Hola buenas noches, alguien me podría ayudar con este ejercicio que no me sale .
Estoy atascados.Muchísimas gracias.
Calcular el punto de interior, adherencia y acumulación de:
Muchas gracias, me podría hacer un gran favor y pasarme unos apuntes que tenga usted o recomendarme un buen libro de esto.Esque los mios son muy malos y usted explica tan bien que si usted tuviera unos apuntes de todo esto de topología de puntos interiores, adherentes y etc y si me los pasará, se lo agradezería mucho.
Hola unicoos,
Os voy a plantear dos dudas que me han surgido, a ver si podéis ayudarme:
Primera duda:
¿cómo se calcula un valor absoluto dentro de otro valor absoluto?
Tengo que estudiar la continuidad y derivabilidad de la siguiente función, pero no sé como sacar la función a trozos que me quedaría de:
Por otro lado, he tratado de resolver el ejercicio sin el valor absoluto de x:
Ya he obtenido la continuidad, pero al ver si es derivable encuentro un problema:
Cuando x tiende a 1 por la izquierda, el límite me quedaría (adjunto la duda en la imagen):

Vamos con tu primera consulta.
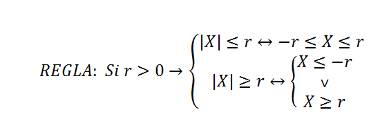
Analicemos la expresión del argumento de la raíz cuadrada:
A = | |x| - 1 |, luego tenemos dos opciones:
Observa que para el primer valor absoluto, tenemos dos opciones:
1) A = |x| - 1, si |x| - 1 ≥ 0,
2) A = - ( |x| - 1 ) = - |x| + 1, si |x| - 1 < 0.
Luego pasamos a estudiar las dos opciones por separado.
1) Si |x| - 1 ≥ 0, hacemos pasaje de término y queda: |x| ≥ 1, que nos conduce al intervalo: I1 = (-inf,-1] u [1,+inf), luego:
a) para el primer subintervalo (observa que x toma valores negativos), la expresión queda: A = - x - 1 (1);
b) para el segundo subintervalo (observa que x toma valores positivos), la expresión queda: A = x - 1 (2).
2) Si |x| - 1 < 0, hacemos pasaje de término y queda: |x| < 1, que nos conduce al intervalo: I2 = (-1,1) = (-1,0) u [0,1), luego:
a) para el primer subintervalo (observa que x toma valores negativos), la expresión queda: A = - (- x) + 1 = x + 1 (3);
b) para el segundo subintervalo (observa que x toma valores positivos), la expresión queda: A = - x + 1 (4).
Luego, la expresión de la función queda:
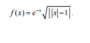
f(x) = e-x√( | |x| | - 1 ) =
e-x√( - x - 1 ) si x ∈ (-inf,-1] a partir de la opción señalada (1)
e-x√( x - 1 ) si x ∈ [1,+inf) a partir de la opción señalada (2)
e-x√( x + 1 ) si x ∈ (-1,0) a partir de la opción señalada (3)
e-x√( - x + 1 ) si x ∈ [0,1) a partir de la opción señalada (4)
Espero haberte ayudado.

