¿Dónde tengo acceso a la teoría, ejercicios resueltos y autoevaluación que indica el Plan Pro? No doy con ello. Gracias.

Vamos con los planteos.
1)
Recuerda que para un cilindro circular recto de radio R y altura h tenemos:
Superficie (dos tapas circulares y una cara lateral cilíndrica): S = 2π*R2 + 2π*R*h;
Volumen: V = π*R2*h.
Luego, suponiendo que se emplea todo el material, planteamos
S = 100 (en cm2), sustituimos y queda:
2π*R2 + 2π*R*h = 100, hacemos pasaje de término y queda:
2π*R*h = 100 - 2π*R2 , dividimos en todos los términos de la ecuación por 2π y queda:
h = 50/π - R, luego sustituimos en a expresión del volumen y queda:
V = π*R2*(50/π - R) distribuimos y queda:
V = 50*R2 - π*R3,
que es la expresión de una función de variable R, y observa que R y V deben tomar valores estrictamente positivos,
luego queda que derives, iguales a cero para determinar los puntos críticos, y continúes el estudio tal como seguramente has visto en clase.
2)
Haz un dibujo, traza los márgenes y verás que la superficie ocupada por cuatro rectángulos en las esquinas, dos rectángulos en sus bases inferior y superior, y dos rectángulos en sus alturas izquierda y derecha.
Llamemos x a la base útil del cartel, por lo que tenemos que la base total mide: x + 2*2 = x + 4 (en cm).
Llamemos y a la altura útil del cartel, por lo que tenemos que la altura total mide: y + 2*3 = y + 6 (en cm).
Luego planteamos:
Área útil: A = x*y (en cm2);
Área total: AT = (x + 4)*(y + 6) (en cm2).
Luego, a partir del enunciado, tenemos que el área total mide 150 (en cm2), por lo que planteamos:
AT = 150, sustituimos y queda:
(x + 4)*(y + 6) = 150, hacemos pasaje de factor como divisor y queda:
y + 6 = 150/(x + 4), hacemos pasaje de término y queda:
y = 150/(x + 4) - 6.
Luego sustituimos en la expresión del área útil y queda:
A = x*(150/(x + 4) - 6),
que es la expresión de una función de variable x, y observa que x y A deben tomar valores estrictamente positivos,
luego queda que derives, iguales a cero para determinar los puntos críticos, y continúes el estudio tal como seguramente has visto en clase.
3)
Recuerda que la elipse es una curva simétrica con respecto a los ejes coordenados OX y OY, por lo que el rectángulo inscripto también es simétrico a dichos ejes (haz un dibujo).
Luego, planteamos las coordenadas de los cuatro vértices: A(x,y), B(-x,y), C(-x,-y),D(x,-y),
y observa que tenemos: para las dimensiones del rectángulo
longitud de la base: b =|BA| = |DC| = 2x (en cm, observa que x debe tomar valores estrictamente positivos);
longitud de la altura: h = |DA| = |CB| = 2y (en cm, observa que y debe tomar valores estrictamente positivos);
luego, pasamos a la expresión del área del rectángulo inscripto:
A = b*h, sustituimos y queda:
A = 2x*2y, resolvemos factores numéricos y queda.
A = 4x*y.
Luego, como los cuatro vértices pertenecen a la elipse, tenemos que verifican su ecuación, por lo que planteamos:
x2/16 + y2/4 = 1, hacemos pasaje de término y queda:
y2/4 = 1 - x2/16, multiplicamos por 4 en todos los términos de la ecuación y queda:
y2 = 4 - x2/4, hacemos pasaje de potencia como raíz (recuerda que y debe tomar valores estrictamente positivos) y queda:
y = √(4 - x2/4).
Luego sustituimos en la expresión del área del rectángulo inscrito y queda:
A = 4x*√(4 - x2/4),
que es la expresión de una función de variable x, y observa que x y A deben tomar valores estrictamente positivos,
luego queda que derives, iguales a cero para determinar los puntos críticos, y continúes el estudio tal como seguramente has visto en clase.
Espero haberte ayudado.
Hola buenos dias me podrías ayudar a como puedo llegar de la siguiente ecuacion trigonometrica a la cotagente de este ejercicio

