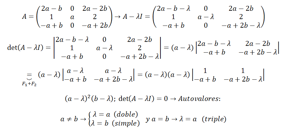
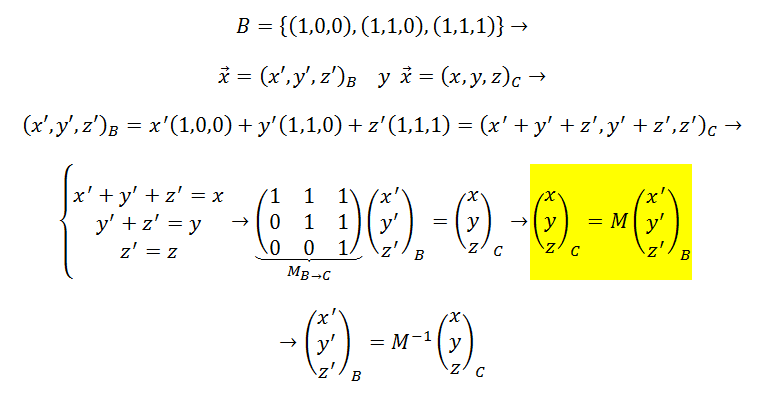
Hola profesor Antonio Benito, tenía una duda con un ejercicio que me resolvió hace unos días, era con la matriz cambio de base. En la fórmula de la matriz cambio de base, las coordenadas respecto de la base B en la matriz A ,y respecto de la base Bc está en la matriz N, ¿no es así? te quería preguntar qué operación hiciste para hallar M, bueno a lo mejor estoy confundido. Gracias
Necesito ayuda con la resolución de estos ejercicios, por favor. Gracias de antemano. Me gustaría que la resolución fuera lo más detallada posible.

Hola Joaquín.
Ambas son ecuaciones que, aplicando un cambio de variable, se resuelve aplicando la ecuación de segundo grado. Aquí tienes un vídeo en el que se aplica al caso más típico. Luego intenta aplicarlo a las dos que propones.
Solo una cosa más, ten cuidado al deshacer el cambio de variable.
Un saludo.
SB!!
Ecuacion bicuadradaNecesito ayuda con la resolución de estos ejercicios, por favor. Gracias de antemano. Me gustaría que la resolución fuera lo más detallada posible.
Buenos días, Joaquín. En el ejercicio e) tendrías que aplicar Ruffini para sacar los factores pertinentes, quedándote factores de primer grado y uno de segundo, al cual tendrás que aplicar la fórmula de ecuaciones de segundo grado para averiguar cuáles son los factores restantes. Yo he realizado la fórmula, ya que si seguía con Ruffini no encontraba raíces enteras, y al hacerla, salía la raíz de un número negativo, con lo cual no se puede realizar en el marco de los número reales. Las factores resultantes son: (X-1)^2 * (X^2 + X+2).
Con respecto al apartado f), habría de aplicar, primeramente, el factor común a la X. Luego, continuarías con la regla de Ruffini hasta conseguir todas las raíces-ya que son enteras-, o si prefieres, la fórmula anteriormente mencionada. Los factores resultantes son: X*(X+1)^2*(X-4)*(X+3).
Espero que haya sido de ayuda. Felices fiestas.
Necesito ayuda con la resolución de estos ejercicios, por favor. Gracias de antemano. Me gustaría que la resolución fuera lo más detallada posible.
Estos ejercicios tienen algo en común, y es que a todos hay que aplicarles la resolución de ecuaciones irracionales. El primer paso a seguir es aislar una raíz en un miembro. Segundo, elevar al cuadrado ambos miembros, operar y reducir términos. Si aun así sigue habiendo raíces, se aplicaría los pasos anteriores tantas veces como sea necesario hasta no tener ninguna. Finalmente, se agrupan los términos de igual grado y se determina la X.
Pd: suelen aparecer identidades notables al elevar al cuadrado.
Saludos.

Tienes la ecuación logarítmica en base decimal:
2log(5) + log(2x-3) = 2, aplicamos la propiedad del logaritmo de una potencia en el primer término y queda:
log(52) + log(2x-3) = 2, resolvemos el argumento en el primer término, aplicamos la propiedad del logaritmo de un producto y queda:
log( 25(2x-3) ) = 2, componemos en ambos miembros por la función inversa del logaritmo decimal y queda:
25(2x-3) = 102, distribuimos y resolvemos términos y queda:
50x - 75 = 100, hacemos pasaje de término y queda:
50x = 175, hacemos pasaje de factor como divisor y llegamos a:
x = 7/2 = 3,5..

Recuerda la expresión del volumen para un cilindro circular recto: V = πd2h/4,
donde indicamos la longitud del diámetro con d, y longitud de la altura (o generatriz) con h.
Luego, calculamos los volúmenes de cada cilindro por separado, para luego restarlos.
V1 = π*182*20/4 = 6480π/4 cm3 = 1620π cm3.
V2 = π*122*20/4 = 2880π/4 cm3 = 720π cm3.
Luego, el volumen comprendido entre ambos cilindros queda:
ΔV = V1 - V2 = 1620π - 720π = 900π cm3.
Espero haberte ayudado.
Ayuda con este otro ejercicio.Saludos cordiales. Gracias de antemano. Lo necesitaría lo más detallado posible.

Vamos con tus ejercicios, y en ambos estudiamos el numerador y el denominador pos separado, para luego simplificar.
Debes tener en cuenta la descomposición de números naturales en factores primos, las propiedades del producto y de la división de potencias con bases iguales, y la propiedad de una potencia cuya base es otra potencia.
e) Tienes:
N = 81x+1*9x = (34)x+1*(32)x = 34(x+1)*32x = 34x+4*32x = 34x+4+2x = 36x+4
D = 32x-3*34x = 32x-3+4x = 36x-3
luego pasamos a la expresión del enunciado:
N/D = 81x+1*9x / 32x-3*34x = 36x+4 / 36x-3 = 36x+4-(6x-3)= 36x+4-6x+3 = 37
f) Tienes:
N = (3x+1)2*9-x = 32(x+1)*(32)-x = 32x+2*32(-x) = 32x+2*3-2x = 32x+2-2x = 32.
D = 81-x+1*32x = (34)-x+1*32x = 34(-x+1)*32x = 3-4x+4*32x = 3-4x+4+2x = 3-2x+4
luego pasamos a la expresión del enunciado:
N/D = (3x+1)2*9-x / 81-x+1*32x = 32 / 3-2x+4 = 32-(-2x+4) = 32+2x-4= 32x-2
Espero haberte ayudado.