SOBRE LA MEDIANA DE UNA VARIABLE CONTINUA (INTERVALOS)
----------------------------------------------------------------------------------------------------------
Para aplicar la fórmula Me=L¡-1+ni+1/((ni-1)+(n¡+1))·ci
¿Qué ocurre si obtengo el primer o el último intervalo de la tabla? Qué valor pongo en ni-1?
He puesto 0 y el resultado no pertenece al intervalo que correspondía ¿Es normal?
No entiendo a que te refieres con que ocurre si obtienes primer y ultimo intervalo de la tabla, sin embargo aqui tengo otra forma de mirar esa formula Me=Li+(n/2-Ni-1)*ai/ni
Donde el Ni-1 es frecuencia absoluta acumulada de los intervalos al medio menos uno, por ejemplo tienes una tabla entre
fi Fi
1-2 2 2
2-3 3 5
3-4 4 9
en total hay 9 datos los cuales tienes que dividir por 2 y te da 4,5 donde esta el primer numero que supera el 4,5 en la Fi? pues los intervalos 2-3 de hay empiezas a trabajar la formula y quedaría
Me=2+(4,5-2)*1/3
¿Dónde lo estoy haciendo mal y por qué?
(5 - 3/4) + (7/8 - 1/2)=
Yo lo hago así...
(20-3/4) + (14-18/16)= (17/4) + (6/16)= 172+24/64= 196/64= 49/16

Vamos con cada grupo de términos por separado:
5 - 3/4 = (20 - 3)4 = 17/4 (hasta aquí has resuelto correctamente);
7/8 - 1/2 = (7 - 4)/8 = 3/8 (aquí debes corregir: observa que 1/2 = 4/8).
Luego reemplazamos y queda:
(5 - 3/4) + (7/8 - 1/2) = 17/4 + 3/8 = (34 + 3)/8 = 37/8 (observa que 17/4 = 34/8).
Espero haberte ayudado.

Me encantaría ayudarte, pero no respondo dudas universitarias que no tengan que ver específicamente con los videos que ya he grabado como excepcion. O de otras asignaturas que no sean matemáticas, física y química. Lo siento de corazón… Espero lo entiendas
Ojalá algun unicoo universitario se anime a ayudarte (de hecho lo ideal es que todos los universitarios intentarais ayudaros los unos a los otros)
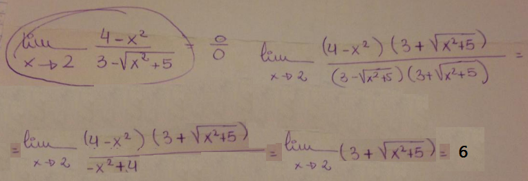
Hola Unicoos. Aquí andamos con limites indeterminados y tengo un problemilla con uno de ello, os mando lo que he hecho y hasta donde he llegado a ver si podéis ayudarme a terminarlo, ya que no encuentro la manera de terminar con la indeterminación. ![]()
Otra forma, sin derivar:
1er paso) Multiplicas numerador y denominador por el conjugado (tenemos indeterminación 0/0)
2º paso) Aplicas la propiedad en el denominador de "suma por diferencia, diferencia de cuadrados" (tenemos 0/0)
3er paso) Eliminas elementos comunes de denominador y numerador (seguimos teniendo 0/0)
4º paso) Ya puedes sustituir la x por 2 sin dar lugar a una indeterminación
Hola!! Soy estudiante de Grado en Tecnologias de la Información.
Tengo la física y las mates “oxidadas” desde hace años, con lo que te imaginarás todo lo que me tengo que estar poníendome al día…
Aunque he repasado muchos de los prerequisitos… Hay “cosillas” que se me escapan y lo peor es que no se donde buscar….. Te paso una de esos “problemillas” que me he encontrado y que me tienen atascada…..
Veamos….En el siguiente prisma triangular….

En la solución del problema deducen que que el angulo θ es (90-α) … Pero NO soy capaz de entenderlo,
Supongo que será por semejanza de triángulos… Pero por más vueltas que le doy, y más que busco… no consigo deducirlo.
Confío en que puedas aclararme esta duda.
Un saludo y Gracias
Carmen
Hola Carmen. A ver si así me puedes entender que explicar así esto vía texto y sin poder señalar el dibujo es algo complicado.
Viendo los ángulos α y θ desde un punto de vista frontal, vemos lo que tenemos en la imagen.
Vemos que ambos ángulos se apoyan sobre la horizontal y que las otras dos rectas que forman cada ángulo (la pendiente del talud y dA) son perpendiculares.
Sabemos que si trazamos la perpendicular a las dos rectas que forman el ángulo α, seguimos teniendo el ángulo α.
Por todo esto tenemos que el nuevo α y θ, son complementarios, es decir, los dos suman 90º.
Espero haberme sabido explicar.
Saludos.
1000 Gracias!!!. Ya lo he visto!.
Aunque he visto el video de David explicando la reduccion al primer cuadrante... Claro no conseguia verlo aquí, lógicamente no me acordaba de la propiedad de que dos rectas perpendiculares a un ángulo también forman el mismo ángulo.
Te has sabido explicar perfectamente.
Un saludo.
buenas, amigos podrian ayudarme en este ejercicio. el ejrcicio esta en
boligrafo, lo que esta en lapiz es dibujado por mi. espero que puedan
ayudarme. la respuesta del ejercicio es Wneto=200j. les doy este dato:
cos53°=3/5 y sen53°=4/5 esto lo use para calcular las componente de laf
uerza donde se encuentra el angulo. esperoq ue les sirva.![]()

Como el bloque se desplaza hacia la izquierda, consideremos como positiva la dirección horizontal hacia la izquierda. Luego, determinamos para cada una de las fuerzas que están aplicadas sobre el bloque cuáles son sus ángulos de inclinación con respecto a la dirección horizontal positiva, para determinar cuáles son sus componentes en la dirección de movimiento:
|F1| = 20N, α1 = 0°, y su trabajo: W1 = 20N*cos0°*10m = 200J
|F2| = 200N, α2 = 53°, y su trabajo: W2 = 200N*cos53°*10m = 1200J
|F3| = 80N, α3 = 90°, y su trabajo: W3 = 80N*cos90°*10m = 0J
|F4| = 120N, α4 = 180°, y su trabajo: W4 = 120N*cos180°*10m = - 1200J
Luego planteamos la expresión del trabajo neto:
Wneto = W1 + W2 + W3 + W4 = (200 + 1200 + 0 - 1200)J = 200J.
Espero haberte ayudado.

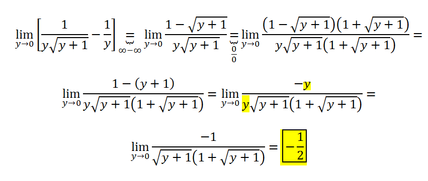
Observa que cuando x tiende a cero por la izquierda, tienes que x toma valores negativos, por lo que su valor absoluto queda: |x| = -x, luego puedes sustituir y queda:
Lím(x→0-) (1/x - 1/|x|) = Lím(x→0-) ( 1/x - 1/(-x) ) = Lím(x→0-) (1/x + 1/x) = Lím(x→0-) (2/x) = - ∞.
Observa que cuando x tiende a cero por la derecha, tienes que x toma valores positivos, por lo que su valor absoluto queda: |x| = x, luego puedes sustituir y queda:
Lím(x→0+) (1/x - 1/|x|) = Lím(x→0+) ( 1/x - 1/x ) = Lím(x→0-) (0) = 0.
Espero haberte ayudado.