Hola Marco.
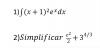
El segundo ejercicio te deberían dar una igualdad, porque para simplificar este tipo de ejercicios se debería aplicar logaritmos para pasar los exponentes a coeficientes y solo puede ser cuando se aplica el logaritmo a una potencia, no una suma. Repasa si el enunciado está bien. Tal como está solo se podría hacer lo siguiente.
e2/2+34/3=(e2+2·34/3)/2=(e2+2·3·31/3)/2=(e2+6·31/3)/2, o
e2/2+34/3=.......................=(e2+(8·3)4/3)/2=(e2+244/3)/2
---------------------------------------------------------------------TRIGONOMETRIA---------------------------------------------------------------------------
Demostrar:
sen=√(sec^2-1)/sec
Como puedo factorizar esto:
hola UNICOOS , estoy con terrible problemas con esta clase de problemas, no entiendo bien la forma de escribirlas y por ende se me complica calcular . Ese q igualado al transformado, es el q(t)?? eso me complica desarrolle dicho factor con un polinomio de grado de genereico pero llego a que la diemension del nucleo es 3.. lo cual creo que esta mal

Vamos con una orientación.
Tienes que la derivada segunda de la función es distinta de cero para todo valor x real, luego tienes que la derivada segunda de la función está definida para todos los números reales, lo cuál implica que la derivada primera y la función están definidas en todo el conjunto R. Luego, si la derivada segunda nunca vale cero, tienes que la gráfica de la función no presenta inflexiones, por lo que mantiene su concavidad para todo valor x real.
Luego, observa que ya tienes una de las raíces: x1 = 1, ya que según el enunciado tienes. f(1) = 0.
Luego, observa que tienes tres puntos que pertenecen a la gráfica de la función:
A1(1,0) que corresponde a la raíz x1,
A2(2,3), ya que tienes que f(2) = 3,
A3(3,1), ya que tienes que f(3) = 1.
Luego, como la gráfica de la función no presenta inflexiones, observa (haz un gráfico cartesiano) que la única forma para una curva que sea gráfica de la función, y que mantenga su concavidad y pase por los tres puntos, es que sea cóncava para abajo (parecida a una parábola con eje paralelo a OY y coeficiente principal negativo en su ecuación), por lo que existe algún valor x2 > 3, tal que f(x2) = 0, por lo que x2 es la otra raíz de la función.
Observa que como tienes que la función es dos veces derivable, y ya vimos que su derivada primera está definida en todo R, la gráfica de la función es una curva continua (no presenta interrupciones de ninguna clase), y que no presenta puntos angulosos (o picos).
Espero haberte ayudado.