Se supone que debo aplicar integrales en este problema... Pero no se cómo, pienso que es tasa de variación media, pero no tiene nada que ver con el tema que estoy viendo que son integrales. Así va el problema
Eficiencia. Después de "t" meses en el trabajo. Un empleado postal puede clasificar Q(t)= 700 - 400e^-0,5t cartas por hora. ¿Cuál es la tasa media a la cual el empleado puede clasificar el correo durante los tres primeros meses en el trabajo?
Me podrían ayudar :(

Me encantaría ayudarte, pero no respondo dudas universitarias que no tengan que ver específicamente con los videos que ya he grabado como excepcion. O de otras asignaturas que no sean matemáticas, física y química. Lo siento de corazón… Espero lo entiendas
Ojalá algun unicoo universitario se anime a ayudarte (de hecho lo ideal es que todos los universitarios intentarais ayudaros los unos a los otros)
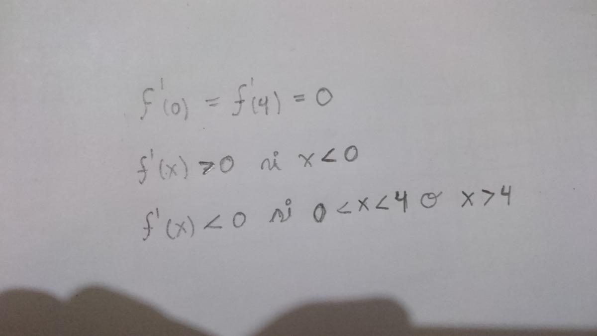
Buenas unicoos me quede estancado en este ejercicio, les dejo la respuesta arriba en la foto, en letra azul. ![]()

Debes corregir la división entre polinomios (observa que el numerador tiene término constante igual a cero), aplicamos la Regla de Ruffini.
2 -7 -15 0
3 6 -3 -54
2 -1 -18 -54
Luego, la expresión fraccionaria del enunciado puede escribirse:
(2x3 - 7x2 - 15x + 0)/(x - 3) = 2x2 - 1x - 18 - 54/(x - 3).
Luego, pasamos a la integral del enunciado:
I = ∫ (2x3 - 7x2 - 15x + 0)/(x - 3) dx = sustituimos el integrando:
= ∫ ( 2x2 - 1x - 18 - 54/(x - 3) ) dx = separamos en términos y extraemos factores constantes:
= 2∫x2 dx - ∫ x dx - 18 ∫ dx - 54 ∫ 1/(x - 3) dx = integramos:
= 2x3/3 - x2/2 - 18x - 54ln(x - 3) + C.
Espero haberte ayudado.
Sea g una funcion derivable en x=1 tal que la ecuacion de la recta tangente al grafico de g en x=1 es y=-3x+3. Consideremos f(x)= aeg(x)+b(x-1). Determinar los valores de a y b reales de manera que la recta tangente al grafico de f en x=1 tenga ecuacion y=-15x+5
Yo solo consegui el valor de a que me dio -10, pero nose como hallar el valor b.

Comencemos con la función g:
a partir de la ecuación explícita de la recta tangente en el punto de abscisa x = 1, tenemos que su pendiente es: m =g ' (1) = -3,
y la ordenada del punto de contacto queda: y = g(1) = -3*1 + 3 = 0.
Continuamos con la función f:
la expresión de su función derivada queda: f ' (x) = a*eg(x) + b(x-1)*(g ' (x) + b),
luego evaluamos para x = 1 y queda la pendiente de la recta tangente:
f ' (1) = m, reemplazamos y queda:
a*eg(1) + b(1-1)*(g ' (1) + b) = - 15, resolvemos el exponente en el primer factor y queda:
a*eg(1)*(g ' (1) + b) = - 15, reemplazamos los valores de g(1) y g ' (1) y queda:
a*e0*(- 3 + b) = - 15, resolvemos el segundo factor y queda:
a*(- 3 + b)= - 15 (1),
luego, la ordenada del punto de contacto queda (a partir de la ecuación de la recta tangente):
y = f(1) = a*eg(1)+b(1-1) = - 15*1 + 5, reemplazamos el valor de g(1), resolvemos el exponente y el segundo miembro y queda:
a*e0 = - 10, resolvemos el factor exponencial y queda:
a = - 10 (2).
Luego, reemplazamos el valor señalado (2) en la ecuación señalada (1) y queda:
- 10*(- 3 + b) = - 15, distribuimos en el primer miembro y queda:
30 - 10b = - 15, hacemos pasaje de término numérico y queda:
- 10b = - 45, hacemos pasaje de factor como divisor y queda:
b = 9/2.
Espero haberte ayudado.
Buenas tardes.Tengo una duda con las parabolas. Como seria la ecuaicion? Porque en el libro tengo que es x^2=2py, y en otras partes vi que era x^2=4py.Estoy confundido con esto
.Y el p, seria la distancia del vertice al foco o la distancia de la directriz al foco?

