Hola a todos! Otra vez por aqui, solicitando su ayuda. He resuelto estos ejercicios pero me gustaría saber si están bien hechos. Si pueden ayudarme, nuevamente miles de gracias! Aguardo su respuesta. Besos
Hola me podrian ayudar con el siguiente problema de vectores, no tengo claro como llegar al vector ortogonal.Gracias![]()

Vamos con una orientación.
Planteas la expresión de un vector perpendicular genérico: v = <a,b,c,d>,
luego planteas la condición de ortogonalidad (el producto escalar es igual a cero), y queda la ecuación:
a + 2b - c + 3d = 0, y de aquí despejas: c = a + 2b + 3d;
luego, asignas valores (no simultáneamente nulos) a las indeterminadas del segundo miembro, por ejemplo: a = 4, b = 0, d = 1, reemplazas en la expresión del vector perpendicular, y queda:
v = <4,0,7,1>, cuya norma queda expresada: |v| = √(66).
Luego, planteas la expresión del vector unitario asociado el vector v, y queda:
V = v/|v| = <4,0,7,1>/√(66);
luego, planteas la expresión del vector ortogonal al vector u que tienes en tu enunciado, cuyo módulo es igual a siete, y queda:
P = 7*V, sustituyes la expresión del vector unitario en el segundo miembro, y queda:
P = 7*<4,0,7,1>/√(66).
Espero haberte ayudado.
Buenas noches,
Quisiera plantear el siguiente problema con su consiguiente desarrollo para comprobar que está correcto:
Si a, b y c ∈ ℕ => abc+ab+ac+bc+a+b+c=104, ¿cuánto vale a²+b²+c²?
abc+ab+ac+bc+a+b+c=104
abc+ab+ac+bc+a+b+c+1=104+1
ab(c+1)+b(c+1)+a(c+1)+(c+1)=105
(c+1)(ab+b+a+1)=105
(a+1)(b+1)(c+1)=5×3×7
a=4 => a²=16
b=2 => b²=4 => 16+4+36= 56
c=6 => c²=36
Sol: 56
Agradezco que hayan leído hasta este punto y agradecería también, si me pudieseis explicar como colocar imágenes con contenido matemático.
Un saludo,
Caio Medeiros.
2) En el genoma de los vertebrados, una gran proporción (entre el 75% y el 85%) de los pares CpG (las bases C y G
apareciendo consecutivas en una de las vetas de la cadena doble de ADN) tienen la citosina metilada. cuando
el ADN se replica, los nuevos pares CpG
que están metilados en el ADN padre y tienden a metilar-en el ADN hijo. Por otra parte, a veces un
par CpG que no está metilado en el ADN padre también deviene metilado en el ADN hijo
se crean sin metilar: entonces, las metilasses reconocer los pares
Sea p la fracción de pares CpG metilados en las células después de n replicaciones, por lo que 1-
es la fracción de pares CpG no metilados tras n replicaciones. Digamos a la proporción de pares
CpG metilados en el ADN padre que también son metilados en el ADN hijo B en la proporción de pares CpG que
no aparecen metilados en el ADN padre y que si están metilados en el ADN hijo. Obsérvese que alfa, β € [0, 1], y supongamos que alfa, β≠0.1
supondremos que a. B0,1
a) Encuentre una ecuación malthusiana para la sucesión (pn) n y Explique brevemente
b) Resolver la ecuación del punto anterior, y encuentra el valor de P en función de los parámetros desconocidos

Vamos con una orientación.
Observa que la ecuación cartesiana explícita de la asíntota de la gráfica de la función es: y = -4.
Luego, planteas el límite para x tendiendo a infinito de la función, lo resuelves (te dejo la tarea, y recuerda que debes extraer factores comunes en el numerador y en el denominador, como seguramente has visto en clase), y queda: 5a/6.
Luego, igualas las expresiones remarcadas, y queda la ecuación:
5a/6 = -4, y de aquí despejas:
a = -24/5.
Espero haberte ayudado.

