Podeis ayudarme? Gracias
Actividad 2:
Calcular las ecuaciones paramétricas, general, punto pendiente y explicita de la recta que pasa por los puntos P(2,3) y Q(3,-3)
(2 puntos)
Actividad 3:
El triángulo ABC tiene por vértices A(–1, –2), B(3, 6) y C(6, 0). Calcula:
a) Las longitudes de sus lados.
b) La medida del ángulo A.
c) El área del triángulo.
(3 puntos uno cada apartado)

Puedes plantear la sustitución (cambio de variable):
w = x4 + 2, de donde tienes: dw = 4x3dx, de donde puedes despejar: (1/4)dw = x3dx, luego sustituyes y la integral queda:
I = ∫ x3cos(x4 + 2) dx = sustituyes = ∫ cos(w)(1/4)dw = (1/4) sen(w) + C = (1/4) sen(x4 + 2) + C.
Espero haberte ayudado.
Hola estoy un poco despistado con esta ecuación matricial. Al tener las dos X
XA-2B=X
El desarrollo si se hacerlo
Gracias de antemano Un saludo
Me gusta mucho tu canal

Primero, observa que podemos escribir en el segundo miembro (entendemos que las matrices son cuadradas, y llamamos I a la matriz identidad):
XA - 2B = XI, hacemos pasajes de términos y queda:
XA - XI = 2B, extraemos factor común izquierdo en el primer miembro y queda:
X(A - I) = 2B, luego tenemos dos opciones:
a) Si la matriz A - I es invertible, multiplicamos por derecha por su inversa en ambos miembros y queda:
X(A - I)(A - I)-1 = 2B(A - I)-1, resolvemos el producto de matrices inversas en el primer miembro y queda:
XI = 2B(A - I)-1, resolvemos el primer miembro y queda:
X = 2B(A - I)-1.
b) Si la matriz A - I no es invertible, se debe plantear una matriz X con elementos genéricos, efectuar las operaciones y resolver el sistema de ecuaciones que queda al comparar matrices elemento a elemento.
Espero haberte ayudado.
Optimizacion 2º Bachillerato
Sea ABCD un rectángulo de perímetro constante, igual a 4cm. Tomando cada lado como diámetro se dibujan cuatro semicírculos. Halla el mínimo de la superficie resultante al añadir al rectángulo esos semicírculos.

Llamamos x a la longitud del lado más largo del rectángulo, y llamamos y a la longitud del lado más corto.
Luego, tenemos a partir del perímetro: 2x + 2y = 4, dividimos por 2 en todos los términos de la ecuación y queda: x + y = 2 (1).
Luego, observa que agregamos cuatro semicírculos, dos de diámetro x y dos de diámetro y, que que constituyen dos círculos completos, uno de diámetro x y otro de diámetro y, cuyas áreas son: (π/4)x2 y (π/4)y2 respectivamente.
Luego, el área total queda:
A = xy + (π/4)x2 (π/4)y2 , luego despejamos y en la ecuación señalada (1), sustituimos y queda:
A(x) = x(2 - x) + (π/4)x2 + (π/4)(2 - x)2, que es uaa función continua y derivable,
cuyo dominio es el intervalo: D = (0,2).
Luego planteamos la derivada primera:
A ' (x) = 1(2 - x) + x(-1) + (π/2)x + (π/2)(2 - x)(-1) = 2 - x - x + (π/2)x - π + (π/2)x =
= (2 - π) + (- 2 + π)x.
Luego planteamos la derivada segunda:
A ' ' (x) = - 2 + π ≅ 1,14159 > 0.
Luego planteamos la condición de punto crítico (posible máximo o posible mínimo):
A ' (x) = 0, sustituimos y queda:
(2 - π) + (- 2 + π)x = 0, hacemos pasajes de términos y queda:
(- 2 + π)x = - 2 + π, hacemos pasaje de factor como divisor y queda:
x = (- 2 + π)/(- 2 + π) = 1, evaluamos en la derivada segunda y queda:
A ' ' (1) = -2 + π > 0, por lo que la gráfica de la función es cóncava hacia arriba en el punto crítico, por lo que concluimos que la función presenta un mínimo para x = 1cm, luego reemplazamos y despejamos en la ecuación señalada (1) y queda: y = 1cm (observa que el rectángulo resultó ser un cuadrado).
Luego, evaluamos en la expresión del área y queda:
A = 1*1 + (π/4)*12 + (π/4)*12 = 1 + π/4 + π/4 = 1 + π/2.
Espero haberte ayudado

Observa que los triángulos ACE y BCD son semejantes, por lo que las longitudes de sus lados correspondientes son proporcionales:
|AC|/|BC| = |CE|/|CD| = |AE|/|BD|, reemplazamos a partir del enunciado y queda:
|AC|/|BC| = |CE|/4 = 5/3, luego podemos despejar a partir de la ecuación remarcada:
|CE| = 20/3 (1).
