Foro de preguntas y respuestas de Matemáticas

logo beUnicoos
Los foros de unicoos se han unificado en nuestra nueva plataforma beUnicoos. Para dejar nuevas preguntas deberás hacerlo allí, donde además podrás encontrar nuevas asignaturas y herramientas para ayudarte más con tus estudios.

  • icon

    Guillem De La Calle Vicente
    el 31/12/16


    replythumb_up1 voto/sflag
    icon

    Ángel
    el 31/12/16

    MUY BUENA ESA!! JAJA

    [6051(1)3]/3 - [6051(0)3]/3 =  2017 - 0= 2017

    Igualmenteeeeeeee, un excelente 2017 a ti también :)


    Aprovecho este mensaje para agradecer todos los conocimientos que han compartido los Unicoos en este foro durante este año: en especial miles de gracias a David, Antonio Benito, Antonio Silvio y César por su tiempo, esfuerzo y efectividad en enseñar a entender


    QUE EN ESTE AÑO QUE NOS ESPERA VUESTRA FELICIDAD SEA DE TIPO EXPONENCIAL-CRECIENTE   xD

    thumb_up4 voto/sflag
  • icon

    penelope
    el 31/12/16

    alguien me puede ayudar con este problema algo complejo:




     gracias de antemano a todos los unicoos ;)

    replythumb_up0 voto/sflag
    icon

    Antonio Silvio Palmitano
    el 31/12/16

    Vamos con una orientación.

    Este problema es para plantear y resolver con el método de los Multiplicadores de Lagrange, para lo que planteamos la función de tres variables:

    f(x,y,z) = d(O,P)2 = x2 + y2 + z2,

    que es una función diferenciable (distancia desde el origen a un punto genérico P(x,y,z) perteneciente al elipsoide), cuyo vector gradiente queda expresado:

    ∇f(x,y,z) = <2x,2y,2z>.

    Luego, observa que la ecuación del elipsoide puede escribirse:

    x2/16 + y2/121 + z2/81 - 1 = 0,

    que puede considerarse como una superficie de nivel de la función diferenciable:

    g(x,y,z) = x2/16 + y2/121 + z2/81 - 1,

    cuyo vector gradiente queda expresado:

    ∇g(x,y,z) = <x/8,2y/121,2z/81>.

    Luego, planteamos el sistema de ecuaciones de Lagrange:

    ∇f(x,y,z) = λ∇g(x,y,z), con λ ∈ R

    x2/16 + y2/121 + z2/81 - 1 = 0

    que al plantear ecuaciones componente a componente, a partir de la ecuación vectorial de los gradientes, queda:

    2x = λx/8

    2y = 2λy/121

    2z = 2λz/81

    x2/16 + y2/121 + z2/81 - 1 = 0

    Luego, queda la tarea (que tiene sus bemoles) de resolver el sistema de ecuaciones, para lo que te sugiero comenzar con la primera ecuación, en la que haces pasaje de término y queda:

    2x - λx/8 = 0

    luego extraes factor común y queda:

    x(2 - λ/8) = 0,

    que nos conduce a dos opciones:

    1) x = 0

    2) 2x = λ/8, de donde puedes despejar: 16x = λ.

    Luego, debes continuar con cada una de las opciones por separado, sustituyendo en las otras ecuaciones, para continuar la tarea.

    Espero haberte ayudado.









    thumb_up0 voto/sflag
  • icon

    Minerva Rabadan
    el 31/12/16

    Cuál es la integral de (x^2 +x)e^-2x+1 ?????

    replythumb_up0 voto/sflag
    icon

    Ángel
    el 31/12/16


    thumb_up0 voto/sflag
  • icon

    edith
    el 31/12/16

    Hola! Alguien me puede ayudar con el ejercicio 2 apartado c? No sé calcular los capicúas con las letras. Los números sé que hay 100 números capicúas entre el 0000 y el 9999. Muchas gracias!

    replythumb_up0 voto/sflag
    icon

    Antonio Silvio Palmitano
    el 31/12/16

    Comencemos por ver cuántas matrículas pueden existir con cuatro dígitos de un total de diez dígitos,y tres letras de un total de veinte letras.

    Observa que debemos elegir cuatro números, en forma ordenada y con repetición: para le primero tenemos diez posibilidades (0,1,..,8,9), por cada uno elegido tenemos diez posibilidades para elegir el segundo, y por cada elección tenemos diez opciones para elegir el tercero, y por cada elección hecha tenemos diez para elegir el cuarto número, por lo tanto tenemos:

    A = 10*10*10*10 = 104 posibilidades.