Consideramos que en el numerador de la expresión de la función tenemos una producto entre e y la raíz cuadrada de la expresión.
Observa que el dominio de la función es: D = R - {0}.
Observa que tenemos dos opciones, a partir de la definición de valor absoluto:
1) Si x - 1 ≥ 0, hacemos pasaje de término y queda: x ≥ 1, que corresponde al intervalo: [1,+inf), el argumento de la raíz queda: |x - 1| = x - 1 (1).
2) Si x - 1 < 0, hacemos pasaje de término y queda: x < 1, que corresponde al intervalo: (-inf,0) u (0,1) (2).el argumento de la raíz queda: |x - 1| = -(x - 1) = - x + 1 (2).
Luego, la expresión de la función queda:
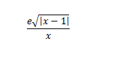
f(x) = e √( |x - 1| ) =
e √( x - 1 ) si x ∈ [1,+inf) a partir de la opción señalada (1)
e √( -x + 1 ) si x ∈ (-inf, 0) u (0,1) a partir de la opción señalada (2)
Luego, y tal cuál señalas en tu trabajo, el punto x = 1 es un punto de corte, por lo que debemos plantear por definición la derivabilidad:
f ' (1) = Lím(x→1) ( f(x) - f(1) ) / (x - 1) = reemplazamos f(1) = Lím(x→1) ( f(x) - 0 ) / (x - 1) = Lím(x→1) ( f(x) ) / (x - 1) ,
luego planteamos las derivadas laterales:
f+' (1) = Lím(x→1+) ( e √( x - 1 ) ) / (x - 1) = e Lím(x→1+) ( ( x - 1 )1/2 ) / (x - 1)1 = e Lím(x→1+) ( ( x - 1 )-1/2 ) = e Lím(x→1+) ( 1/( x - 1 )1/2 ) = + infinito;
f- ' (1) = Lím(x→1-) ( e √( - x + 1 ) ) / (x - 1) = e Lím(x→1-) ( ( -x + 1 )1/2 ) / (-1)(-x + 1)1 = e/(-1) Lím(x→1-) ( ( -x + 1 )-1/2 ) = - e Lím(x→1+) ( 1/( -x + 1 )1/2 ) = - infinito.
Por lo tanto, concluimos que la función no es derivable en x = 1, y que tampoco admite derivadas laterales en x = 1.
Y si en la expresión de la función tienes una raíz de índice e en el numerador, tenemos:
f(x ) = e√( |x - 1| ) =
e√( x - 1 ) si x ∈ [1,+inf) a partir de la opción señalada (1)
e√( - x + 1 ) si x ∈ (-inf, 0) u (0,1) a partir de la opción señalada (2)
Luego, y tal cuál señalas en tu trabajo, el punto x = 1 es un punto de corte, por lo que debemos plantear por definición la derivabilidad:
f ' (1) = Lím(x→1) ( f(x) - f(1) ) / (x - 1) = reemplazamos f(1) = Lím(x→1) ( f(x) - 0 ) / (x - 1) = Lím(x→1) ( f(x) ) / (x - 1) ,
luego planteamos las derivadas laterales:
f+' (1) = Lím(x→1+) ( e√( x - 1 ) / (x - 1) = Lím(x→1+) ( ( x - 1 )1/e ) / (x - 1)1 = Lím(x→1+) ( ( x - 1 )1/e-1 ) = Lím(x→1+) ( 1/( x - 1 )-1/e+1 ) = + infinito;
f- ' (1) = Lím(x→1-) ( e√( -x + 1 ) / (x - 1) = Lím(x→1-) ( ( -x + 1 )1/e ) / (-1)(-x + 1)1 = 1/(-1) Lím(x→1-) ( ( -x + 1 )1/e-1 ) = - Lím(x→1+) ( 1/( -x + 1 )-1/e+1 ) = - infinito.
Por lo tanto, concluimos que la función no es derivable en x = 1, y que tampoco admite derivadas laterales en x = 1.
Espero haberte ayudado.
Me podrias ayudar a resolver esta ecuacion trigonometrica?
(cos (x))^2)/(2*cos(x) + sen (x)) = sen (x)
Muchisimas gracias.