Se trata de dos maneras de presentar la ecuación de una parábola con vértice en el origen y eje de simetría OY.
1)
Cuando la ecuación de la parábola está presentada: x2 = 2py,
tienes que la distancia entre el vértice y el foco es: |p|/2, que es igual a la distancia entre el vértice y la recta directriz,
y tienes que la distancia entre el foco y la recta directriz es: |p|.
2)
Cuando la ecuación de la parábola está presentada: x2 = 4py,
tienes que la distancia entre el vértice y el foco es: |p|. que es igual a la distancia entre el vértice y la recta directriz,
y tienes que la distancia entre el foco y la recta directriz es. 2|p|.
Espero haberte ayudado.

1)
Puedes plantear una tabla de valores (t indica tiempo transcurrido a partir del momento inicial, V indica precio):
t V
0 70000
10 0
Comenzamos por calcular la pendiente: m = (0 - 70000)/(10 - 0) = - 70000/10 = - 7000 (en $/año).
Luego, con los datos de la primera línea, planteamos:
V - 70000 = - 7000*(t - 0), distribuimos, cancelamos el término nulo, hacemos pasaje de término numérico y queda:
V = -7000*t + 70000 (en $).
2)
Planteamos: Utilidad = Ingresos - Gastos (llamamos x a la cantidad de mesas producidas y vendidas).
Tenemos:
Ingreso: I(x) = (4320/12)*x = 360*x (en $);
Gasto: G(x) = 12000 + 230*x (en $).
Luego pasamos a la expresión de la Utilidad:
U(x) = I(x) - G(x), sustituimos y queda:
U(x) = 360*x - (12000 + 230*x), distribuimos el signo en el agrupamiento:
U(x) = 360*x - 12000 - 230*x, reducimos términos literales y ordenamos términos:
U(x) = 130*x - 12000 (en $), por lo que concluimos que la opción d es la respuesta correcta.
Espero haberte ayudado.

1)
Vamos con la ecuación: Utilidad = Ingreso - Costos.
Luego planteamos (llamamos x a la cantidad de escritorios vendidos):
I(x) = (6600/12)*x = 550x (en Soles);
C(x) = 350x + 18000 (en Soles, observa que hemos sumado el costo fijo más el costo de comprar x escritorios).
Luego, planteamos la expresión de la función Utilidad:
U(x) = I(x) -C(x), sustituimos y queda:
U(x) = 550x - (350x + 18000), distribuimos el signo, reducimos términos semejantes y queda:
U(x) = 200x - 18000, que es la expresión de la función Utilidad, y observa que x debe tomar valores naturales.
Luego, como la ganancia esperada es 12000 Soles, planteamos:
U(x) = 12000, sustituimos y queda:
200x - 18000 = 12000, hacemos pasaje de término numérico y queda:
200x = 30000, hacemos pasaje de factor como divisor y queda:
x = 150 escritorios, por lo que concluimos que la opción d es la respuesta correcta.
2)
Puedes visualizar la situación con una tabla de valores (t indica instante en años a partir de hoy, y P indica precio en dólares):
t P
4 270000
12 240000
50 y.
Luego, con los datos de las dos primeras líneas calculamos la pendiente de la expresión lineal:
m = (240000 - 270000)/(12 - 4) = - 30000/8 = - 3750 (expresado en dólares/año).
Luego, la ecuación que muestra la depreciación de la propiedad queda (observa que empleamos los datos de la primera línea y la pendiente):
y - 270000 = - 3750*(t - 4), luego reemplazamos el valor de t de la tercer línea y queda:
y - 270000 = - 3750*(50 - 4), resolvemos el agrupamiento y queda:
y - 270000 = - 3750*46, resolvemos el segundo miembro y queda:
y -270000 = - 172500, hacemos pasaje de término numérico y queda:
y = 97500 dólares, por lo que concluimos que la opción d es la respuesta correcta.
Espero haberte ayudado.