----------------------------------------Combinatoria-----------------------------------------------
Pregunta teórica: Que tipo de operación tendría que realizar si tuviera un ejercicio en donde:
-Si entran todos los elementos.
-No importa el orden.
Por lo que tengo entendido, tanto en variaciones como permutaciones importa el orden, en cambio en las combinaciones no importa, pero en ellas no entran todos los elementos.

Observa que si tienes una población de n elementos distintos, y debes seleccionarlos a todos y sin orden, tienes una sola opción, que es elegirlos a todos:
C(n,n) = n! / n!(n-n)! = n! / n!*0! = 1/0! = 1/1 = 1.
Por ejemplo: elegimos cinco elementos, sin orden y sin repetición, del conjunto de las letras vocales castellanas: {a, e, i, o, u], y tenemos una elección posible solamente:
a, e, i, o, u.
Espero haberte ayudado.
¿Por qué su resultado es 0, si siempre dicen que cuando los denominadores son iguales, el denominador se queda en ese mismo número? Es decir, igual que este ejercicio:
(1/2 + 1/3) - 5/6= (3+2/6) - 5/6 = 5/6 - 5/6 = ¿0?
¿Por qué no 0/6? ¿Ó 1, que respresente la unidad entera de algo?
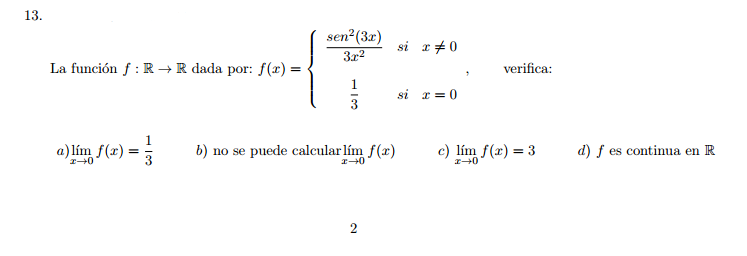
¿Alguien me puede decir como se realiza esta ejercicio simple de continuidad? Creo que es bastante básico, pero la manera en la que está definida la función me despista.
Muchas gracias.

Observa que tratas con una función a trozos, con un valor especial para x = 0, luego, cuando planteas el límite para x tendiendo a cero de la función tienes:
Lím(x→0) f(x) = Lím(x→0) sen2(3x)/(3x2) = multiplicamos por 3 en el numerador y el denominador:
= Lím(x→0) 3sen2(3x)/(9x2) = extraemos el factor constante:
= 3Lím(x→0) sen2(3x)/(9x2) = escribimos el denominador como una potencia:
= 3Lím(x→0) sen2(3x)/(3x)2 = asociamos potencias:
= 3Lím(x→0) ( sen(3x)/(3x) )2 = aplicamos la propiedad del límite de una potencia:
= 3( Lím(x→0) sen(3x)/(3x) )2 = resolvemos el limite trascendente (observa que 3x tiende a cero cuando x tiende a cero):
= 3(1)2 = 3*1 = 3.
Luego, concluimos que la respuesta correcta es la opción (c),
y que la función es discontinua de tipo evitable (o no esencial) en x = 0.
Espero haberte ayudado.
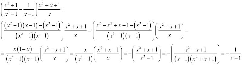
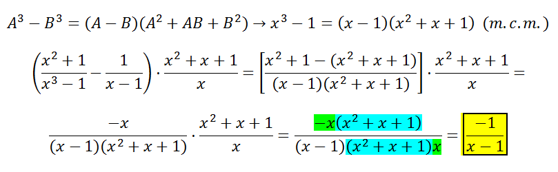
¿Me podrían decir si hice bien el ejercicio?
En una práctica hice esto y me lo dieron por mal y no consigo encontrar el error...
¡Gracias!

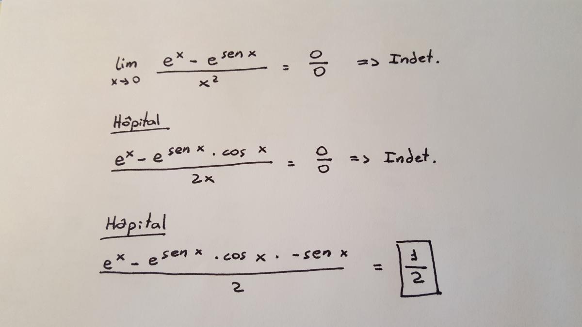
Observa que el numerador de la expresión es:
N = ex - esenx, su derivada primera queda: N ' = ex - esenxcosx, y su derivada segunda queda (atención ahora: observa que en el segundo término tenemos un producto);
N ' ' = ex - esenxcosxcosx + exsenx = ex - esenxcos2x + esenxsenx.
Observa que el denominador de la expresión es:
D = x2, cuya derivada primera queda: D ' = 2x, y su derivada segunda queda: D ' ' = 2.
Luego, aplicas la Regla de L'Hopital dos veces, como has planteado, queda:
Lím(x→0) N/D = Lím(x→0) N ' / D ' = Lím(x→0) N ' ' / D ' ' = Lím(x→0) (ex - esenxcos2x + esenxsenx)/2 = (1 - 1 + 0)/2 = 0/2 = 0.
Espero haberte ayudado.

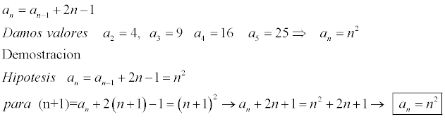
Vamos a investigar cuáles son los primeros elementos de la sucesión, a partir del primer elemento y de la fórmula recursiva del enunciado:
a1 = 1 = 12
a2 = 1 + 3 = 4 = 22
a3 = 4 + 5 = 9 = 32
a4 = 9 + 7 = 16 = 42
luego proponemos que el elemento general queda expresado en forma explícita:
an = n2, con n ∈ N y n ≥ 1.
Luego, pasamos a la prueba por inducción:
1°) P(1): a1 = 1 = 12 es Verdadera.
2°) P(h): ah = h2, que aceptamos como Verdadera (hipótesis inductiva).
3°) P(h+1): ah+1 = (h + 1)2 que debemos demostrar que es Verdadera (tesis inductiva).
Demostramos:
ah+1 =
aplicamos la fórmula recursiva del enunciado:
= ah + 2(h + 1) - 1 = aplicamos la hipótesis inductiva:
= h2 + 2(h + 1) - 1 = distribuimos el segundo término:
= h2 + 2h + 2 - 1 = reducimos términos semejantes:
= h2 + 2h + 1 = factorizamos (observa que tenemos un trinomio cuadrado perfecto):
= (h + 1)2,
por lo que concluimos que la tesis inductiva es Verdadera.
Espero haberte ayudado.
Hola buenas tardes, alguien me podría ayudar con tipología, me custa mucho saber si un punto es de acumulación, aislado, adherente , si esta acotado o si no , si tiene máximo y minimo o si tiene ínfimo o supremo.
Estoy desesperado, me se toda la de topología, pero la práctica no me la han explicado.Me vale cualquier apunte con algun ejemplo de cada explicado que sea lo mas mas simple posible para irme aclarando hasta lo más complejo, para dominar lo bien.
Muchísimas gracias