Foro de preguntas y respuestas de Matemáticas

logo beUnicoos
Los foros de unicoos se han unificado en nuestra nueva plataforma beUnicoos. Para dejar nuevas preguntas deberás hacerlo allí, donde además podrás encontrar nuevas asignaturas y herramientas para ayudarte más con tus estudios.

  • icon

    Christian Romero
    el 6/2/17

    Hola en esta ecuación necesito encontrar el valor de y, 4x2y=(x2+y2)2

    He intentado despejar y me quedo en mi último intento de despeje: 1/4x2=y(1-1/2y)/1+y4


    replythumb_up0 voto/sflag
    icon

    Antonius Benedictus
    el 6/2/17

    Revisa el enunciado, Christian. ¿Puedes poner foto del original?

    thumb_up1 voto/sflag
    icon

    Christian Romero
    el 6/2/17


    thumb_up0 voto/sflag
    icon

    Antonius Benedictus
    el 6/2/17

    No es preciso despejarla (aparte de ser un despropósito):


    thumb_up1 voto/sflag
    icon

    Christian Romero
    el 7/2/17

    Gracias

    thumb_up0 voto/sflag
  • icon

    Matemáticas
    el 6/2/17

    Son equivalentes las proposiciones siguientes?

           (a) P: L1 y L2 son dos rectas tangentes a los extremos de un diámetro de un círculo.  /   Q: L1 y L2 son paralelas.

           (b) P: f y g son dos funciones contínuas en [a,b].    /    Q: f+g es una función contínua en [a,b].

           (c) P: n es un entero par.    /    Q: n2 es un entero par.

           (d) P: n es un entero que satisface -3n2 +2n+8=0        /     Q: n es un entero que satisface 2n2 -3n=-2.

    En qué casos P es una condición suficiente de Q? En qué casos Q es una condición suficiente de P? En qué casos Q es condición necesaria de P? Y, en qué casos P es condicion necesaria de Q?


    replythumb_up0 voto/sflag
    icon

    Antonius Benedictus
    el 6/2/17


    thumb_up0 voto/sflag
  • icon

    Paula
    el 6/2/17

    Necesito ayuda con este otro ejercicio:


    replythumb_up0 voto/sflag
    icon

    Matías Ignacio Loyola Galdames
    el 7/2/17

    Ojalá entiendas:


    thumb_up0 voto/sflag
  • icon

    Paula
    el 6/2/17

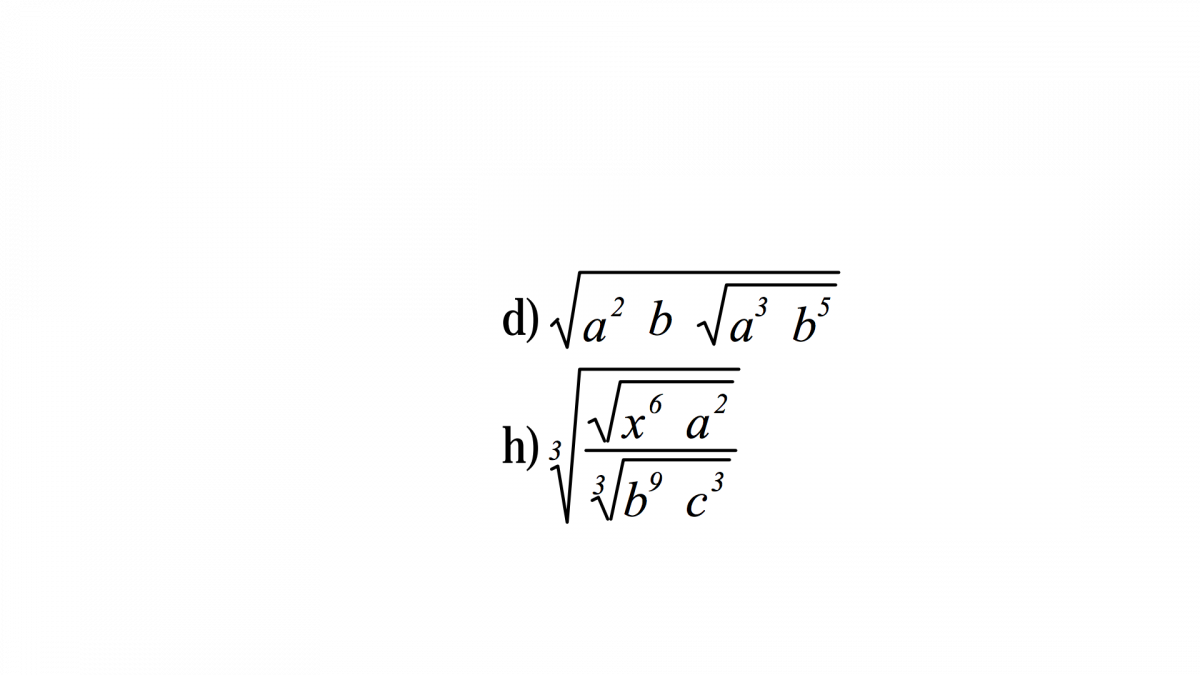
    ¿Alguien sabe cómo resolver este ejercicio de operar y extraer raíces?