Puedes emplear las identidades de transformaciones en producto para el numerador (N) y para el denominador (D) de la expresión del primer miembro.
Tenemos:
N = sen(5a) + sena = 2*sen( (5a+a)/2 )*cos( (5a-a)/2 ) = 2*sen(3a)*cos(2a);
D = cos(5a) - cosa = -2*sen( (5a+a)/2 )*sen( (5a-a)/2 ) = - 2*sen(3a)*sen(2a).
Luego, pasamos al primer miembro de la identidad del enunciado:
(sen(5a) + sena) / (cos(5a) - cosa) = sustituimos:
= 2*sen(3a)*cos(2a) / ( -2*sen(3a)*sen(2a) ) = resolvemos signos y simplificamos:
= - cos(2a)/sen(2a) = aplicamos las identidades del coseno y del seno del doble de un ángulo:
= - (cos2a - sen2a) / (2*sena*cosa) =
dividimos en el numerador y en el denominador por cos2a (observa que distribuimos en el numerador):
= - (1 - sen2a/cos2a) / (2*sena/cosa) = aplicamos la identidad de la tangente:
= - (1 - tan2a)/(2tana).
Espero haberte ayudado.

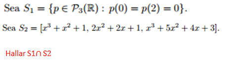
Tomemos un elemento genérico del subespacio S1: p(x) = ax3 + bx2 + cx + d, luego planteamos sus condiciones:
p(0) = 0, reemplazamos y queda. d = 0;
p(2) = 0, reemplazamos y queda: 8a + 4b + 2c + d = 0;
luego reemplazamos el valor de d, dividimos en todos los términos de la ecuación por 2 y queda:
4a + 2b + c = 0, de donde podemos despejar: c = - 4a - 2b.
Luego, la expresión del elemento genérico del conjunto S1 queda: p(x) = ax3 + bx2 + (- 4a - 2b)x + 0.
Luego, planteamos que este elemento genérico también pertenece al conjunto S2, por lo que tenemos que dicho elemento tiene que ser igual a una combinación lineal de los elementos del conjunto generador de S2, por lo que planteamos:
ax3 + bx2 + (- 4a - 2b)x + 0 = A(x3 + x2 + 1) + B(2x2 + 2x + 1) + C(x3 + 5x2 + 4x + 3), donde A, B y C son números reales que debemos determinar,
luego distribuimos términos y agrupamos términos según su grado en el segundo miembro, y queda:
ax3 + bx2 + (-4a - 2b)x+ 0 = (A + C)x3 + (A + 2B + 5C)x2 + (2B + 4C)x + (A + B + 3C),
luego comparamos coeficientes término a término y queda el sistema de cuatro ecuaciones con tres incógnitas:
A + C = a, de donde despejamos: C = a - A (1)
A + 2B + 5C = b
2B + 4C = -4a - 2b
A + B + 3C = 0
luego sustituimos la expresión señalada (1) en las demás ecuaciones, operamos y queda:
- 4A + 2B = - 5a + b
- 4A + 2B = -8a - 2b de donde despejamos: B = 2A - 4a - b (2)
- 2A + B = - 3a
luego sustituimos la expresión señalada (2) en las demás ecuaciones y queda:
- 8a - 2b = - 5a + b, de donde despejamos: b = - a (3)
-4a - b = - 3a - 3b
luego sustituimos la expresión señalada (3) en la última ecuación y queda:
- 4a + a = - 3a + 3a, reducimos términos semejantes y queda:
- 3a = 0, de donde tenemos: a = 0, que es la condición que debe cumplir el elemento genérico p(x) para pertenecer a los subespacios S1 y S2;
luego reemplazamos en la ecuación señalada (3) y tenemos: b = 0,
luego reemplazamos en la ecuación señalada (2) y tenemos: B = 2A,
luego reemplazamos en la ecuación señalada (1) y tenemos: C = - A,
luego observa que A puede tomar cualquier valor real,
luego reemplazamos en la expresión del elemento genérico y queda: p(x) = 0 (observa que hemos obtenido el polinomio nulo).
Por lo tanto, concluimos que el conjunto intersección entre los subespacios S1 y S2 queda: S = {0}.
Espero haberte ayudado.