Hola amigos me podrian ayudar en este ejercicio, no entiendo por donde empezar no se bien como plantear el ejercicio les dejo el enunciado original ![]()

Para resolver analiticamente... Sistemas no lineales de ecuaciones
Y para graficar... Cónicas Función afín etc, etc...
Se trata de que DESPUES DE IR A CLASE (ver los vídeos
relacionados con vuestras dudas) enviéis dudas concretas, muy concretas. Y que
nos enviéis también todo aquello que hayais conseguido hacer por vosotros mismos.
Paso a paso, esté bien o mal. No solo el enunciado, pero no olvidéis de
adjuntarlo de forma LITERAL, para saber que os piden. De esa manera podremos
saber vuestro nivel, en que podemos ayudaros, cuales son vuestros fallos.... Y
el trabajo duro será el vuestro. Nos cuentas ¿ok? #nosvemosenclase ;-)
Como hallo el vector de la recta s a partir de las siguientes ecuaciones?
Claramente obtengo que el vector de r es (-4,-1)
Pero nose como puedo calcular el de s.
*La dos rectas son secantes"

Para poder hallar un vector direcvtor de la recta s solo tienes que encontrar dos puntos que pertenezcan a la recta y restarlos, de ésta manera podrás encontrar un vector director de los infinitos que tiene la recta. Para ello buscaremos los puntos en que la recta cortan los ejes, ya que son los más fáciles.
Punto en que la recta corta OY, A (x = 0): y = -(2/5)*0 + 38/5 → y = 38/5 → A(0, 38/5)
Punto en que la recta corta OX, B (y = 0): 0 = -(2/5)x + 38/5 → x = 19 → B(19, 0)
Uno de los vectores directores de la recta será el AB → AB = B - A = (19, 0) - (0, 38/5) = (19, -38/5).

Una forma puede ser determinar dos puntos pertenecientes a la recta s, asignando valores arbitrarios a x, por ejemplo:
- para x = 0 reemplazas y tienes y = 38/5, y luego tienes el punto de coordenadas: A(0 , 38/5);
- para x = 1 reemplazas y tienes y = 36/5, y luego tienes el punto de coordenadas: B(1 , 36/5);
luego, un vector director de la recta s puede plantearse como el vector: u = AB = < 1 - 0 , 36/5 - 38/5 > = < 1 , -2/5 >.
Espero haberte ayudado.
Me podrían ayudar a resolver este ejercicio?
Indica en cada uno de los siguientes apartados un contraejemplo que demuestre que es falso y justifica tu respuesta:
a) La suma de dos funciones discontinuas es una función discontinua.
b) Toda función derivable es continua.

a) Tomamos dos funciones a trozos:, definidas para todos los números reales:
f(x) =
3 si x < 0
4 si x ≥ 0
g(x) =
7 si x < 0
6 si x ≥ 0
observa que ambas funciones discontinuas en x = 0. Luego, planteamos la función suma (sumamos trozo a trozo):
(f+g)(x) = f(x) + g(x) =
3+7 si x < 0
4+6 si x ≥ 0
Por último, la expresión de la función suma queda:
(f+g)(x) =
10 si x < 0
10 si x ≥ 0
y observa que la función suma es continua en todo el conjunto R.
b) Por favor, consulta con tus docentes por la redacción del enunciado para este inciso, porque hay un Teorema que dice:
"Si f es derivable en un punto, entonces es continua en dicho punto".
Espero haberte ayudado.

Recuerda la definición de función compuesta:
(g o f)(x) = g( f(x) ), luego, planteamos la Regla de la Cadena para la expresión de su función derivada:
(g o f) ' (x) = g ' ( f(x) ) * f ' (x).
Luego evaluamos para x = 3 y queda:
(g o f) ' (3) = g ' ( f(3) ) * f ' (3) = reemplazamos y queda:
= g ' (- 4) * (-3) = reemplazamos y queda:
= 4 * (-3) = - 12.
Espero haberte ayudado.
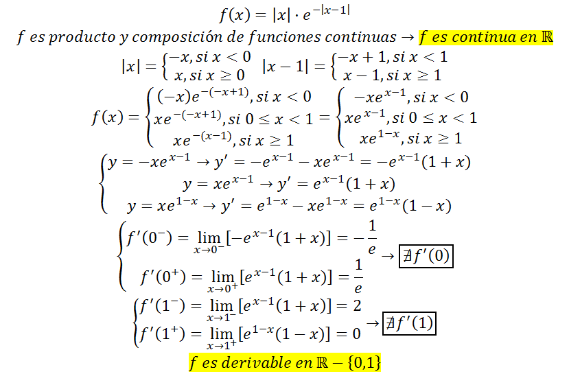
Hola!! Pueden ayudarme unicoos?? tengo que averiguar si esta función es continua y derivable y determinar las semirectas tangentes en los puntos angulósos de gráfica f
el problema lo tengo para averiguar la continuidad, no sé con valores absolutos.
gracias de antemano unicoos!