Por favor me podrían explicar como puedo resolver este ejercicio de sistema de ecuaciones exponenciales??
Antes que nada queria agradecer de todo corazon a todos los Unicoos que ayudan para la mejora de nuestros conocimientos y un especial agradecimiento a Antonio Benito Garcia que siempre me salvó de todos mis problemas en la materia.
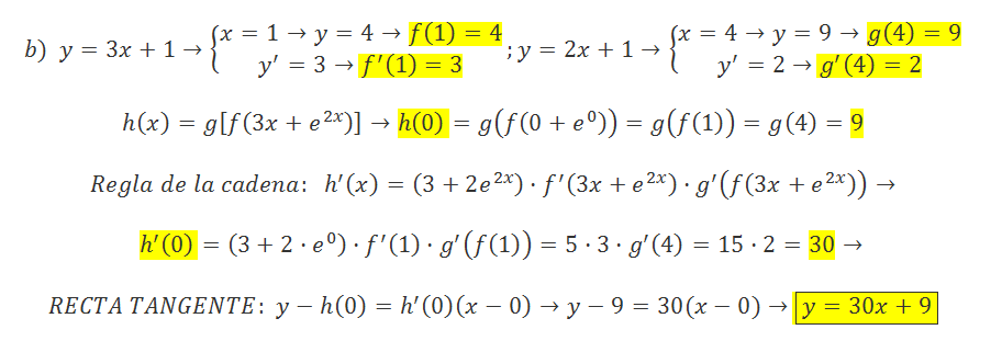
Queria verificar si mi resultado es valido para este ejercico ![]()
El b) me dio 5x+30 la recta tangente de h(x), dudo que esté bien.
Saludos, me preguntaba si me podrían ayudar con una duda que tengo respecto al tema de integrales dobles, mi duda en concreto, es respecto a la simetría de la integral, puesto que, “si es simétrica” puede calcularse solo la mitad y multiplicarla por dos, pero mi duda es que , esto se hace cuando es simétrica la región o la función a integrar , puesto que mi profesor me pidió realizar la demostración anexa en la imagen, y yo considere que no puede demostrarse si no se da la condición de que tanto la región de integración como la función a entrar deben ser simétricas. ¿estoy en lo correcto?, de ser así, como puedo justificarlo ante mi profesor que esa demostración no es posible, sin ninguna condición dada. Gracias de antemano.![]()

Me encantaría ayudarte, pero no respondo dudas universitarias que no tengan que ver específicamente con los videos que ya he grabado como excepcion. O de otras asignaturas que no sean matemáticas, física y química. Lo siento de corazón… Espero lo entiendas
Ojalá algun unicoo universitario se anime a ayudarte (de hecho lo ideal es que todos los universitarios intentarais ayudaros los unos a los otros)
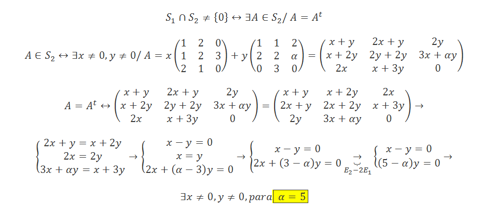
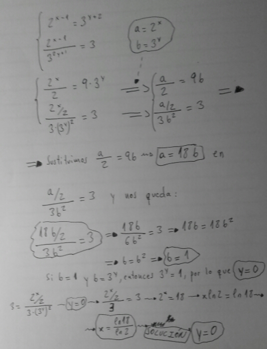
Alguien me podría ayudar con esta ecuacion?:
x14 - 5x7 - 6 = 0
Sería x elevado a 14 menos 5x elevado a 7 menos 6 es igual a 0
Hola buenas tardes, soy una mama en apuros , en tutoría la profe de mates de mi hijo que esta en primero de la eso me indico que usara únicoos para reforzar las mates de forma amena a mi hijo.
Nos hemos suscrito al canal. y hemos entrado en las mates de 1 de la eso . Me dice que no hay nada de decimales que es el tema que esta dando, será por ser materia de repaso de 6 de primaria?.
Si me pudierais ayudar os lo agradecería ya que yo hace muchos años deje los estudios y encima de letras . Muchas gracias.
Por cierto hacéis una labor entrañable y mil gracias por estar ayudando a los jóvenes.
Estaría bien si resuelvo este ejercicio sólo analizando la derivabilidad? Pues hay un teorema que dice que cuando una función es continua (en un pinto), entonces es derivable en ese punto (y el recíproco no es cierto).
Gracias de antemano!

No es así.
Si una función no es continua, entonces no es derivable. Por tanto, para ver si una función es derivable en un punto es necesario que sea continua en él.
La derivabilidad es como una "continuidad suave". La función no solamente no se rompe, sino que además nos va avisando de lo que hace.

Si puedes.
Si muestras que la función es derivable en x = 2 en forma directa (en este ejercicio que consultas debes plantear derivadas laterales), tienes que la función es continua en x = 2.
Recuerda el Teorema que seguramente has visto en clase (x0 pertenece al dominio de la función):
Si f es derivable en x0, entonces f es continua en x0.
Y tal como señala el colega Antonio, el Teorema contrarrecíproco del que hemos señalado nosotros dice:
Si f no es continua en x0, entonces f no es derivable en x0.
Espero haberte ayudado.

Pero qué pasa, por ejemplo, con con una función del tipo F(x)= abs(x)? Pues ésta es continua cuando x=0, pero no es derivable. Es un caso especial?
Al final es´ta bien lo que dije o está mal? Un Antonio me dice que sí y otro que no jajaja.
Muchas gracias a ambos! Era para comprobar si había resuelto correctamente una pregunta de un examen :)