Foro de preguntas y respuestas de Matemáticas

logo beUnicoos
Los foros de unicoos se han unificado en nuestra nueva plataforma beUnicoos. Para dejar nuevas preguntas deberás hacerlo allí, donde además podrás encontrar nuevas asignaturas y herramientas para ayudarte más con tus estudios.

  • icon

    Jose
    el 1/2/17

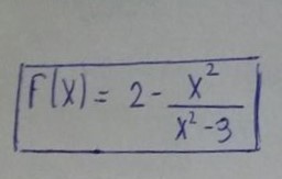
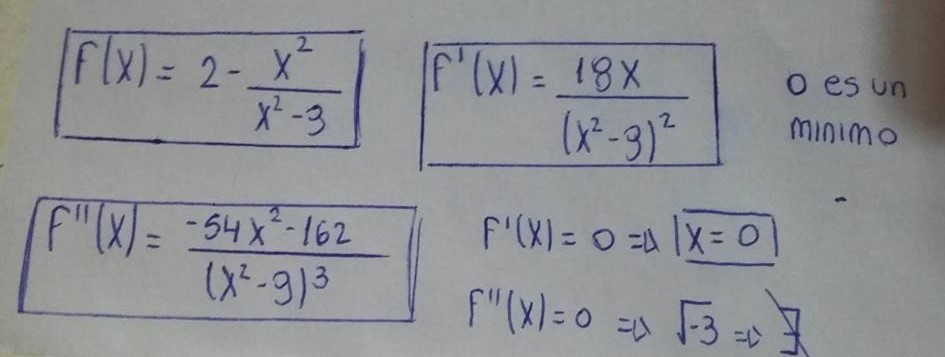
    Me da una funcion f(x)

    Y me pidenHallar sus asintotas lineales, extremos relativos(clasificarlos), intervalos de crecimientos y decrecimiento. Luego realizar un grafico aproximado 

    Y lo que logre hacer fue esto 

    tengo una duda con el tema de crecimiento y decrecimiento, tengo que tener en cuenta el dominio? o sea serian los intervalos (-inifinito; -3) (-3;0) (0; 3 ) y (3;infinito) y de ahi ver su decrecimiento y crecimiento en cada intervalo? 

    replythumb_up0 voto/sflag
    icon

    Miguel Caballero
    el 1/2/17

    El dominio debes tenerlo en cuenta ya que puede variar el crecimiento y el decrecimiento. 

    Por lo tanto para hallar el crecimiento y el decrecimiento deberás escoger un valor que esté entre cada intervalo sustituyendolo en la primera derivada y dependiendo de si es mayor o menor de cero sabrás si crece o decrece.

    thumb_up0 voto/sflag
    icon

    Antonius Benedictus
    el 1/2/17


    thumb_up0 voto/sflag
    icon

    Jose
    el 1/2/17

    Gracias a los dos, pero no entiendo porque no resolviste la derivada de f(x) tal cual está? o sea no entiendo como llegaste a que f(x) te dé ese resultado 1- 3/x2-3

    thumb_up0 voto/sflag
    icon

    Antonius Benedictus
    el 1/2/17

    Tengo tendencia natural a la simplificación. El proceso está escrito en a 1ª línea. Tienes que mejorar el cálculo de derivadas, Jose.

    https://es.symbolab.com/solver/derivative-calculator/%5Cfrac%7Bd%7D%7Bdx%7D(%5Csin%5E%7B2%7D(x))?or=ex

    thumb_up0 voto/sflag
  • icon

    Adrián
    el 1/2/17

    No encuentro la tabla de derivadas en los videos de derivadas, alguien podría pasarmela?

    replythumb_up0 voto/sflag
    icon

    Miguel Caballero
    el 1/2/17

    http://matematicas.relatividad.org/tabla-de-derivadas.html

    thumb_up1 voto/sflag
    icon

    Antonius Benedictus
    el 1/2/17


    thumb_up0 voto/sflag
    icon

    Adrián
    el 1/2/17

    Muchisimas gracias 


    thumb_up0 voto/sflag
  • icon

    Orianna Marquez
    el 1/2/17

    Como demuestro lo siguiente (1/9)<√66 - 8<(1/8)

    Que intervalo puedo agarrar y cual seria mi funcion... seria raiz de x?