Haces pasaje de divisor como factor y queda:
co2x = senx(2*cosx + senx), distribuyes en el segundo miembro y queda:
co2x = 2*senx*cosx + sen2x, haces pasaje de término y queda:
co2x - sen2x = 2*senx*cosx,
observa que en el primer miembro tenemos cos(2x), en el segundo tenemos: sen(2x), sustituimos y queda:
cos(2x) = sen(2x), haces pasaje de factor como divisor y queda:
1 = sen(2x) / cos(2x), observa que en el segundo miembro tenemos tan(2x), sustituimos y queda:
1 = tan(2x),
luego componemos con la función inversa de la tangente y tenemos dos opciones, una en el primer cuadrante y otra en el tercer cuadrante:
a) 2x = 45° + 360°*k, con k ∈ Z, dividimos por 2 en todos los términos de la ecuación y queda:
x = 22,5° + 180°*k, con k ∈ Z.
b) 2x = 225° + 360°*k, con k ∈ Z, dividimos por 2 en todos los términos de la ecuación y queda:
x = 112,5° + 180°*k, con k ∈ Z.
Espero haberte ayudado.
----------------COMBINATORIA--------------
¿De cuántas formas pueden ordenarse las letras de la palabra MURCIÉLAGO de modo que se mantenga el orden en que aparecen las vocales?

Observa que la palabra tiene diez letras, y que todas son distintas.
Luego, tenemos:
1) Elegimos los lugares en que se ubican las vocales, y tenemos: C(10,5) = 10! / 5!5! = 252 posibilidades.
2) Colocamos las vocales en los lugares elegidos: observa que tenemos una sola posibilidad para ordenarlas: UIEAO.
3) Colocamos las consonantes en los lugares que faltan ocupar y tenemos: P(5) = 5! = 120 posibilidades.
Luego, por el principio de multiplicación tenemos:
N = 252*1*120 = 30240 posibilidades (maneras) de ordenar las letras con la condición indicada en el enunciado.
Espero haberte ayudado.
No consigo resolver este problema, me podrían ayudar? Muchas gracias.
-Se quiere calcular la altura de una colina situada al borde del mar. Si colocamos un poste de 10 m sobre su punto más alto, desde un punto de la orilla del mar, se observan los vértices inferior y superior del poste bajo ángulos de 87°67' y 87°69' respectivamente. Calcula la altura de la colina sobre el nivel del mar. (Sol 553,6 m)

Seria genial un dibujo para poder ayudarte mejor, pero aunque solo sea por esa camiseta :P :P :P ......... si la altura del acantilado es h y la distancia al pie del acantilado es x, por trigonometria de un triangulo rectangulo...
tan87º67' = h/x.......x= h/ tan87º67'
tan87º69' = (h+10)/x... x.tan87º69' = h+10.... x = (h+10) / tan87º69'
Resuelve el sistema de ecuaciones y tendrás x y h...
Por igualacion... h/ tan87º67' = (h+10) / tan87º69'....
Tengo una duda, si me piden calcular el área encerrada entre dos curvas f(x)=x^2 y g(x)=-x+2 en el intervalo [0,1]
Al hacerlo he igualado f(x) a g(x) y he obtenido x=+1, -1 ¿el intervalo de integración seria el mismo [0,1], ya que el -1 no se encuentra dentro o si que se incluye? Gracias.

Observa que al igualar las expresiones queda:
x2 = - x + 2, luego haces pasaje de términos y queda:
x2 + x - 2 = 0, que es una ecuación polinómica cuadrática, cuyas soluciones son:
x = - 2, que no pertenece al intervalo de integración, por lo que no la consideramos;
x = 1, que es el extremo derecho del intervalo de integración;
luego, evaluamos las dos expresiones para el extremo izquierdo del intervalo y queda:
f(0) = 02 = 0, g(0) = - 0 + 2 = 2,
por lo que tenemos que la función g toma valores más altos (haz un gráfico para verls), por lo que planteamos para el cálculo del área:
A = ∫ ( g(x) - f(x) )*dx = ∫ (- x + 2 - x2)*dx, luego integramos y queda:
A = [ - x2/2 + 2x - x3/3 ], luego evaluamos con la Regla de Barrow entre 0 y 1, y queda:
A = (- 12/2 + 2*1 - 13/3) - (- 02/2 + 2*0 - 03/3) = - 1/2 + 2 - 1/3 - 0 = 7/6.
Espero haberte ayudado.