Hola, necesito saber 5 formas diferentes de sumar los números del 1 al 10 seguidos (1,2,3,4,5,6,7,8,9,10) poniendo los signos necesarios: paréntesis, corchetes... y también agrupando números. Lo único que no se puede hacer es borrar alguna cifra. El resultado debe ser 100 en todos los casos. Un saludo.
me podéis decir como se hace la raíz cuadrada de 6510
Con el algoritmo para las raíces debes tantear mucho. Tienes:
Trabajarás con las dos primeras cifras, pensando en un número natural cuyo cuadrado sea 65 o lo más cercano a 65. En este caso:
8x8=64
Así que el 8 es la primera cifra del resultado. Ahora, como no dio exacto, restarás:
65-64=1
Y bajas el resto de números que te quedaban, es decir el 10.
Ahora tienes un 110. Debes multiplicar por 2 tu resultado, que por ahora es 8, así que:
8x2=16
Y pensar qué cifra agregar a ese 16, para que el número resultante multiplicado por la cifra agregada, sea menor a 110.
Observa que si agregaras un 1, te quedaría:
161x1=161, que es mayor a 110, por lo que la única opción es el 0, así que:
160x0=0
Ese será el segundo número del resultado, por ahora 80.
Ahora restamos:
110-0=110
Y pasaremos a buscar los decimales del resultado, así que a ese número le agregamos un par de ceros más, quedando 11000.
Nuevamente, multiplicas tu resultado por 2:
80x2=160
Y buscas qué cifra agregar al 160, para que multiplicando el número resultante por la cifra añadida obtengas un número menor a 11000 (lo más cercano posible):
Prueba y verás que ese número es el 6:
1606x6=9636
Entonces, a tu resultado le agregas el primer decimal, quedando: 80,6
Restas 11000-9636=1364
Seguimos buscando decimales, agregamos otro par de ceros:
136400
Ahora, multiplicarás por 2 el resultado, ignorando la coma, entonces:
806x2=1612
Repites el otro proceso, la cifra será 8, porque
16128x8=129024
Así que el siguiente decimal es 8, por lo que el resultado: 80,68
Y así sigues repitiendo lo mismo, es sencillo, cosa de probar números, tratando de no entreverarte.
Verás que 80,68 al cuadrado queda: 6509,2624
Todavía se puede precisar más el valor, así que trata de encontrar dos o tres cifras más luego de la coma.

Tienes los valores para calcular el presupuesto previsto:
P = 97 + 48 + 55 = 200 (en euros).
Tienes los valores para calcular el costo a abonar:
C = 98,40 + 44,70 + 57,80 = 200.90 (en euros).
Luego, planteas la expresión del desvío porcentual del costo con respecto al presupuesto previsto, y queda:
dp = ( (C - P)/P )*100 = ( (200,90 - 200)/200 )*100 = (0,90/200)*100 = 0,45 %.
Espero haberte ayudado.

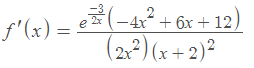
Tienes la expresión de la función:
f(x) = e-3/(2x)/(x+2), expresas al exponente del primer factor como una potencia, y queda:
f(x) = e-(3/2)*x^(-1)/(x+2), expresas como una multiplicación, y queda:
f(x) = e-(3/2)*x^(-1)*(x+2)-1 (1).
Luego, planteas las expresiones de los factores, y de sus correspondientes derivadas, y queda:
u(x) = e-(3/2)x^(-1) = e-3/(2x) de donde tienes (observa que debes aplicar la Regla de la Cadena):
u ' (x) = e-(3/2)x^(-1)*(3/2)*x-2 = 3*e-3/(2x)/(2*x2);
v(x) = (x + 2)-1 = 1/(x+2), de donde tienes:
v ' (x) = -(x+2)-2 = -1/(x+2)2.
Luego, aplicas la Regla para derivar una multiplicación de funciones con la expresión de la función señalada (1), sustituyes las expresiones remarcadas, y queda:
f ' (x) = ( 3*e-3/(2x)/(2*x2) )*( 1/(x+2) ) + e-3/(2x)*( -1/(x+2)2 ),
resuelves las multiplicaciones en los términos, extraes factor común (e-3/(2x)), y queda:
f ' (x) = e-3/(2x)*( 3/( 2*x2*(x+2) ) - 1/(x+2)2 ),
extraes denominador común (2*x2*(x+2)2) en el agrupamiento, y queda:
f ' (x) = e-3/(2x)*(3*(x+2) - 2*x2)/(2*x2*(x+2)2),
distribuyes y ordenas términos en el agrupamiento en el numerador, y queda:
f ' (x) = e-3/(2x)*(-2*x2 + 3*x + 6)/(2*x2*(x+2)2).
Espero haberte ayudado.