    Observa que debemos elegir tres letras en forma ordenada y con repetición: para la primera tenemos veinte posibilidades (B, C ..., Y, Z), por cada una elegida tenemos veinte posibilidades para elegir la segunda, y por cada elección tenemos veinte posibilidades para elegir la tercera, por lo tanto tenemos:

    B = 20*20*20 = 203 posibilidades.

    Por lo tanto, concluimos que tenemos: N = A*B = 104*203 posibilidades para armar una matrícula.

    Veamos ahora cuantos números capicúas de cuatro cifras podemos formar (la primera cifra es igual a la cuarta cifra, y la segunda cifra es igual a la tercera). Observa que tenemos diez posibilidades para elegir la primera (y también cuarta) cifra del número, y por cada elección tenemos diez posibilidades para elegir la segunda (y también tercera) cifra del número, por lo tanto tenemos:

    a = 10*10 = 102 posibilidades.

    Veamos ahora cuantas secuencias capicúas de tres letras podemos formar (la primera letra es igual a la tercera, y la segunda puede ser cualquiera). Observa que tenemos veinte posibilidades para elegir la primera (y también tercera) letra, y por cada elección tenemos veinte posibilidades para elegir la segunda letra, por lo tanto tenemos:

    b = 20*20 = 202 posibilidades.

    Por lo tanto concluimos que tenemos n = a*b = 102*202 = 102*202 posibilidades para armar una matrícula con un número de cuatro cifras que sea capicúa y una secuencia de tres letras capicúa.

    Luego, planteamos la fórmula de Laplace para la probabilidad de elegir una matrícula con un número capicúa de cuatro cifras y una secuencia capicúa de tres letras:

    p = n/N = 102*202 / 104*203 = 1 / 102*20 = 1/2000.

    Espero haberte ayudado.


    thumb_up1 voto/sflag
    icon

    edith
    el 1/1/17

    Muchísimas gracias!!


    thumb_up0 voto/sflag
  • icon

    Ylenia Montes
    el 31/12/16

    ¿Alguien podría resolverme este ejercicio , por favor? ¡Muchas gracias! 

    replythumb_up0 voto/sflag
    icon

    Ángel
    el 31/12/16

    ¿Qué es lo que tienes que calcular de la matríz E?

    thumb_up1 voto/sflag
    icon

    Antonio Silvio Palmitano
    el 1/1/17

    Si te piden estudiar los rangos (o características) de la matriz E para los posibles valores del número real n, observa que la matriz tiene dos filas y tres columnas, por lo que su rango puede ser 0, 1 o 2. Luego, partimos de la matriz (empleamos el método de Gauss):

    (n2 - 1)        (n+1)2        (n+1)

    (n + 1)         (n - 1)        (n+ 1)

    Observa que los valores para n: 1 y -1 anulan algunos elementos, por lo que distinguimos tres casos: 1) n = 1, 2) n = -1, 3) n ≠ 1 y n ≠ - 1.

    1) Reemplazamos n = 1 y la matriz queda:

    0                     4               2

    2                     0               2

    permutamos filas y queda:

    2                     0               2

    0                     4               2

    multiplicamos a la primera fila por 1/2, a la segunda fila por 1/4 y queda:

    1                     0               1

    0                     1             1/2

    luego, tenemos que el rango de la matriz es 2.

    2) Reemplazamos n = - 1 y la matriz queda:

    0                     0              0

    0                    -2              0

    permutamos filas y queda:

    0                    -2              0

    0                     0              0

    multiplicamos a la primera fila por -1/2 y queda:

    0                     1              0

    0                     0              0

    luego tenemos que el rango es 1.

    3) Tenemos la matriz:

    (n2 - 1)        (n+1)2        (n+1)

    (n + 1)         (n - 1)        (n+ 1)

    luego, planteamos el determinante de la submatriz cuadrada de orden 2 cuyos elementos hemos remarcado:

    D = (n2 - 1)(n - 1) - (n + 1)(n + 1)= (n + 1)(n - 1)(n - 1) - (n + 1)3 = (n + 1)(n - 1)2 - (n + 1)3, extraemos factor común y queda:

    D = (n + 1)( (n - 1)2 - (n + 1)2 ), resolvemos la diferencia de cuadrados en el segundo agrupamiento y queda:

    D = (n + 1)( 2n(-2) ), resolvemos y factorizamos el segundo agrupamiento y queda:

    D = - 4n(n + 1),

    luego, tenemos dos opciones:

    a) D = 0, que corresponde a n = -1, que es la opción (2) que ya hemos estudiado, o n = 0;

    b) D ≠ 0, que corresponde a n ≠ -1 y n ≠ 0, que nos conduce a que el rango de la matriz es 2.

    a) Reemplazamos n = 0 y la matriz queda:

    -1             1           1

     1           -1            1

    permutamos filas y queda:

     1          -1             1

    -1           1             1

    a la fila 2 le sumamos la fila 1 y queda:

    1          -1             1

    0           0             2

    luego, tenemos que el rango de la matriz es 2.

