Tengo el siguiente problema de Física, pero no entiendo la parte matemática. Además, tampoco entiendo la parte de simplificar y ordenar para obtener la ecuación de segundo grado. Otra duda que tengo es como resolver esa ecuación de segundo grado pues es con notación científica. Espero que me la puedan explicar la parte matemática del problema. Gracias de antemano. Un saludo.
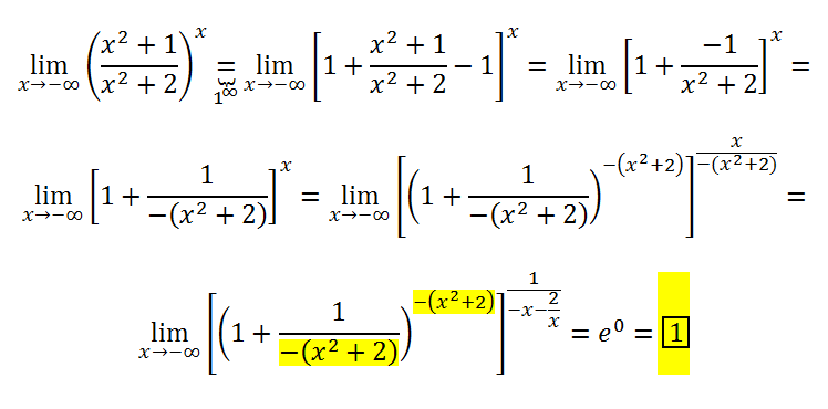
En el apartado v) utiliza cualquiera de los 2 métodos que puedes ver aquí: http://www.vitutor.com/fun/3/a_18.html
Yo he utilizado el método de "transformar la expresión en una potencia del número e"
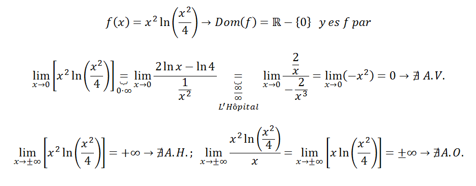
Buenos dias. Alguien me podria mostrar como verificar si hay asintotas en esta funcion? y=x^2 .Ln(x^2 /4)
Usando limites. Yo resolvi, y me sale asintota vertical.Pero segun el libro, no tendria que tener ni av ni ah.
Hola, pueden ayudarme con este problema de trigonometría?
- Demuestre, mediante el uso de las identidades trigonométricas, la siguiente igualdad:
tgα +1/tgα=1/(senα*cosα)

Vamos con cada término del primer miembro por separado (indicamos a por alfa):
tana = sena/cosa,
1/tana = cotga = cosa/sena,
luego pasamos al primer miembro de la identidad:
tana + 1/tana = sustituimos:
= sena/cosa + cosa/sena = extraemos denominador común:
= (sen2a + cos2a) / (sena*cosa) = aplicamos la identidad pitagórica en el numerador:
= 1 / (sena*cosa).
Espero haberte ayudado.

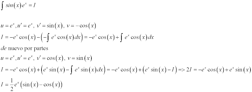
Tienes la integral:
I = ∫ senx*ex*dx (1),
luego planteamos el método de integración por partes:
u = senx, de donde tenemos: du = cosx*dx
dv = ex, de donde tenemos: v = ex,
luego aplicamos el método y la integral queda:
I = senx*ex - ∫ ex*cosx*dx;
luego planteamos el método de integración por partes para la integral secundaria:
u = cosx, de donde tenemos: du = - senx*dx
dv = ex, de donde tenemos: v = ex,
luego aplicamos el méodo y la integral queda:
I = senx*ex - ( cosx*ex - ∫ ex*(- senx*dx ), resolvemos signos en la integral y queda:
I = senx*ex - ( cosx*ex + ∫ ex*senx*dx ), sustituimos la integral remarcada por I según la igualdad señalada (1) y queda:
I = senx*ex - cosx*ex - I, hacemos pasaje de término y queda:
2*I = senx*ex - cosx*ex, multiplicamos en todos los términos de la ecuación por 1/2, sumamos la constante de integración y queda:
I = (1/2)*senx*ex - (1/2)*cosx*ex + C.
Espero haberte ayudado.
Buenos días unicoos!!! ¿qué libros me recomiendan para practicar el pasaje coordenadas rectangulares a polares, esféricas y cilíndricas? (En lo posible que incluyan las respuestas). Desde ya muchísimas gracias!!!