
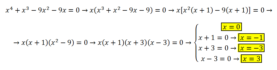
Debes plantear el límite para x tendiendo a 1 de la expresión fraccionaria (observa que el numerador tiende a cero y que el denominador tiende a cero, por lo que es indeterminado).
Para resolver, puedes efectuar al división (te dejo la tarea), luego tomas el limite para x tendiendo a 1, y tienes tres posibles casos:
1) si el límite es igual a 2008, tienes que la función es continua en x = 1 y para todo el conjunto R, ya que la expresión no se indetermina para otros valores reales;
2) si el límite no es igual a 2008, tienes que la función no es continua en x = 1, y si el resultado del límite es numérico, tienes que la función es discontinua evitable en x = 1, y es continua para todo otro valor real;
3) si el límite es infinito, tienes que la función no es continua en x = 1, porque es discontinua inevitable en dicho punto, y si es continua para todo otro valor real.
Haz el intento, y si te es preciso no dudes en volver a consultar.
Espero haberte ayudado.
Hola... alguien que sepa darme algunas indicaciones para resolver este ejercicio...
muchas gracias
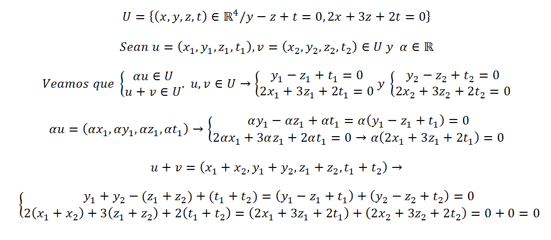
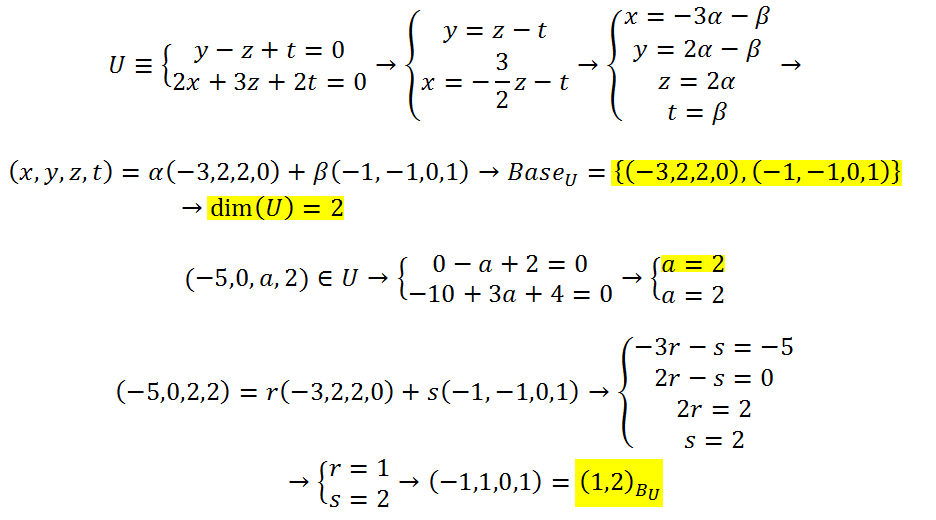
Completar el sistema de vectores {(1,2,3) y (1,1,1) } para definir una base B
b) Definir un endomorfismo f no inyectivo en R3
c) Utilizando la base B descomponer canónicamente el endomorfismo f
d) Hallar la matriz asociada al producto escalar habitual en la base B
e) Hallar una base en la que la matriz asociada al producto escalar sea la matriz unidad.

Me encantaría ayudarte, pero no respondo dudas universitarias que no tengan que ver específicamente con los videos que ya he grabado como excepcion. O de otras asignaturas que no sean matemáticas, física y química. Lo siento de corazón… Espero lo entiendas
Ojalá algun unicoo universitario se anime a ayudarte (de hecho lo ideal es que todos los universitarios intentarais ayudaros los unos a los otros)