    Gracias 

    replythumb_up0 voto/sflag
    icon

    Antonius Benedictus
    el 1/2/17

    Si no pones tu nivel educativo, no podemos saber de cuánta artillería matemática disponemos:


    thumb_up0 voto/sflag
    icon

    Orianna Marquez
    el 1/2/17

    Claro pero yo lo intente hacer antes muchas veces y no pude resolverlo, entendi tu foto pero tengo que demostrarlo por el TVM si no mal recuerdo agarre como funcion raiz de x, derive y luego por Lagrange obtuve un f'(c) cuando iguale la derivada con mi f´(c) no puude llegar a demostrar lo que me piden al principio


    thumb_up0 voto/sflag
    icon

    Antonius Benedictus
    el 2/2/17


    thumb_up0 voto/sflag
  • icon

    María
    el 1/2/17

    A la hora de resolver inecuaciones de 2º grado, ¿cómo sé qué punto del intervalo divide la recta? Me gustaría que alguien me explique eso. Gracias de antemano .Un saludo.

    replythumb_up0 voto/sflag
    icon

    Antonius Benedictus
    el 1/2/17

    Primero has de resolver la correspondiente ecuación. Los valores que obtengas son la referencia para los intervalos.

    thumb_up0 voto/sflag
    icon

    María
    el 1/2/17

    Gracias Antonio.

    thumb_up0 voto/sflag
  • icon

    Valeria Paola Encina
    el 1/2/17

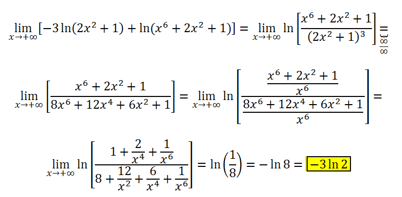
    La consigna es: calcule el límite. Llegue hasta ahí y no se como seguir..

    replythumb_up0 voto/sflag
    icon

    Antonius Benedictus
    el 1/2/17


    thumb_up0 voto/sflag
    icon

    Matías Ignacio Loyola Galdames
    el 1/2/17

    Ojalá entiendas.



    thumb_up0 voto/sflag
    icon

    Valeria Paola Encina
    el 1/2/17

    Muchas gracias!! 

    thumb_up1 voto/sflag
  • icon

    María
    el 1/2/17

    10x*10-2x+7=100

    replythumb_up0 voto/sflag
    icon

    Matías Ignacio Loyola Galdames
    el 1/2/17

    Te dejo los últimos 3 que pusiste, ojalá entiendas.



    thumb_up0 voto/sflag
    icon

    María
    el 1/2/17

    Muchísimas gracias Matías. Un cordial saludo.

    thumb_up1 voto/sflag
  • icon

    María
    el 1/2/17


    replythumb_up0 voto/sflag
    icon

    Miguel Caballero
    el 1/2/17

    Tienes que ir multiplicando los índices de las raíces, al no haber ningún número puesto en las raíces su grado es 2, por lo tanto tienes tres raíces con un índice 2:

    2√22√22√2 = 2x

    88 = 2x



    thumb_up0 voto/sflag
    icon

    María
    el 1/2/17

    Gracias Miguel.

    thumb_up0 voto/sflag
  • icon

    María
    el 1/2/17

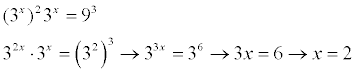
    (3x)2*3x=93

    replythumb_up0 voto/sflag
    icon

    César
    el 1/2/17


    thumb_up0 voto/sflag
    icon

    María
    el 1/2/17

    Muchas gracias César. 

    thumb_up0 voto/sflag
  • icon

    Jose
    el 1/2/17

    Me pide comprobar que la sucecion h esta acotada e indicar el conjunto de cota superior

    replythumb_up0 voto/sflag
    icon

    Antonius Benedictus
    el 1/2/17


    thumb_up0 voto/sflag
  • icon

    samuel
    el 1/2/17

    ¿Podrías hacer un vídeo sobre operaciones con binomios sobre multiplicación y división para segundo de la ESO? Por favor.


    replythumb_up1 voto/sflag
    icon

    Erika
    el 1/2/17

    Sí, a mi también me vendría muy bien que hicierais un vídeo de esto.

    Un saludo, Erika.

    thumb_up0 voto/sflag