Buenos dias
Me podriais dar un ejemplo de resolucion de una ecuacion en diferencias de primer orden y coeficientes constantes por el metodo de la variacion de las constantes o de los coeficientes indeterminados?Muchas gracias.

Me encantaría ayudarte, pero no respondo dudas universitarias que no tengan que ver específicamente con los videos que ya he grabado como excepcion. O de otras asignaturas que no sean matemáticas, física y química. Lo siento de corazón… Espero lo entiendas
Ojalá algun unicoo universitario se anime a ayudarte (de hecho lo ideal es que todos los universitarios intentarais ayudaros los unos a los otros)
HOLA; como se resuelte este ejercicio de inecuaciones?
Para la desinfección de una piscina es necesario un máximo de 2,4 litros de un producto A y un mínimo de 2,5 litros de otro producto B. En el mercado se comercializan dos preparados M y N al precio de 10 y 30 € el litro, respectivamente. En la composición de M hay un 10% de A y un 50% de B. En la de N hay un 40% de A y un 10% de B. ¿Cuántos litros de M y N necesitamos para desinfectar la piscina con el mínimo coste?

Si x son los litros de M e y son los litros de N...
0,1x +0,4y<=2,4
0,5x+0,1y>=2,5
x>=0
y>=0
El beneficio o funcion objetivo es 10x+30y.
Te sugiero los videos de Programación lineal
Necesito ayuda para terminar este ejercicio de extremos relativos con aplicación económicas. Luego de aplicar Lagrange tengo problemas para despejar y encontrar X e Y. Muchas gracias!![]()

Debes platear el sistema de ecuaciones:
L'x = 0
L'y = 0
L'λ = 0
luego sustituyes y queda:
(40 - 2x)/2 + 2λx = 0
(80 - 2y)/2 + 2λy = 0
x2 + y2 - 500 = 0,
distribuimos denominadores en los primeros términos de las dos primeras ecuaciones, hacemos pasajes de términos en todas y queda:
-x + 2λx = -20, extraemos factor común y queda: x(-1 + 2λ) = -20, hacemos pasaje de factor como divisor y queda: x = -20/(-1 + 2λ) (1), con λ ≠ 1/2;
-y + 2λy = -40, extraemos factor común y queda: y(-1 + 2λ) = -40, hacemos pasaje de factor como divisor y queda: y = -40/(-1 + 2λ) (2), con λ ≠ 1/2;
x2 + y2 = 500;
observa que si λ toma el valor 1/2 las dos primeras ecuaciones quedan como identidades absurdas,
luego sustituimos las expresiones señaladas (1) (2) en la tercera ecuación y queda:
( -20/(-1 + 2λ) )2 + ( -40/(-1 + 2λ) )2 = 500, distribuimos potencias en las expresiones fraccionarias de los dos primeros términos y queda:
400/(-1 + 2λ) )2 + 1600/(-1 + 2λ) )2 = 500, reducimos términos en el primer miembro y queda:
2000/(-1 + 2λ) )2 = 500, hacemos pasaje de divisor como factor y queda:
2000 = 500(-1 + 2λ) )2, dividimos en ambos miembros por 500 y queda:
4 = (-1 + 2λ) )2, hacemos pasaje de potencia como raíz y tenemos dos opciones:
a) -2 = - 1 + 2λ, despejamos y queda: -1/2 = λ;
b) 2 = - 1 + 2λ, despejamos y queda: 3/2 = λ.
Luego puedes continuar con el valor de λ que corresponda al problema de economía con el que tratas, reemplazas en las ecuaciones señaladas (1) (2) y obtendrás los valores de x e y.
Espero haberte ayudado.
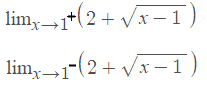
hola buenas noches podeis explicarme como se resuelven los limites laterales de funciones con raices ? si podeis colgar un video en youtube os agradeceria ! saludos.

Es igual que los limites normales. La diferencia es que lo que esta adentro de la raiz, logicamente nunca puede ser negativo, en caso de serlo el limite no existe.
Si tomamos el limite cuando tiende a 1 por derecha, te queda 2, no hace falta mas que reemplazar el 1.
Pero que pasa si tomamos el 1 por valores mejores que 1. Osea 0,999 0,9998 ,etc.
Si a cualquiera de estos valores le restamos 1, nos va a quedar un numero negativo
Y como ya dijimos, nunca puede ser una raíz negativa, asi que el limite por derecha de esta función es 2 y el limite por izquierda NO EXISTE.
Espero que lo hayas entendido, si estas familiarizada con los limites no debería ser dificil, es simplemente que en ninguno de los limites laterales te de una raiz negativa
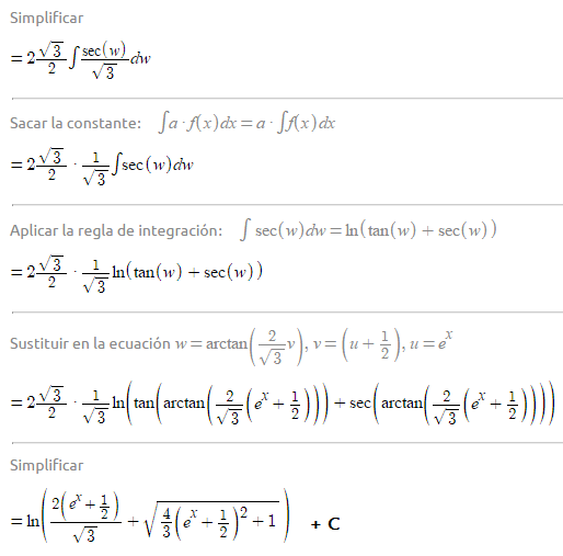
Hola, tengo una duda de universidad de series de Taylor. Ya vi los dos vídeos del profe y me sirvieron muchísimo. Pero ahora me encuentro con un problema. Que lo resolví hasta una parte, pero después me trabo (en la parte mas importante que es encontrar la serie de dicha función).

