
En el primero en el numerador has puesto que 1-1= 2, cuando es 0
Y en el segundo, en el numerador también sale 0.
Ese tipo de límites son indeterminaciones de 0/0. EL primero se resuelve multiplicando por el conjugado de la raiz tanto el denominador como el numerador. Y en el segundo haces Ruffini.
Hola Unicoos, alguien me podría explicar esto?
Por qué pasa a multiplicar (a,b)•(-b,a)? Por qué cambia sus componentes de sitio? Muchas gracias![]()

La condición para que dos vectores sean perpendiculares (u ortogonales) es que su producto escalar sea 0.
Si tienes un vector y quieres hallar otro que sea perpendicular a él, basta que cambies de orden las coordenadas y ¡a una! de signo. De este modo, el producto escalar saldrá siempre 0.
¿El dominio de la función f(x)=3x - x^3 , es todo R?
¿Muchas gracias!
Por ejemplo, tengo un dominio que son todos los reales menos el 1. Si en la monotonía me sale un "punto crítico" que es el 1, ¿ese sería un P.C.? ¿No, verdad? Por que el dominio son todos los reales MENOS el 1. Pero sí que se pondría ese número en la tabla para calcular creciente o decreciente..
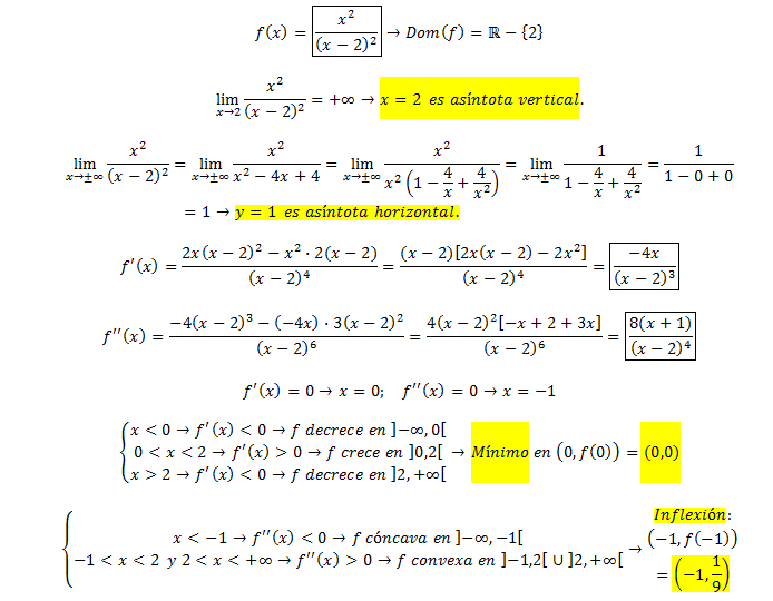
¡Hola! ¿Me ayudáis a hacer la monotonía, puntos críticos, asíntotas, curvatura y puntos e inflexión de la función f(x) = x^2 / (x-2)^2 Conozco los conceptos más o menos pero me resulta difícil hacer con una fracción y además con un binomio al cuadrado en el denominador. Gracias por la ayuda.

Esta bien el procedimiento, pero creo que en el quinto paso te equivocaste en la simplificación, tenes una X sumando... tenes que sacar factor común en todo el denominador X y recién ahí simplificas... Y en vez de tener el 3 queda un 1... el resultado es -4
Espero que te haya servido , es la primera vez que estoy acá :D

De acuerdo con el colega Facundo.
Comencemos por extraer factores comunes en el numerador y en el denominador, a partir de la expresión de tu tercera línea. Trabajamos con el numerador (N) y con el denominador (D) por separado:
N = - 4x + 3 = extraemos factor común = x*(- 4 + 3/x),
D = √(x2 - 4x +3) + x =
extraemos factor común en el argumento de la raíz (observa que el argumento tiene tres términos, por lo que deben quedar tres términos en el agrupamiento que multiplica al factor común):
= √( x2*(1 - 4/x + 3/x2) ) + 1x = distribuimos la raíz entre sus factores y simplificamos en el primero de ellos:
= x*√(1 - 4/x + 3/x2) + 1x = extraemos factor común =
= x*(√(1 - 4/x + 3/x2) + 1);
Luego, pasamos a la cuarta línea y queda:
Lím(x→∞) x*(- 4 + 3/x) / x*(√(1 - 4/x + 3/x2) + 1) = simplificamos:
= Lím(x→∞) (- 4 + 3/x) / (√(1 - 4/x + 3/x2) + 1) = resolvemos = (- 4 + 0)/(1 - 0 + 0) = - 4/1 = - 4.
Espero haberte ayudado.