Luego, observa que podemos plantear:
|CE| = |CD| + |DE|, reemplazamos a parir de la igualdad señalada (1) y a partir del enunciado y queda:
20/3 = 4 + |DE|, hacemos pasaje de término y llegamos a:
8/3 = |DE|.
Espero haberte ayudado.
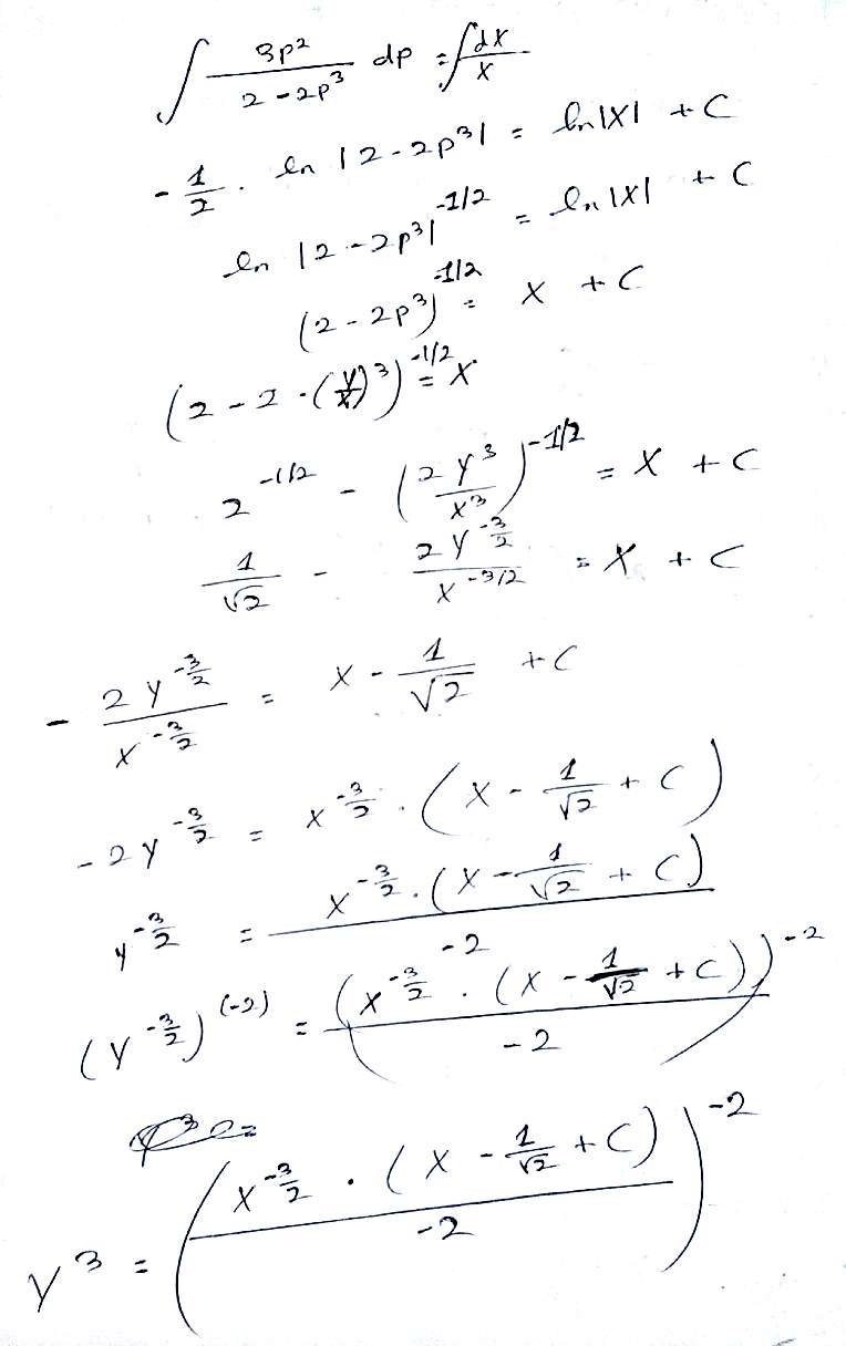
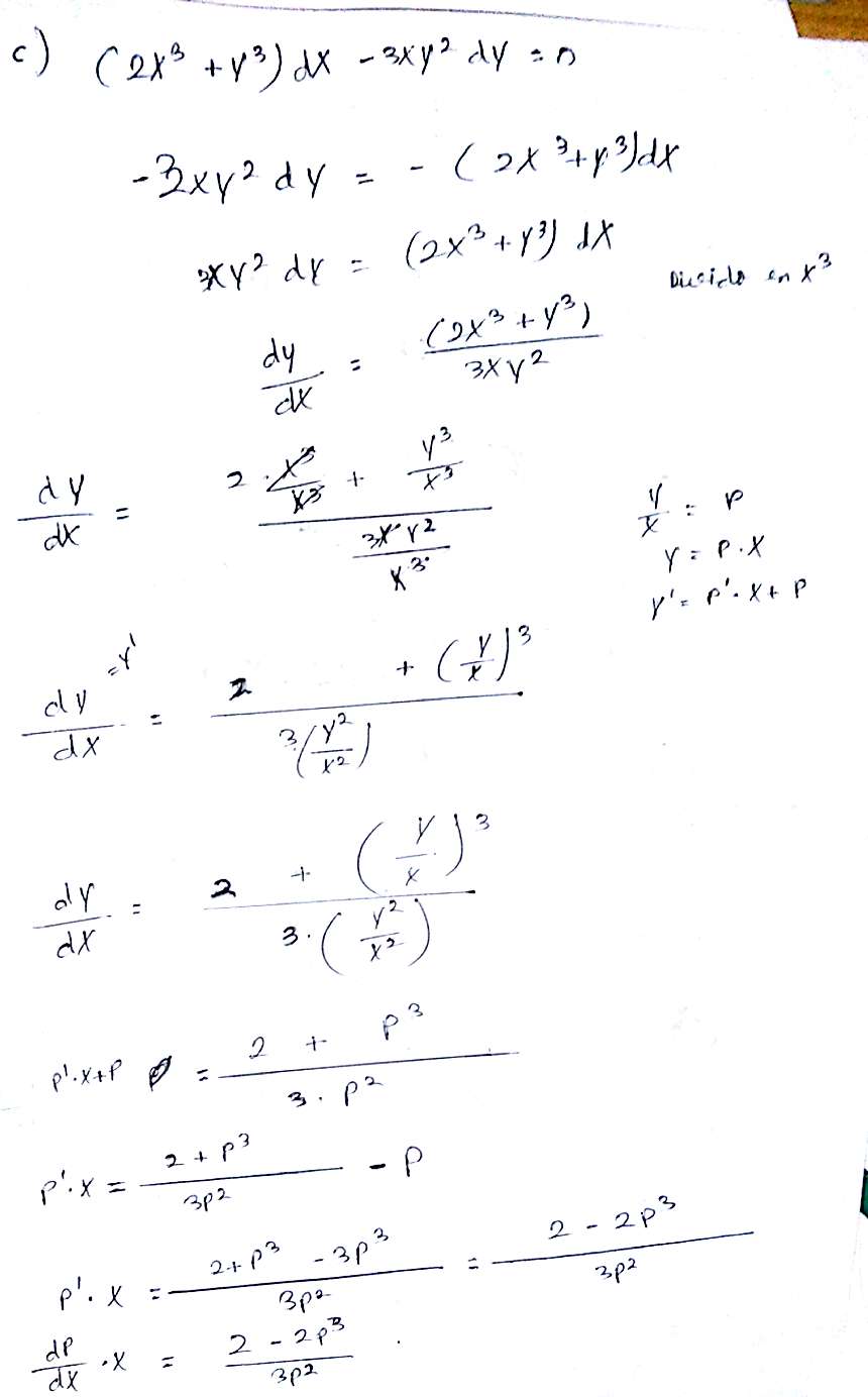
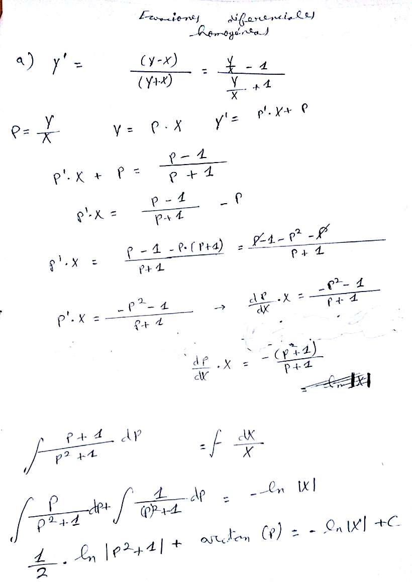
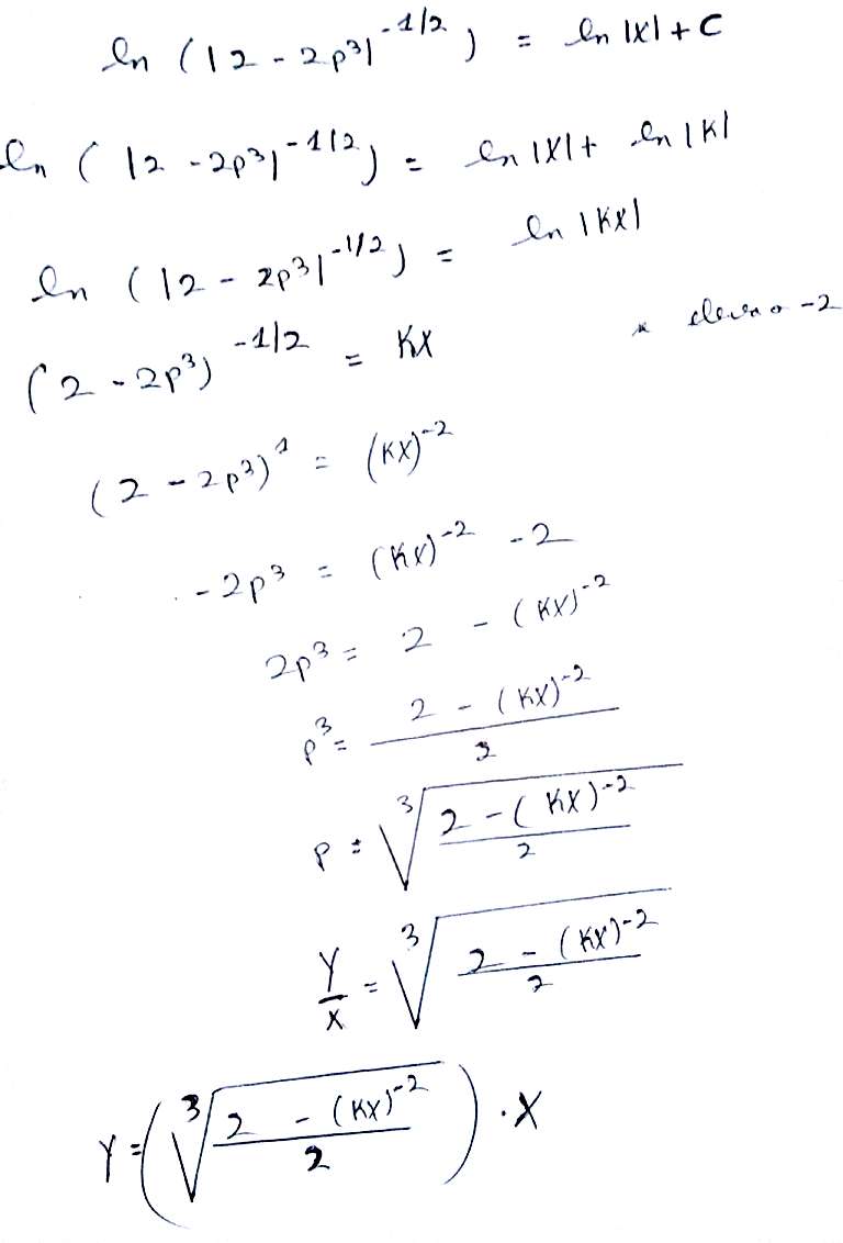
Hola, ¿resuelvo bien esta ecuación diferencial homogénea? Gracias
Página 1:
Página 2:
Página 3 con la solución final:

Vas muy bien hasta que llegas a la ecuación:
ln( |2-2p3|-1/2 ) = ln|x| + C,
luego, como C es una constante arbitraria, la escribimos: C = ln|K|, sustituimos y queda:
