Buenas tengo dudas con el siguiente ejercicio encuentre los valores de k para que la ecuacion x^2+ky^2-6y+2ky+1=0 para que represente una hiperbola con eje conjugado paralelo al eje de las abcisas y el eje transverso mide 4
Hola Unicoos, tengo un problema de sistema de ecuaciones lineales, pero no sé cómo plantearlo. Agradezco mucho quien me ayude a plantear el sistema, muchas gracias de antemano.

Me encantaría ayudarte, pero no respondemos dudas universitarias que no tengan que ver específicamente con los videos que ya he grabado como excepcion. O de otras asignaturas que no sean matemáticas, física y química. Lo siento de corazón… Espero lo entiendas
Ojalá algun unicoo universitario se anime a ayudarte (de hecho lo ideal es que todos los universitarios intentarais ayudaros los unos a los otros)

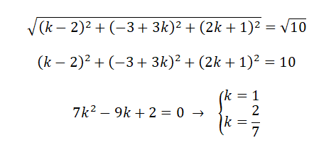
me pueden ayudar con este ejercicio porfavor

No me fijé antes en el enunciado y lo hice suponiendo que valían dos dígitos iguales. En el caso de dos dígitos distintos el total de números es 6.5 = 30. Restamos los que acaban en 4 y 8 que son 5 de cada (10). Resultado final 30 -10 = 20.
Si lo quieres hacer por combinatoria serían Variaciones de 6 tomados de 2 en 2 (30) menos 10 (los pares) = 20

Lo que te dije anteriormente tiene un error. Quédate con esto:
Se puede demostrar que la varianza de una constante por una variable aleatoria X es la constante al cuadrado por la varianza de la variable, es decir que si la varianza de X es a, la varianza de k.X es k2.a. Por otra parte la varianza de una constante (en el problema 64) es 0 porque es como si fuese un dato fijo y por tanto no presenta ninguna desviación. Por último la varianza de una suma es la suma de las varianzas. Por todo ello tenemos que la varianza de Y = 4X + 64 es la varianza de 4X que es 16.9 más la varianzade 64 (0). La varianza del puntaje es 144. La desviación estandar del puntaje es √144 = 12.