Foro de preguntas y respuestas de Matemáticas

logo beUnicoos
Los foros de unicoos se han unificado en nuestra nueva plataforma beUnicoos. Para dejar nuevas preguntas deberás hacerlo allí, donde además podrás encontrar nuevas asignaturas y herramientas para ayudarte más con tus estudios.

  • icon

    Paula
    el 2/2/17

    Si alguien se anima:

    Gracias de antemano.

    replythumb_up0 voto/sflag
    icon

    Antonius Benedictus
    el 2/2/17


    thumb_up0 voto/sflag
    icon

    Paula
    el 2/2/17

    Muchísimas gracias Antonio. Me has aclarado bastantes dudas.

    thumb_up0 voto/sflag
  • icon

    Adrián
    el 2/2/17

    Alguien me puede ayudar. Muchas gracias de antemano.

    replythumb_up0 voto/sflag
    icon

    Antonius Benedictus
    el 2/2/17


    thumb_up0 voto/sflag
  • icon

    Paula
    el 2/2/17

    Con este otro también tengo dificultades:


    replythumb_up0 voto/sflag
    icon

    Antonius Benedictus
    el 2/2/17


    thumb_up0 voto/sflag
    icon

    Paula
    el 2/2/17

    Muchísimas gracias Antonio.

    thumb_up0 voto/sflag
  • icon

    Paula
    el 2/2/17

    Necesitaría ayuda con este ejercicio. Gracias de antemano.


    replythumb_up0 voto/sflag
    icon

    Antonius Benedictus
    el 2/2/17


    thumb_up0 voto/sflag
    icon

    Paula
    el 3/2/17

    Muchas gracias Antonio.

    thumb_up0 voto/sflag
  • icon

    Adrián
    el 2/2/17

    Alguien que me pueda ayudar porfavor. Muchisimas gracias de antemano

    replythumb_up0 voto/sflag
    icon

    Miguel Caballero
    el 2/2/17

    La función de la recta tangente es: Ecuación de la recta tangente

    Con lo cual debes hallar los puntos que te faltan para hallar la recta tangente y luego igualar para hallar por los puntos por los que pasa.

    Tienes aquí un ejemplo: http://www.vitutor.com/fun/4/k_1.html  

    thumb_up0 voto/sflag
    icon

    Guillem De La Calle Vicente
    el 2/2/17


    thumb_up0 voto/sflag
    icon

    Antonius Benedictus
    el 2/2/17


    thumb_up0 voto/sflag
  • icon

    Ana
    el 2/2/17

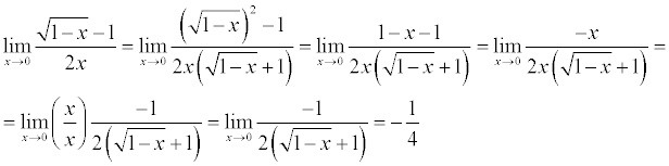
    Importante!!:  En la parte marcada no entiendo porque en el numerador se pasa de -x a -1 y se elimina la x del denominador. 

    replythumb_up0 voto/sflag
    icon

    Antonius Benedictus
    el 2/2/17

    El factor común  (x)  del numerador y del denominador se simplifica.

    thumb_up0 voto/sflag
    icon

    César
    el 2/2/17

    A ver si lo ves 

    thumb_up0 voto/sflag
  • icon

    JUAN AMPIE
    el 2/2/17

    La rueda de un vehiculo tiene un radio de 36 cm , ¿cuantas vueltas debe dar para recorrer una distancia de un kilometro?