ln( |2-2p3|-1/2 ) = ln|x| + ln|K|, aplicamos la propiedad del logaritmos de un producto en el segundo miembro y queda:
ln( |2-2p3|-1/2 ) = ln|Kx|, luego comparamos argumentos de los logaritmos y queda:
(2-2p3)-1/2 = Kx, elevamos a la -2 en ambos miembros y queda (observa que K-2 = L es otra constante arbitraria):
2 - 2p3 = Lx-2, y puedes continuar con la tarea y. si te resulta necesario, no dudes en volver a consultar.
Espero haberte ayudado.
estoy haciendo el 12 y no entiendo porque hay que estudiar el 0 el menos 1 y uno si porque anulan el denominador de la función pero el cero?

Porque el cero es el punto de corte con el eje x... Si x=0, entonces f(x) es igual a 0..
Y tambien , por supuesto, porque debes derivar e igualar a cero la derivada para obtener los posibles maximos y minimos.. y te sorprenderá el resultado, te sugiero lo intentes..
Echale un vistazo a este video...
---------------------------------------------------------------------------------------COMBINATORIA---------------------------------------------------------------------------------------------------------
29.- En un sorteo se debe formar una un grupo de 12 números donde puedes elegir desde el 0 al 9.
Sabiendo que solo 2 números pueden repetirse y que no importa el orden, calcule la cantidad de posibilidades para formar el grupo