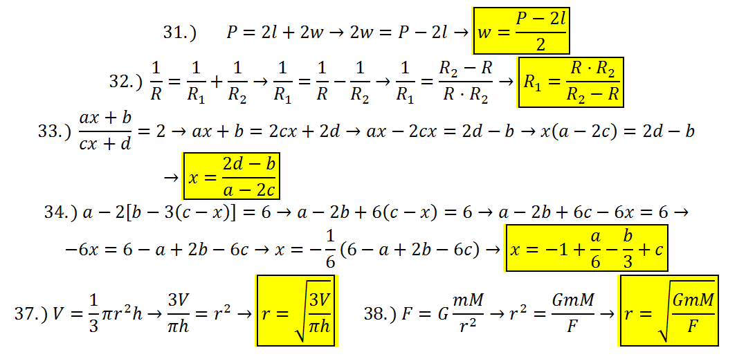
  • icon

    María
    el 8/2/17

    ¿Alguien sabe cómo realizar este ejercicio de despeje de fórmulas? Paso a paso, por favor. Gracias de antemano.


    replythumb_up0 voto/sflag
    icon

    Antonius Benedictus
    el 8/2/17


    thumb_up0 voto/sflag
  • icon

    Alba
    el 8/2/17

    Por favor, ayuda con este ejercicio. 


    replythumb_up0 voto/sflag
    icon

    Antonius Benedictus
    el 8/2/17


    thumb_up1 voto/sflag
    icon

    Matías Ignacio Loyola Galdames
    el 8/2/17

    Ojalá entiendas. Saludos.


    thumb_up1 voto/sflag
  • icon

    Sebastián
    el 8/2/17

    Ayuda con este ejercicio, por favor.


    replythumb_up0 voto/sflag
    icon

    Matías Ignacio Loyola Galdames
    el 8/2/17

    Espero no haberme equivocado en el c). Saludos.


    thumb_up0 voto/sflag
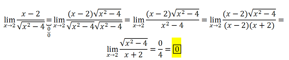
  • icon

    Idaira
    el 8/2/17

    Por favor necesito ayuda con estos limites! 


    replythumb_up0 voto/sflag
    icon

    Antonius Benedictus
    el 8/2/17


    thumb_up0 voto/sflag
    icon

    Antonius Benedictus
    el 8/2/17


    thumb_up0 voto/sflag
  • icon

    Matemáticas
    el 8/2/17

    D es un punto interior a un triángulo rectánguo ABC (angulo recto en B) que cumple que la área del triángulo ABD es la tercera parte del área del triángulo ABC y que la área del triángulo BDC es la cuarta parta del área del triángulo ABC. También, sabemos que las distancias de D a los vértices A y C son, respectivamente 5 cm y 6 cm. Calcula la distancia de D al vértice B.


    replythumb_up0 voto/sflag
    icon

    Antonius Benedictus
    el 9/2/17


    thumb_up0 voto/sflag