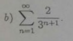
Hola tengo una duda con series. Me piden que calcule si las series convergen o divergen (a eso lo tengo claro dentro de todo). Pero en el inciso b me piden que calcule a cuanto (NUMERO) converge la serie (si es que converge).
Mi duda es cómo calcular ese valor. Por ejemplo me dieron esta serie. Que se que converge (por el criterio de la razón converge). Pero a cuanto es mi duda. Y me gustaría saber si hay un método general, o si para cada, una hay métodos diferentes.
Desde ya muchas gracias.

Observa que podemos operar en el término general de la serie, tenemos:
an = 2 / 3n+1 = 2 / (3n-1 * 32) = 2 / (3n-1 * 9) = (2/9)*(1/3)n-1.
Observa que el término general corresponde a una serie geométrica cuya razón es 1/3, que está comprendida entre -1 y 1, por lo que la serie resulta convergente, luego pasamos al cálculo:
S = ∑(n=1,inf) ( 2 / 3n+1 ) = ∑(n=1,inf) ( (2/9)*(1/3)n-1 ) = (2/9) ∑(n=1,inf) ( (1/3)n-1 ) = aplicamos la suma geométrica =
= (2/9)*( 1 / (1 - 1/3) ) = (2/9)*( 1 / (2/3) ) = (2/9)*(3/2) = 1/3.
Recuerda que para la serie geométrica con razón q comprendida estrictamente entre -1 y 1 tienes:
S = ∑(n=1,inf) (qn-1) = converge a = 1/(1-q), como seguramente has visto en clase.
Espero haberte ayudado.
HOLA!! me pueden colaborar con este punto de calculo.
Un automóvil que se desplaza a razón de 30pies/seg se aproxima a un crucero. Cuando el auto está a 120pies de la intersección, un camión que viaja a razón de 40pies/seg cruza la intersección. El auto y el camión se encuentran en carreteras
que forman un ángulo recto entre si. ¿Con qué rapidez se separan 2seg después de que el camión pasa dicho crucero?
ayuda con este problema...!! en los años 2013 y 2014, una ong envio ayuda humanitaria , consiste en medicamentos (M), prendas de vestir (P) y alimentos (AL) , a cuatro paises africanos A,B,C,D . La matriz siguiente recoge las toneladas anuales de cada tipo de ayuda a cada pais A B C D
10 30 15 12 M
215 512 317 300 P
745 862 613 923 AL
M P AL
36000 180 85 2013
37500 186 88 2014
CALCULAR EL VALOR TOTAL DE LOS ENVÍOS A CADA PAÍS EN CADA AÑO...

Multiplica las dos matrices y tendrás el resultado... Multiplicacion matrices 3x3
En tu caso multiplica la matriz 2x3 con la matriz 3x4
Obtendrás una matriz 2x4 (2 filas y 4 columnas). En cada fila tendrás un año (2013 y 2014)...
Por favor me podéis ayudar con este logaritmo:
log4 16^3 + log4 2 + log 0,0001 + log raiz cúbica de 10 dividido entre 100.
Muchas gracias.

Comencemos con plantear y resolver cada término por separado:
log4(163) = logaritmo de una potencia = 3log4(16) = factorizamos el argumento del logaritmo = 3log4(42) = definición de logaritmo = 3*2 = 6,
log4(2) = log( √(4) ) = logaritmo de una raíz = (1/2)log4(4) = definición de logaritmo = (1/2)*1 = 1/2,
log10(0,0001) = log10(10-4) = logaritmo de una potencia = -4log10(10) = definición de logaritmo = -4*1 = - 4,
log10( ∛(10) / 100 ) = logaritmo de una división = log10( ∛(10) ) - log10(100) = logaritmo de una raíz en el primer término:
= (1/3)log10(10) - log10(102) = definición de logaritmo en el primer término y logaritmo de una potencia en el segundo término:
= (1/3)*1 - 2log10(10) = definición de logaritmo en el segundo término:
= 1/3 - 2*1 = 1/3 - 2 = -5/3.
Luego pasamos al cálculo:
log4(163) + log4(2) + log10(0,0001) + log10( ∛(10) / 100 ) = 6 + 1/2 - 4 - 5/3 = 5/6.
Espero haberte ayudado.
Hola Unicoos,
si simplifico a ambos miembros de la igualdad entre senx para simplificar, sería incorrecto?