    Luego, concluimos:

    Si n ≠ -1 entonces el rango de la matriz es 2,.

    Si n = -1 entonces el rango de la matriz es 1.

    Espero haberte ayudado.




    thumb_up1 voto/sflag
  • Usuario eliminado
    el 31/12/16

    Hola UNICOOS...Esta vez tengo dudas acerca de que libros de Analisis Matematico u otros libros me convienen leer, busco una buena base para entender el calculo, de modo a adquirir y por sobre todo concebir bien conceptos profundos, el problema es el siguiente; los libros que leo simplifican demasiado la demostracion de teoremas, por ahora estoy profundizando las sucesiones y los limites que seran necesarios para concebir mejor el calculo y los sumatorios que tambien entran allí y me cuesta deducir sus formulas generales por diferentes metodos formales o a veces debo improvisar y usar mi escasa algebra básica que la manejo bien...Gracias desde ya.

    replythumb_up0 voto/sflag
  • icon

    Bet
    el 31/12/16


    Por qué no se puede calcular la 1 y 3? según yo si, usando la formula (x-x1)(x-x2) siendo x1 y x2 las raíces respectivas

    replythumb_up0 voto/sflag
    icon

    Toby
    el 31/12/16

    Me parece que es la alternativa C, ya que al tener las raíces practicamente lo tienes todo, al tener las raices puedes hallar la suma y el producto de ellas, claro cuidadosamente aplicandolas, y son conocidas como las formulas de Vietta, y así te dará la ecuación bien definida. f(x)=ax²+bx+c

    Así puedes obtener la recta del eje de simetría, x=-(b)/(2a) , y trivialmente puedes tener tambíen el vértice, que pasa por el eje de símetría ya hallado. De igual manera su discriminante.

    Saludos. 

    thumb_up0 voto/sflag
    icon

    Antonio Silvio Palmitano
    el 31/12/16

    Recuerda que la expresión general explícita de una función polinómica cuadrática es:

    f(x) = ax2 + bx + c (con a, b, c coeficientes reales y a ≠ 0),

    y recuerda que la expresión factorizada es:

    f(x) = a(x - x1)(x - x2), donde x1 y x2 son las raíces.

    Luego, observa la expresión factorizada, y verás que falta el coeficiente principal (a) para poder tener la expresión completa.

    Por otro lado, como solamente tienes las dos raíces y el coeficiente principal es desconocido, queda planteada la expresión de un conjunto de infinitas funciones cuadráticas, en las que todas tienen las mismas raíces x1 y x2.

    Luego, recuerda que el eje de simetría es una recta paralela al eje de ordenadas OY, que tiene la propiedad de cortar al eje de abscisas OX en el punto medio del segmento determinado por las dos raíces, por lo tanto su ecuación queda:

    x = (x1 + x2)/2.

    Luego, observa que h = (x1 + x2)/2 es la abscisa del vértice (V(h,k)) de la parábola que es gráfica de la función (recuerda que el vértice pertenece al eje de simetría), pero observa también que para poder determinar su ordenada:

    k = c - b2/4a, es necesario tener los tres coeficientes, y nos falta conocer el valor del coeficiente principal (a). 

    Luego, observa que lo mismo ocurre con el discriminante: Δ = b2 - 4ac.

    Espero haberte ayudado.





    thumb_up0 voto/sflag
    icon

    Bet
    el 31/12/16

    Muchas gracias a ambos, me sirvió demasiado 


    thumb_up0 voto/sflag
  • icon

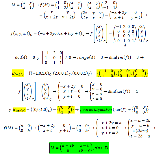
    Carlos Ojeda
    el 31/12/16

    Hola, ¿cómo harían el apartado c) de este ejercicio de aplicaciones? ¿qué hago con la "a" y "b"? Gracias


    replythumb_up0 voto/sflag
    icon

    Antonius Benedictus
    el 31/12/16

    Apartados b y c.


    thumb_up2 voto/sflag
    icon

    Carlos Ojeda
    el 31/12/16

    Muchas gracias Antonio


    thumb_up0 voto/sflag
  • icon

    Carlos Ojeda
    el 31/12/16

    Hola, ¿por qué 1/e^(x^2)  es igual a 1/x^2? no logro llegar a 1/x^2 Gracias

    replythumb_up0 voto/sflag
    icon

    Fermat
    el 31/12/16

    Por la propiedad de los logaritmos: log(an)=n.log(a), entonces también se cumple: ln(ex^2)=x2.ln(e), y si tenemos en cuenta que ln e = 1, tenemos: ln(ex^2)=x2