    por favor

    replythumb_up0 voto/sflag
    icon

    César
    el 2/2/17

    la longitus de la circunfeencia es L=2πr=226.19 cm=2.2619m

    1000m/2.2619m=442.09 vueltas

    thumb_up2 voto/sflag
    icon

    JUAN AMPIE
    el 2/2/17

    Gracias

    thumb_up0 voto/sflag
    icon

    Alexis de Barros
    el 2/2/17

    Longitud circunferencia = 2 . π . Radio = 72π = 226,2 cm

    226,2 cm = 0,002262 km

    1 vuelta - 0,002262 km

    x -   1 km

    x= 442 vueltas aproximadamente

    thumb_up1 voto/sflag
  • icon

    Agustina
    el 2/2/17

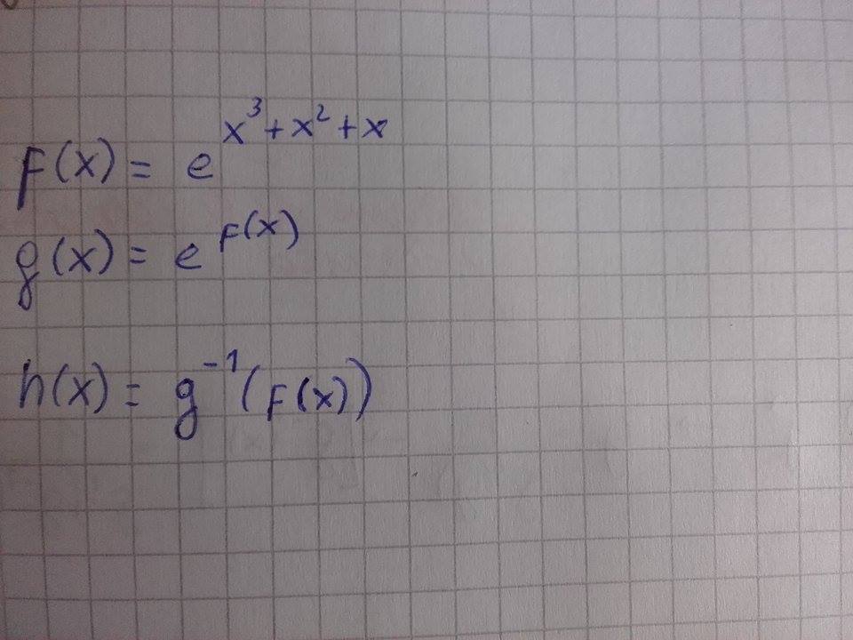
    Hola, el enunciado pide h'(x). Tengo la idea de como resolverlo, lo intenté, pero a la hora de hacer las cuentas se me dificultan los despejes y me quedan expresiones muy raras.

    replythumb_up0 voto/sflag
    icon

    Antonius Benedictus
    el 2/2/17


    thumb_up0 voto/sflag
    icon

    Agustina
    el 2/2/17

    sigo un poco perdida, ¿cómo sería g'(x) ? se resuelve por regla de la cadena..  g'(x)=e f(x).f'(x)


     

    thumb_up0 voto/sflag
  • icon

    Alexis de Barros
    el 2/2/17

    e estado buscando pero no e encontrado vídeos sobre haz o familia de rectas, cónicas, y sus envolventes y algo de lugar gemoetrico. Alguien puede ayudarme a encontrar material o recomendarme algún libro que este en pdf les dejo unos ejercicio de ejemplo https://drive.google.com/file/d/0BxI60oV_PKhvMnhoUDZ1XzgzN1U/view se los agradecería mucho

    replythumb_up0 voto/sflag
    icon

    Miguel Caballero
    el 2/2/17

    https://amontes.webs.ull.es/pdf/co.pdf   No se si esto te servirá ya que no se puede ver el ejercicio que has dejado de muestra en el Drive.

    http://www.matematicayyo.uy/pagina%20diego/repartidos_2014/3FM_Mat2/ejercicios_preparatorios_segunda_prueba_oct_nov2014.pdf  

    thumb_up1 voto/sflag
    icon

    Alexis de Barros
    el 2/2/17

    del segundo pdf me sirven los ejercicios, pero necesito ayuda para resolverlos. De todas formas gracias por el aporte.

    thumb_up0 voto/sflag
    icon

    Miguel Caballero
    el 2/2/17

    Lo siento si te sirve de poco pero no se exactamente que buscas de todas maneras, si pones en google lo que buscas seguramente hay montones de ejercicios. Suerte

    thumb_up1 voto/sflag
    icon

    Alexis de Barros
    el 2/2/17

    es que no aparece el material que necesito en google es dificil de encontrar. pero igual gracias.

    thumb_up0 voto/sflag
    icon

    Ángel
    el 4/2/17

    No me deja abrir tu enlace para ver el tipo de material que quieres exactamente.

    Prueba a volver a subir el link

    thumb_up0 voto/sflag
    icon

    Alexis de Barros
    el 11/2/17

    https://drive.google.com/file/d/0BxI60oV_PKhvMnhoUDZ1XzgzN1U/view?usp=sharing

    thumb_up0 voto/sflag
  • Usuario eliminado
    el 2/2/17

    Podrian darme una mano (Ejercicio 224 y 225)

    replythumb_up0 voto/sflag
    icon

    Antonius Benedictus
    el 2/2/17

    El 224 lo tienes bien.

    Voy a corregir el otro.

    thumb_up1 voto/sflag
    icon

    Alexis de Barros
    el 2/2/17

    tenes que aplicarles alguna propiedad en particular o derivando y simplificando?

    thumb_up0 voto/sflag
    icon

    Alexis de Barros
    el 2/2/17

    el 224 me dio igual que ti tambien. El otro no lo se hacer.

    thumb_up1 voto/sflag
    icon

    Antonius Benedictus
    el 2/2/17

    El resultado no me da como la solución. Y creo que lo tengo bien.


    thumb_up1 voto/sflag

    Usuario eliminado
    el 2/2/17

    Muchas gracias, me quedo claro.

    thumb_up0 voto/sflag