Hola.
Sean dos variables aleatorias, λ y η, que, respectivamente, cuentan el número de veces que sale 1 y 6 al tirar un dado. ¿Como puedo justificar o más bien, demostrar matemáticamente, que son independientes?
Muchas gracias.
Hola una pregunta (bastante sencilla creo, pero que no puedo deducir el por que del resultado).
Tengo que calcular: lim t→1 ( -e * arctan(t)).
Para mi da eπ/4. Pero en los libros y en la calculadora da -infinito.
Me podrian ayudar a deducir el por que de ese resultado?. Muchas gracias
Hola, disculpa no entiendo muy bien la foto, se ve un poco borrosa. Pero llego a ver el inciso c.
Te pide que hagas la suma de 2 vectores.
Y esta suma es
Si querés que lo resuelva pasame bien cuanto vale cada vector que no llego a ver bien.
Ojala te haya ayudado. Saludos
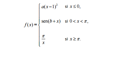
Hola unicoos, necesito vuestra ayuda.
En este ejercicio de comprobar la continuidad según el valor de los parámetros a y b:
Llego a la conclusión siguiente;
a= Senb y 1=Sen(b+π)
Y el resultado debería ser:
a= -1 y b=-π/2 + 2kπ, k∈ℤ
¿Cómo llegaría a esta conclusión?
Un saludo.
Hola buenas, me piden que demuestre que V es un subespecio vectorial de E, siento E = M4 (Matrices de orden 4) y V el subespacio vectorial formado por M4 con determinante nulo (Matrices de orden 4 con det = 0). Entiendo que el problema habría que resolverlo de una forma genérica pero no se me ocurre cómo.

No es un subespacio vectorial, pues el determinante de la suma no es la suma de los determinantes. Puedes tener dos matrices cuadradas de orden 4 con determinante nulo, pero la suma de ambas puede tener determinante nulo.
Ejemplo: A (dos unos arriba en la diagonal principal y cero en el resto) y B(dos unos abajo en la diagonal principal y cero en el resto) y la suma es la matriz identidad , con determinante 1,