Debes tener pracaución: cuando dividimos por expresiones literales pueden omitirse soluciones, por lo que apelamos a la factorización. Tienes la ecuación trigonométrica:
2sena * cos2a - 6sen3a = 0, extraemos factor común en el primer miembro y queda:
2sena *(cos2a - 3sen2a) = 0, luego, por anulación de un producto tenemos dos opciones:
a) 2sena = 0, dividimos por 2 en ambos miembros y queda:
sena = 0, componemos con la función inversa del seno y queda:
a = 0, 180°, 360°, 540°, ..., y en general: a = 180° * k, con k ∈ Z.
b) cos2a - 3sen2a = 0, sustituimos el primer término con identidad trigonométrica y queda:
1 - sen2a -3sen2a = 0, hacemos pasaje de término, reducimos términos semejantes y queda:
- 4sen2a = -1, dividimos en ambos miembros por - 4 y queda:
sen2a = 1/4, hacemos pasaje de potencia como raíz y tenemos dos opciones:
b1) sena = 1/2, que tiene solución en el primer cuadrante y también en el segundo cuadrante:
a = 30°, 390°, 750°, ..., y en general: a = 30° + 360° * k, con k ∈ Z;
a = 150°, 510°, 870°, ..., y en general: a = 150° + 360° * k, con k ∈ Z;
b2) sena = -1/2, que tiene solución en el tercer cuadrante y también en el cuarto cuadrante:
a = 210°, 570°, 930°, ..., y en general: a = 210° + 360° * k, con k ∈ Z;
a = 330°, 690°, 1050°, ..., y en general: a = 330° + 360° * k, con k ∈ Z.
Observa que si hubiésemos dividido por sena en el primer paso, hubiésemos omitido las soluciones de la opción (a).
Espero haberte ayudado.
Por favor ayudemen con este ejercicio. La verdad tengo la respuesta. Pero en realidad me encuentro con la duda. Espero y me puedan ayudar, y me saquen de la inquietud .
¿Cuánto recibe una persona por concepto de capital mas interés (monto), por $68 000 a 2.2% de interés simple mensual, después de medio año de inversión?

Empleamos la fórmula para calcular el interés: I = Crt/(100U), donde:
C = capital depositado = 68000,
r = razón = 2,2,
t = tiempo = 6 (meses),
U = unidad de tiempo = 1 (mes).
Luego, el interés queda:
I = 68000*2,2*6/(100*1) = $ 8976.
Luego tenemos para el monto.
M = C + I = 68000 + 8976 = $ 76976.
Espero haberte ayudado.
Hola Unicoos, este es el desarrollo de una ecuación trigonométrica, si tacho así los denominadores para simplificar es correcto?
Muchas gracias.

Tienes la ecuación trigonométrica:
-1 + 2sena/cosa - 3cosa/sena = 0,
observa que podemos aplicar las identidades de la tangente (tana = sena/cosa) y de la cotangente (cotga = cosa/sena) y queda:
-1 + 2tana - 3cotga = 0, aplicamos la identidad de la cotangente (cotga = 1/tana) y queda:
-1 + 2tana - 3/tana = 0, luego multiplicamos por tana en todos los miembros de la ecuación, observa que tana debe ser distinto de cero, y queda:
- tana + 2tan2a - 3 = 0, luego aplicamos la sustitución (cambio de incógnita): w = tana, sustituimos y queda:
- w + 2w2 - 3 = 0, ordenamos términos y queda:
2w2 - w - 3 = 0, observa que tenemos una ecuación polinómica cuadrática, aplicamos la fórmula resolvente y tenemos dos opciones:
a) w = -1, sustituimos y queda:
tana = -1, que tiene solución en el segundo cuadrante y en el cuarto cuadrante:
a1) a = 135°, y en general: a = 135° + 360° * k, con k ∈ Z;
a2) a = 315°, y en general: a = 315° + 360° * k, con k ∈ Z
b) w = 3/2, sustituimos y queda:
tana = 3/2, que tiene solución en el primer cuadrante y en el tercer cuadrante:
b1) a ≅ 56,31°, y en general: a ≅ 56,31° + 360° * k, con k ∈ Z;
b2) a ≅ 236,31°, y en general: a ≅ 236,31° + 360° * k, con k ∈ Z.
Hola tengo una duda con una propiedad. Para mi, y según la propiedad la respuesta correcta sería la ultima. Pero la que esta primera la puse en una calculadora online de integrales y da ese resultado. Si alguien me pudiera explixar el por qué, o en qué casos funciona esta propiedad se lo agradecería.