Observa que la expresión del primer trozo corresponde a una función continua, y observa que la expresión del segundo trozo también corresponde a una función continua, por lo que solamente queda por estudiar la continuidad de la función en el valor de corte: x0 = 1, por medio de la definición:
1°)
f(1) = observa que debemos evaluar en el primer trozo = a + (2*1-3)2 = a + 1 (1),
2°)
planteas los límites laterales, y queda:
Lím(x→1-) f(x) = Lím(x→1-) [a + (2*x-3)2] = a + 1 (2),
Lím(x→1+) f(x) = Lím(x→1+) [x*Ln(x)] = 1*Ln(1) = 1*0 = 0 (3),
y como tienes que los límites laterales deben ser iguales, igualas las expresiones señaladas (2) (3), y queda la ecuación:
a + 1 = 0, de donde espejas:
a = -1, reemplazas este valor en la expresión señalada (1), resuelves, y el valor de la función en el valor de corte queda: f(1) = 0,
también reemplazas este valor remarcado en la expresión señalada (2), resuelves, y queda que los dos límites laterales son iguales a cero;
3°)
puedes concluir que la función es continua en el valor de corte, y como es continua en sus dos ramas, entonces tienes que es continua en todo su dominio.
Espero haberte ayudado.
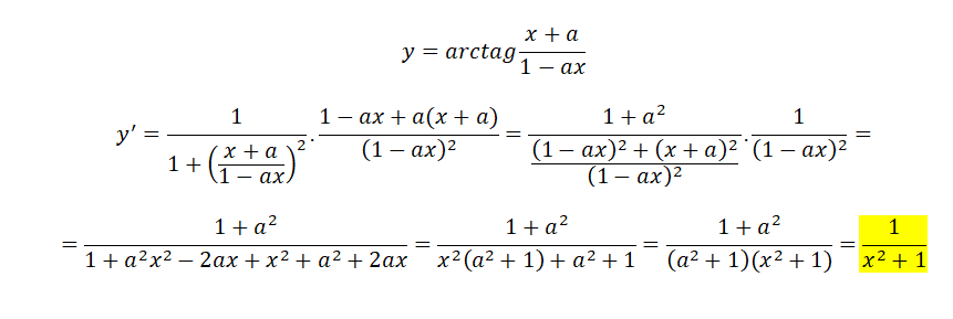
Hola, la siguiente derivada como se resolvería?: arctan((x+a)/(1-ax)) porque llegado el momento de simplificar las as no lo consigo y el resultado debería ser 1/(x^2+1), me quedo atascado en un momento y me queda ((a^2+1)/(x^2+a^2+a^2*x^2+1))
Hola, me ayudan con una ecuación diferencial? Me pide hallar la solución general por el método de coeficientes indeterminados (anulador). Y he llegado a dos resultados pero realmente no sé si están bien. ![]()
![]()

Has planteado y resuelto correctamente la ecuación característica, y has expresado correctamente la solución de la ecuación homogénea:
yh = C1 + C2*e2x + C3*e-2x,
y observa que comprende a todas las soluciones constantes en su primer término.
Luego, puedes plantear que la solución particular para esta ecuación tiene la forma:
yp = B*cos(2x) + C*sen(2x) + D*x (*) (recuerda que los términos constantes están comprendidos en la solución de la ecuación homogénea):
luego, planteas las expresiones de las derivadas sucesivas primera, segunda y tercera, y queda:
yp' = 2C*cos(2x) - 2*B*sen(2x) + D,
yp'' = -4*B*cos(2x) - 4*C*sen(2x),
yp''' = -8*C*cos(2x) + 8*B*sen(2x);
luego, sustituyes expresiones en la ecuación diferencial de tu enunciado, y queda:
-8*C*cos(2x) + 8*B*sen(2x) - 4*[2C*cos(2x) - 2*B*sen(2x) + D] = 4 + 32*sen(2x) + 0*cos(2x),
distribuyes el segundo término en el primer miembro, reduces términos semejantes, y queda:
-16*C*cos(2x) + 16*B*sen(2x) - 4*D = 4 + 32*sen(2x) + 0*cos(2x);
luego, igualas coeficientes de términos semejantes en ambos miembros, y queda el sistema de ecuaciones:
-16*C = 0, de aquí despejas: C = 0,
16*B = 32, de aquí despejas: B = 2,
-4*D = 4, de aquí despejas: D = -1;
luego, reemplazas estos valores en la expresión de la solución particular señalada (*), cancelas el término nulo, y queda:
yp = 2*cos(2x) - 1*x.
Luego, planteas la expresión de la solución general de la ecuación diferencial de tu enunciado, y queda:
y = yh + yp, sustituyes las expresiones remarcadas, y queda:
y = C1 + C2*e2x + C3*e-2x + 2*cos(2x) - 1*x.
Espero haberte ayudado.
Hola por favor me pueden ayudar con este problema
El supermercado EL Porvenir maneja tres tipos de promociones de refrigerios para niños y cada uno de ellos está compuesto de la siguiente manera: Primera Promoción: 1 fruta, 1 bocadillo y 1 yogurt, Segunda Promoción: 2 frutas y 1 yogurt, Tercera Promoción: 3 frutas. Diariamente cuenta con 50 frutas, 45 bocadillos y 70 Yogures. Teniendo en cuenta que las promociones se venden a $2000 pesos. ¿Cuántas promociones de cada tipo debe vender para generar mayor utilidad con los recursos disponibles? ¿Este ejercicio es maximización o de minimización?