
Tienes la función lineal de variable compleja:
f(z) = - iz + i + 1
luego, como el centro de giro es invariante, para calcularlo planteamos:
f(z) = z, sustituimos y queda:
- iz + i + 1 = z, hacemos pasajes de términos y queda:
- iz - z = - 1 - i, multiplicamos en todos los términos de la ecuación por -1 y queda:
iz + z = 1 + i, ordenamos y extraemos factor común en el primer miembro y queda:
z(1 + i) = 1 + i, haces pasaje de factor como divisor y queda:
z = (1 + i)/(1 + i), resolvemos y queda:
z = 1, por lo que concluimos que el centro de giro es: z0 = 1.
Luego, para visualizar el ángulo de giro, debes expresar al coeficiente del término lineal en la expresión de la función.
Tenemos:
f(z) = -iz + 1 + i
el coeficiente del término lineal es:
a = - i, cuyo módulo es 1 y su argumento es 3π/2, por lo que el ángulo de giro es:
θ = - π/2.
Espero haberte ayudado.
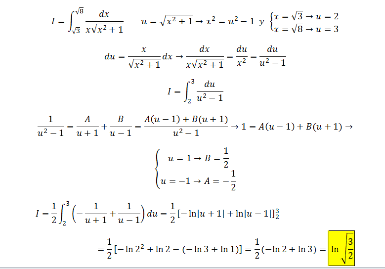
Hola unicoos tengo una duda para hacer esta integral, con un cmabio de variable sugerido pero no se como continuar poruqe no me queda lo que deberia darme (log(3/2)
Holaaaa... No me pongan flags porfa :'(
Es un problema que me tiene pensando toda la mañana, el 7, es de Geometría Analítica... Se que alguien me puede ayudar aquí! Son estos ambos problemas, la verdad, ninguno se bien como resolver... PORFA AYUDAAAA
Lo dibujé, intenté con distancia tambien hallando los angulos, pero nada sirve, y ya no se como podría resolverlos :'( PLZ HELP
7- Averiguar si los puntos M(2; - 1; 1)
y N(1; 2; - 3) están en un mismo ángulo diedro, en ángulos
diedros adyacentes ó en ángulos diedros opuestos, formados por los planos:
2 x - y + 5 z - 1 = 0
y 3 x - 2 y + 6 z - 1 = 0
8- Averiguar si el
punto M(3; 2; - 1) está situado en el ángulo agudo ó en el ángulo obtuso formado por
los planos: 5 x - y + z + 3 =
0 ; 4 x - 3 y + 2 z + 5 = 0

Lo siento pero tu duda no es preuniversitaria (de hecho, para serte sincero es la primera vez que veo un ejercicio de este tipo)...
No te agobies por los flags, de verdad, que no son para que os sintáis culpables. Solo están ahí para que otros unicoos sepan cual es el funcionamiento de los foros y que entiendan que pueden o no hacer.
Besos!