Vamos con un planteo alternativo para encontrar la serie.
Ya has visto en clase cuál es la serie de Taylor con centro x0 = 0 para la función exponencial: g(x) = e-x, que queda:
S1(x) = ∑(k=0,inf) (-1)kxk/k!
Luego, observa que la expresión de la función f en un producto entre un monomio centrado en 0 y la función exponencial g(x), por lo tanto tenemos:
f(x) = (x - 0)g(x) = xg(x),
y planteamos para su serie:
S(x) = xS1(x) = x∑(k=0,inf) (-1)kxk/k! = ∑(k=0,inf) (-1)kxk+1/k!
Siempre puedes aplicar este procedimiento cuando tienes el producto de un polinomio centrado en un punto, multiplicado por una función de la que conoces su serie desarrollada con centro en el mismo punto.
Espero haberte ayudado.
Buenas tardes, estoy estudiando Álgebra Lineal 1 de universidad. El tema es ESPACIOS VECTORIALES. El problema es que entiendo que es una "Base", pero me piden ampliar la Base, y no hay forma, no encuentro en Internet que significa, tengo mas o menos una idea pero no lo entiendo
Por ej: S= (X1 , X2 , X3) ∈ℛ / X1 - X3 = 0 Me termina quedando (X1 , 0 , X1) ya que X1=X3
Por lo tanto la base es (1,0,1)
Ahora esta el drama...... extender la base? No se ni por donde empezar, no se que es. Si me pueden ayudar se los agradecería
buenas tardes .. considerando las matrices siguientes A= 1 -2 B= 2 -1 C= 3 -12
0 1 1 1 0 5
calcula X para que se cumpla A² . X -B =C en este caso tendríamos que dar valores numéricos a X? o X es otra matriz? gracias
Tienes la ecuación matricial:
A² . X - B = C, haces pasaje de término y queda:
A² . X = C - B (1).
Luego debes calcular las matrices:
A2, y calcular su matriz inversa: (A2)-1, y también la matriz C - B.
Luego, multiplicas por izquierda en ambos miembros de la ecuación señalada (1) por la matriz inversa de A2 y queda
(A2)-1A² . X = (A2)-1(C - B), luego observa que el producto de los dos primeros factores del primer miembro es igual a la matriz identidad de orden 2, entonces queda:
I2X = (A2)-1(C - B), luego resolvemos el primer miembro (recuerda que la matriz identidad es neutra para el producto) y llegamos a:
X = (A2)-1(C - B).
Luego, queda que hagas todos los cálculos.
Y si en tus clases aún no han visto matriz inversa, deberás plantear que la matriz incógnita X tiene cuatro elementos genéricos: x, y, z, w, y resolver las operaciones que quedaron planteadas en la ecuación señalada (1).
Espero haberte ayudado.
hola!mi pregunta es mas bien general, sobre números complejos, en clase nos explicaron como resolver polinomios con coeficientes complejos, lo que quiero saber es si cuando tengo coeficientes reales y complejos puedo resolverlo de la misma forma que haría si fuese un polinomio que unicamente tuviese coeficientes complejos, por ejemplo: X2-3(1+i)X+5i ¿podría resolverlo haciendo Bhaskara y utilizando a=1+0i , b=-3-3i , c=0+5i?¿o tendría que separar las partes imaginarias y las partes reales, resolviendo cada parte por separado?muchas gracias!saludos

En el caso de los polinomios de grado dos puedes emplear la Fórmula de Baskara, porque las raíces cuadradas del discriminante son opuestas, tal como ocurre con los polinomios con coeficientes reales, pero su cálculo es directo si el discriminante es un número real, pero si es complejo propiamente dicho o imaginario puro, deberás aplicar la Fórmula de De Moivre para las raíces.
Para el caso que planteas:
P(x) = X2 - 3(1+i)X + 5i, tienes: a = 1, b = - 3(1+i), c = 5i, luego pasamos al discriminante:
D = b2 - 4ac = ( -3(1+i) )2 - 4*1*5i = 9(1+i)2 - 20 = 9(2i) - 20 = 18i - 20 = -20 + 18i, luego deberás aplicar la fórmula para las raíces, y continuar la tarea.
Espero haberte ayudado.

A partir de la ecuación cartesiana implícita del plano, tienes las componentes de su vector normal: n = <1,7,-4>.
Luego, este mismo vector puede ser director de cualquier recta que sea perpendicular al plano, tal como nos piden en este ejercicio.
Luego, con el punto A(1,-3,2) que pertenece a la recta, y su vector director que hemos determinado, podemos plantear las ecuaciones cartesianas paramétricas de la recta:
x = 1 + t
y = -3 + 7t
z = 2 - 4t
con t ∈ R:
Luego, como tenemos que el punto B(a,2a,-a) pertenece a la recta, reemplazamos sus coordenadas en las ecuaciones y queda el sistema:
a = 1 + t (1)
2a = - 3 + 7t
-a = 2 - 4t
sustituimos la expresión señalada (1) en la segunda y en la tercera ecuación y queda el sistema:
2(1 + t) = - 3 + 7t
-(1 + t) = 2 - 4t
distribuimos, hacemos pasajes de términos, ordenamos términos y queda:
- 5t = - 5
3t = 3
observa que para ambas ecuaciones se cumple: t = 1,
luego reemplazamos en la ecuación señalada (1) y queda.
a = 1 + 1, de donde tenemos: a = 2.
Espero haberte ayudado.