    Sustituimos x^2 por la expresión anterior:

    1/e^(x^2)=1/e^(ln e^(x^2)).    Por último si tenemos en cuenta que el denominador se trata de una composición de la función exponencial y neperiano, que es, cuanto menos, composición de una función con su inversa, que es 1, resumiendo:

                                        eln e^(x^2) es   x2

    thumb_up1 voto/sflag
    icon

    Carlos Ojeda
    el 31/12/16

    Ah ok, no me dí cuenta, con la de veces que he aplicado esa propiedad. Gracias Fermat


    thumb_up0 voto/sflag
  • icon

    Yonaikel PolMayol
    el 31/12/16

    Tengo una duda unicoos. De probabilidad "Distribución normal con estanderización a Z"
    Ejercicio:

    En la empresa de María y asociados se esta haciendo un estudio de la probabilidad de distirbución normal de cuanto es el peso promedio de los trabajadores, sabiendo que la Media es igual a 59.30 con una desviación típica de 21 se pide:
    A* La probabilidad que los trabajadores pesen más de 75 kg
    B*La probabilidad de que los trabajadores pesen entre 42 y 69kg
    C*La probabilidad de que los trabajadores pesen más de 110kg y menos de 21kg
    D* Probabilidad de que los trabajadores pensen entre 20 y 50kg

    Las respuestas en el mismo orden son:
    A*
    Z= 75 - 59.30 / 21 = 0.75 (Al buscar la tabla de distribución normal y ver dicho valor refleja  "77.34" )
    77.34 - 50= 27.34

    50 - 27.34= 22.66
    Respuesta:22.66
    B*
    Z= 42-59.30 / 21 = 0.82 (Tabla "79.39" )
    79.39 -50 = 29.39
    Z= 69-59.30 / 21 = 0.46 (Tabla "67.72" )
    67.72-50= 17.72
    Respuesta: 29.39-17.72
    C*

    Z= 21-59.30 / 21= -1.82 (Tabla = 46.56)
    50- 46.56= 3.44
    Z=110-59.30 /21 = 2.41 (Tabla= 49.20)
    50- 49.20= 0.80
    Respuesta: 3.44+0.80

    Con esas quisiera verificar si son correctas esas respuestas. Y si pudieras explicar brevemente porque necesariamente le resto el 50
    ( Tal cual lo encontre en un problemario) Espero respuesta. Gracias unicoos y Feliz Navidad n.n_

    replythumb_up0 voto/sflag
    icon

    Antonio Silvio Palmitano
    el 31/12/16

    A. Para X = 75 tenemos:  Z = (X - μ)/σ = (75 - 59,30)/21 ≅ 0,75 (empleamos una tabla con valores de Z negativos y positivos, con probabilidades calculadas desde -infinito hasta el valor de cálculo),

    luego planteamos:

    P( X > 75) = P(Z > 0,75) = 1 - P(Z < 0,75) = empleamos la tabla = 1 - 0,7734 = 0,2266 (lo has resuelto correctamente).


    B. Para X = 42 tenemos:  Z = (X - μ)/σ = (42 - 59,30)/21 ≅ -0,82. Para X = 69 tenemos:  Z = (X - μ)/σ = (69 - 59,30)/21 ≅ 0,46,

    luego planteamos:

    P(42 < X < 69) = P(-0,82 < Z < 0,46) = P(Z < 0,46) - P(Z < -0,82) = empleamos la tabla = 0,6772 - 0,2061 = 0,4711.


    C. Entendemos que interesan trabajadores de dos clases: los que pesan menos de 21 Kg o los que pesa más de 110 Kg.

    Para X = 21 tenemos:  Z = (X - μ)/σ = (21 - 59,30)/21 ≅ -1,82. Para X = 110 tenemos:  Z = (X - μ)/σ = (110 - 59,30)/21 ≅ 2,41,

    luego planteamos:

    P(X < 21 ∨ X > 110) = P(Z < -1,82 ∨ Z > 2,41) = P(Z > 2,41) + P(Z < -1,82) = 1 - P(Z < 2,41) + P(Z < -1,82) = empleamos la tabla =

    = 1 - 0,9920 + 0,0344 = 0,0424.


    D. Para X = 20 tenemos:  Z = (X - μ)/σ = (20 - 59,30)/21 ≅ -1,87. Para X = 50 tenemos:  

    Z = (X - μ)/σ = (50 - 59,30)/21 ≅ -0,44,

    luego planteamos:

    P(20 < X < 50) = P(-1,87 < Z < -0,44) = P(Z < -0,44) - P(Z < -1,87) = empleamos la tabla = 0,3300 - 0,0307 = 0,2993.


    Espero haberte ayudado.

    thumb_up1 voto/sflag