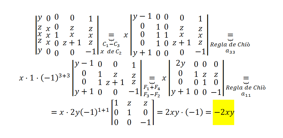
Me pueden ayudar a resolver el siguiente determinante, gracias. pueden ayudar a resolver el siguiente determinante, gracias.
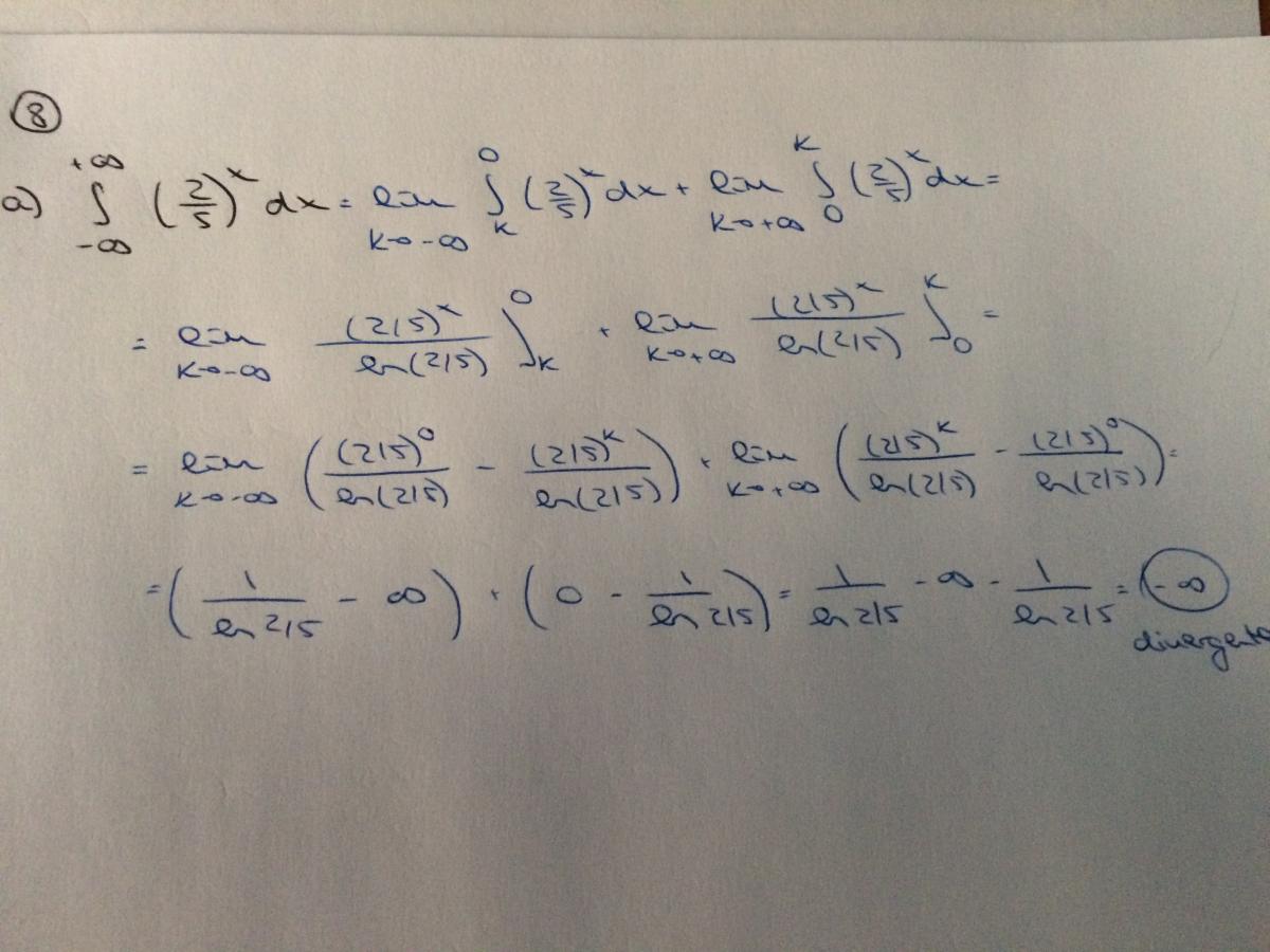
No debías complicar tanto ... !! Sólo había que aplican la regla de Barrow como de costumbre, y en vez de fijar números en los extremos pones variables (mejor pone R en vez de k, para k suele ser un entero) (por ejemplo de -R a R), y los haces tender a infinito !! Y sí, tienes razón en que es divergente, pero es infinito positivo, no infinito negativo, porque la función es positiva. O Sigue la integral, más que sólo como una antiderivada, debes entender como una suma infinita de trapecios con área que tiende a 0 ... !!!
En la tabla ( X : gastos anuales en miles de € y Y : ingresos anuales en miles de €).
a) Determinar el recorrido intercuartilico de los ingresos , para los que gastan entre 5 y 6'5.
b) Analice la concentración de los ingresos para los que gastan entre 5 y 6'5.
C)Analice la independencia de las variables
Hola a todo el mundo, estoy estudiando las Series y me preguntaba si alguien me podria dar una definición (escrita) de sucesión de sumas parciales, por favor.
Gracias de antemano!
Dada una sucesión a (n), su serie es sum {n = 1 to infinity} (a (n)).
Se puede separar en dos partes:
Sumas parciales: fijando n, s (n) = sum {i = 1 to n} ((i)).
Cola: e (n) = sum {m = n + 1 to infinity} (a (m))
Es equivalente decir que la serie es convergente, que la sucesión de sumas parciales tiene límite, y que las colas tienden a 0.
-------------------------COMBINATORIA------------------------
32.- La familia López (compuesta por 10 personas) va de visita a lo de los Férnandez (8 miembros).
Si todos los López le dieron la mano a los Férnandez, ¿Cuántos apretones de manos hubo en total?
- La respuesta es 80, pero deduje por lógica. No se que operación (variación, permutación,combinación)
deberia realizar para llegar al resultado.

Vamos por etapas.
1°)Elegimos al miembro de la familia López que va a saludar, tenemos: C(10,1) = 10! / 1!9! = 10 elecciones posibles.
2°) Por cada elección que hemos hecho, elegimos al miembro de la familia Fernandez que va a saludar, tenemos: C(8,1) = 8! / 1!7! = 8 elecciones posibles.
3°) Finalmente, por el principio de multiplicación tenemos: N = C(10,1)*C(8,1) = 10*8 = 80 saludos entre un miembro de la familia López y un miembro de la familia Fernandez.
Espero haberte ayudado.
Es lo mismo: 4sen(x+2) · cos2x = 3 que 4senx + 2cos2x = 3 ??????
No, ya que en la primera ecuación, el seno se hace sobre (x+2), y no se puede sacar del paréntesis como si estuviese multiplicando a cos2x. Si no estuviese el paréntesis, se podría deducir que el seno se hace sólo sobre la x y que el 2 queda fuera del seno, pudiendo multiplicarse por el coseno. Me expliqué mas o menos? :)