    replythumb_up0 voto/sflag
    icon

    Matías Ignacio Loyola Galdames
    el 7/2/17

    Ojalá entiendas:



    thumb_up0 voto/sflag
  • icon

    María
    el 6/2/17

    Ayuda.


    replythumb_up0 voto/sflag
    icon

    Matías Ignacio Loyola Galdames
    el 7/2/17

    Creo que te faltó la x en la ecuación para que tenga sentido.

    Si no, sería falso, puesto que esa raíz no es igual a 5, además de tener un número negativo en una raíz, ya sería un número imaginario.



    thumb_up0 voto/sflag
  • icon

    Chica Snoopy
    el 6/2/17

    Me podrias ayudar con el ejercicio 9 ?esque no lo entiendo

    replythumb_up0 voto/sflag
    icon

    Antonius Benedictus
    el 6/2/17


    thumb_up0 voto/sflag
  • icon

    anucha
    el 6/2/17

    Podrían hacer un video de resolución de sistemas: método gráfico???

    Gracias 

    replythumb_up0 voto/sflag
    icon

    David
    el 9/2/17

    Se trata simplemente de representar las dos rectas. Echale un vistazo.. Ecuación canónica o segmentaria de la recta
    Y ver donde se cortan...

    thumb_up1 voto/sflag
  • icon

    Pilar
    el 6/2/17

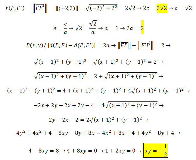
    Estaría bien resulta la integral siguiente ? 

    replythumb_up0 voto/sflag
    icon

    Antonius Benedictus
    el 6/2/17

    Los coeficientes indeterminados A,B,C y D están bien calculados. ¡Ahora tienes que terminar la integral!

    thumb_up0 voto/sflag
  • icon

    Jose Hernandez
    el 6/2/17
    flag

    Algunos de ustedes tiene el solucionario o libroen pdf de respuestas pares e impares de James Stewart Calculo de una variable diferencial 7ma edicion?

    replythumb_up0 voto/sflag
    icon

    Christian Romero
    el 6/2/17

    Viejo aquí es para resolver problemas que intentaste, no para hacer trampa

    thumb_up0 voto/sflag
  • icon

    Jose Hernandez
    el 6/2/17

    Hola buenas tardes. Como estan? En esta opotunidad necesito de su ayuda respecto a la solucion de estos ejercicios. Espero su pronta respuesta. Muchas gracias.


    replythumb_up0 voto/sflag
    icon

    Antonius Benedictus
    el 6/2/17

    Estamos bien, José, gracias.


    thumb_up1 voto/sflag
    icon

    Jose Hernandez
    el 17/2/17

    Muchas. gracias. Por cierto que programa utiliza para reolver los ejercicios en ese formato?

    thumb_up0 voto/sflag