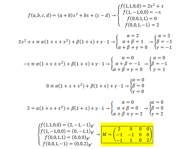
Hola podríais ayudarme?
Actividad 1
Cuál es el dominio de las siguientes funciones:
Actividad 2
Responde a las siguientes cuestiones:
a) ¿En qué intervalos es positiva la función:
b) ¿En qué intervalo es negativa la función: f(x)=x4 - 2x2
¿Cuáles son sus puntos de corte con el eje OX?
¿Es una función par o impar? ¿Por qué?
Buenas, tengo una duda sobre los multiplicadores de Lagrange.
Mi profe nos dijo que para calcular extremos condicionados de f(x,y), por ejemplo a una función g(x,y) había que aplicar que los extremos condicionados eran puntos críticos de la función de lagrange F(x,y,λ)=f(x,y)+λg(x,y) (a partir de aquí derivamos respecto de las tres variables e igualamos a 0 y calculamos puntos críticos).
El problema es que he mirado ejercicios por internet y lo que hacen es esto:
-Cogen la función f(x,y)=λg(x,y) derivan respecto x y respecto y (tendrían dos ecuaciones, las igualan a 0) y luego la tercera sería g(x,y) que es la condición.
¿Son correctos los dos métodos?

Observa bien:
tienes la ecuación:
f(x,y) = λ*g(x,y),
luego derivas en ambos miembros con respecto a x, luego queda: fx(x,y) = λ*gx(x,y),
luego derivas en ambos miembros con respecto a y, luego queda: fy(x,y) = λ*gx(x,y),
luego derivas en ambos miembros con respecto a λ (observa que la expresión del primer miembro es independiente de λ), luego queda: 0 = 1*g(x,y),
luego, queda el sistema de ecuaciones:
fx(x,y) = λ*gx(x,y)
fy(x,y) = λ*gx(x,y)
0 = 1*g(x,y),
con λ ∈ R,
haces pasajes de términos en las dos primeras ecuaciones y queda:
fx(x,y) - λ*gx(x,y) = 0
fy(x,y) - λ*gx(x,y) = 0
0 - 1*g(x,y) = 0.
con λ ∈ R
Observa que el sistema que te queda según el planteo que has estudiado en clase queda:
fx(x,y) + λ*gx(x,y) = 0
fy(x,y) + λ*gx(x,y) = 0
0 - 1*g(x,y) = 0,
con λ ∈ R.
Observa que la única diferencia entre ambos sistemas se encuentra en el signo del término que tiene al parámetro λ como factor y, como es una incógnita, en un sistema obtendrás los puntos con sus parámetros correspondientes, y en el otro sistema obtendrás los mismos puntos, pero con los parámetros cambiados de signo.
Puedes tomar alguno de tus ejercicios y resolverlo en las dos formas, y verás en concreto que los dos planteos son equivalentes.
Espero haberte ayudado.
Hola, necesito ayuda para dos ejercicios de aplicación teórica sobre geometría.
"Dados los puntos A(1,1,5), B(2,0,-5) y C(1,2,12) calcular los vectores de módulo 3 perpendiculares a AB(vector) y AC (vector)." Tendría que calcular el vector AB y AC? de ser así, que hago luego?? he pensado calcular el producto escalar igualado a cero, pero no tiene sentido porque no tengo incógnicas. entonces, calculo el vector perpendicular por vector i,j,k?
"Calcular los valores de a y b para que el vector w(-a, b, b) sea unitario y perpendicular al vector AC (3,0,-3)"
GRACIAS

Vamos con una.orientacion para el primer problema:
Comienza por plantear el producto vectoria entre los vectores AB y AC, asi obtendras un vector w perpendicular a AB y a AC a la vez.
Luego calcula el modulo de w.
Luego planteas el vector w normalizado: W = w/|w|.
Por ultimo, multiplcas al vector W por 3 y por -3 y tienes los vectores que pide el enunciado del problema.
Espero haberte ayudado.

Tienes el vector A = <3,0,-3>, y el vector w = <-a,b,b>, y como deben ser perpendiculares, plantea que su producto escalar debe ser igual a cero:
A • w = 0, sustituyes y queda:
<3,0,-3> • <-a,b,b> = 0, resuelves y queda:
-3a + 0b - 3b = 0, cancelas el término nulo, divides en todos los términos de la ecuación por -3 y queda:
a + b = 0, de donde puedes despejar: a = -b,
luego sustituyes en la expresión del vector W y queda:
w = <b,b,b> = b*<1,1,1>, luego planteas su módulo y queda.
|w| = √( b2 + b2 + b2 ) =√(3b2) = √(3)*|b|,
luego planteamos las componentes del vector w normalizado (unitario):
W = w/|w| = b*<1,1,1> / √(3)*|b| = ordenamos factores = ( 1/√(3) )*( b/|b| )*<1,1,1>,
luego tenemos dos opciones:
1) si b > 0, entonces: b/|b| = 1, y queda: W1 = ( 1/√(3) )*1*<1,1,1> = <1/√(3) , 1/√(3) , 1/√(3) >,
2) si b < 0, entonces: b/|b| = -1, y queda: W2 = ( 1/√(3) )*(-1)*<1,1,1> = <-1/√(3) , -1/√(3) , -1/√(3) >.
Espero haberte ayudado.