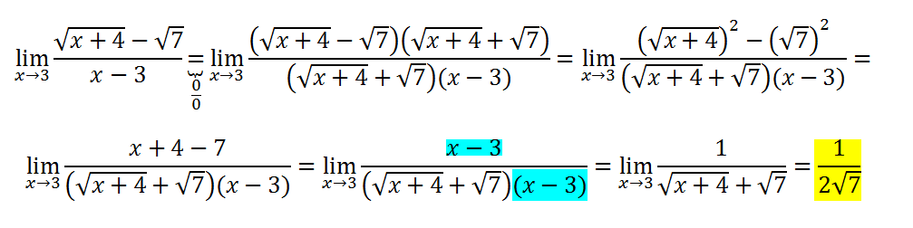
El limite tiende a tres, al simplificar me queda indeterminación 0/0 y al volver a multiplicar por conjugado entraría en blucle. o estoy haciendo algo mal, o no veo.... ayuda por favor!!
te adjuntaria la imagen con el calculo avanzado pero no sé porque el servidor no quiere ahora cargarme la fotografía

Recuerda que las distancias de un punto genérico de coordenadas P(x,y,z) a los ejes coordenados son iguales a sus distancias a las proyecciones del punto sobre dichos ejes, cuyas coordenadas son: A(x,0,0), B(0,y,0), C(0,0,z). Luego, como sabemos que las distancias del punto a los ejes es 1/√(2) = √(1/2), planteamos el sistema de ecuaciones:
d(A,P)2: (x-x)2 + (y-0)2 + (z-0)2 = 1/2
d(B,P)2: (x-0)2 + (y-y)2 + (z-0)2 = 1/2
d(C,P)2: (x-0)2 + (y-0)2 + (z-z)2 = 1/2
Resolvemos agrupamientos y queda:
y2 + z2 = 1/2
x2 + z2 = 1/2
x2 + y2 = 1/2
Luego planteamos las sustituciones (cambios de incógnitas):
u = x2, v = y2, w = z2, y queda:
v + w = 1/2, de donde puedes despejar: v = 1/2 - w (1)
u + w = 1/2, de donde puedes despejar: u = 1/2 - w (2)
u + v = 1/2
luego sustituyes las expresiones señaladas (1) (2) en la tercera ecuación y queda:
1 - 2w = 1/2, de donde puedes despejar: w = 1/4,
luego reemplazas en las ecuaciones señaladas (1) (2) y tienes: v = 1/4, u = 1/4.
luego, a partir de la sustitución tienes:
u = x2 = 1/4, de donde tienes dos opciones: x = - 1/2 y x = 1/2,
v = y2 = 1/4, de donde tienes dos opciones: y = - 1/2 y y = 1/2,
w = z2 = 1/4, de donde tienes dos opciones: z = - 1/2 y z = 1/2,
y observa que las dos opciones de cada coordenadas son independientes de las opciones de las otras dos coordenadas, por lo que tienes ocho puntos cuyas distancias a cada uno de los ejes coordenados es igual a 1/√(2), que forman el conjunto solución:
S = { (1/2,1/2,1/2), (1/2,1/2,-1/2), (1/2,-1/2,1/2), (1/2,-1/2,-1/2), (-1/2,1/2,1/2), (-1/2,1/2,-1/2), (-1/2,-1/2,1/2), (-1/2,-1/2,-1/2) }.
Espero haberte ayudado.

¿has visto estos videos?...
Dominio de una funcion
Me encantaría ayudarte, pero no respondo dudas universitarias que no tengan que ver específicamente con los videos que ya he grabado como excepcion. O de otras asignaturas que no sean matemáticas, física y química. Lo siento de corazón… Espero lo entiendas
Ojalá algun unicoo universitario se anime a ayudarte (de hecho lo ideal es que todos los universitarios intentarais ayudaros los unos a los otros)
Hola soy nuevo y soy un proximo estudiante de INGENIERÍA COMERCIAL y quisiera saber alguien me dijera que es lo que tengo que repasar de matematicas la verdad estoy un poco confundido y atemorisado