Hola
Como se haria la derivada del ln tg(1-x).

Echale un vistazo y nos cuentas ¿OK?... Regla de la cadena
A partir de ahí, se trata de que DESPUES DE IR A CLASE (ver los vídeos
relacionados con vuestras dudas) enviéis dudas concretas, muy concretas. Y que
nos enviéis también todo aquello que hayais conseguido hacer por vosotros
mismos. Paso a paso, esté bien o mal. No solo el enunciado. De esa manera
podremos saber vuestro nivel, en que podemos ayudaros, cuales son vuestros
fallos.... Y el trabajo duro será el vuestro. Nos cuentas ¿ok? #nosvemosenclase
;-)
Profe Hallé la derivada de la funcion y trate de buscar un valor para el cual la pendiente sea cero.
Obtuve Y=0 .

Derivamos implícitamente y queda la ecuación:
2x + 3y2y ' = 2y + 2xy ', luego, como la recta tangente es horizontal, tenemos que su pendiente de igual a cero, reemplazamos y ' = 0, resolvemos y queda:
2x = 2y, dividimos por 2 en ambos miembros y queda:
x = y (1), luego sustituimos en la ecuación implícita de la curva y queda:
y2 + y3 = 2y2, hacemos pasaje de término, reducimos términos semejantes y queda:
y3 - y2 = 0, factorizamos y queda:
y2(y - 1) = 0, luego por anulación de un producto tenemos dos opciones:
a) y2 = 0, de donde despejamos: y = 0, luego reemplazamos en la ecuación señalada (1) y queda: x = 0, lo que corresponde al punto de coordenadas P1(0,0);
b) y - 1 = 0, de donde despejamos: y = 1, luego reemplazamos en la ecuación señalada (1) y queda: x = 1, que corresponde al punto de coordenadas: P2(1,1).
Observa bien en tu trabajo, porque has omitido al segundo punto.
Espero haberte ayudado.
Hola, quisiera saber si me podían ayudar con la siguiente demostración:

Me encantaría ayudarte, pero no respondo dudas universitarias que no tengan que ver específicamente con los videos que ya he grabado como excepcion. O de otras asignaturas que no sean matemáticas, física y química. Lo siento de corazón… Espero lo entiendas
Ojalá algun unicoo universitario se anime a ayudarte (de hecho lo ideal es que todos los universitarios intentarais ayudaros los unos a los otros)
Hola, En la siguiente figura me dicen que los 2 arcos resaltados en rojos son iguales ¿A que se debe esto ?

Me encantaría ayudarte, pero no respondo dudas universitarias que no tengan que ver específicamente con los videos que ya he grabado como excepcion. O de otras asignaturas que no sean matemáticas, física y química. Lo siento de corazón… Espero lo entiendas
Ojalá algun unicoo universitario se anime a ayudarte (de hecho lo ideal es que todos los universitarios intentarais ayudaros los unos a los otros)
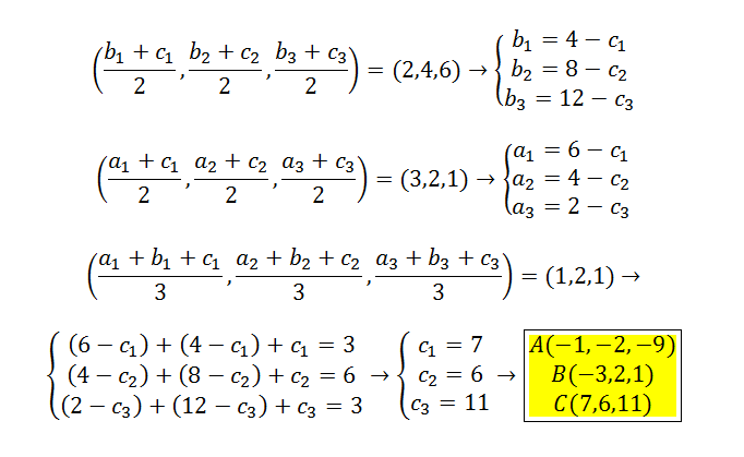
Hola, verán, eh, me dice: En un triangulo ABC el baricentro es X (1,2,1), el punto medio de BC es M (2,4,6) y el de AC es (3,2,1). Halla las coordenadas de los vértices A, B y C. Me tengo bastante rallado la cabeza con este ejercicio, aqui dejo mi intento de hacerlo, un intento que no encontró la deseada fortuna.![]()
Tengo limx--0+ g(x)=4 Λ´lim x---0- g(x) =7. Calcular limx--0+ g(x3-X) y limx--0- g(x3-X). Vi el resultado el primero es 7 y el segundo es 4 pero no entiendo como hace para llegar a eso.

Lím(x->0+) g(x3-x) =
planteamos la sustitución: w = x3 - x, y observa que w tiende a cero por la izquierda, porque x3 es menor que x cuando x tiende a cero por la derecha, sustituimos y queda:
= Lím(w->0-) g(w) = 7.
Lím(x->0-) g(x3 - x) = planteamos la sustitución: w = x3 - x, y observa que w tiende a cero por la derecha, porque x3 es mayor que x cuando x tiende a cero por la izquierda, sustituimos y queda:
= Lím(w->0+) g(w) = 4.
A modo de ejemplo, para visualizar las situaciones:
Si x tiende a cero por la derecha, tenemos que x es pequeño y positivo, por ejemplo: x = 0,01, luego tenemos:
w = 0,013 - 0,01 = - 0,009999, que es pequeño y negativo, lo que nos muestra que w tiende a cero por la iquierda.
Si x tiende a cero por la izquierda, tenemos que x es pequeño y negativo, por ejemplo: x = - 0,01, luego tenemos:
w = (-0,01)3 - (-0,01) = 0,009999, que es pequeño y positivo, lo que nos muestra que w tiende a cero por la derecha.
Otra forma es graficar la función cuya expresión es w(x) = x3 - x, y observar su gráfica alrededor del origen.
Espero haberte ayudado.
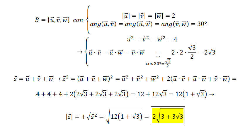
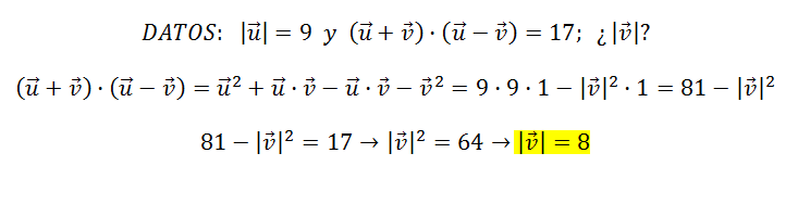
Hola, hice dos ejercicios sobre vectores, producto escalar, modulos...... y agradecería si me los pudieseis corregir!
Tengo por enunciado: Sea el triángulo de vértices A(5,3), B(7,-1), C(1,-1). Halla la ecuación de la altura correspondiente al vértice A.
Bueno, es que no se ni por donde empezar, a alguien se le ocurre algo??