
Lo siento pero además de que no podemos ayudaros con ejercicios de 4 en 4, siento decirte que aunque me encantaría ayudarte, no respondo dudas universitarias que no tengan que ver específicamente con los videos que ya he grabado como excepcion. O de otras asignaturas que no sean matemáticas, física y química. Lo siento de corazón… Espero lo entiendas. Ojalá algun unicoo universitario se anime a ayudarte (de hecho lo ideal es que todos los universitarios intentarais ayudaros los unos a los otros)
No consigo resolver este problema si alguien me podría ayudar, muchas gracias.
-El perfil de un tramo de carretera a los últimos 2km de una etapa de montaña de una vuelta ciclista coincide con la gráfica de la siguiente función entre los valores x=0 y x=2,
y=5/100(-x^3+3x^2-x+20)
Calcula en que punto de dicho tramo tiene la carretera mayor pendiente y halla el valor de esta.
La segunda parte del segundo ejercicio te mando hasta la mitad (no sé qué tengo que maximizar), a ver si algún profe nos dice cómo seguir
Te mando el proceso a seguir (análogo a este ejercicio), a ver si con ello, te sale a tí
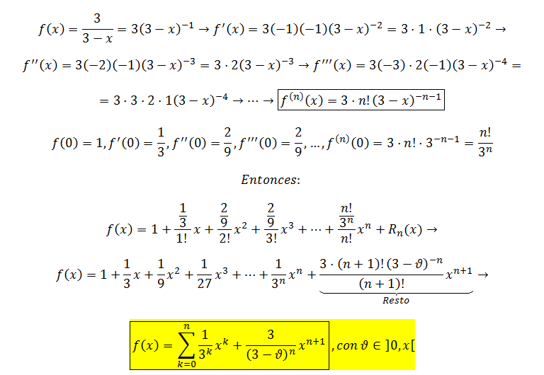
(este ejemplo estudia el error de el polinomio de Maclaurin (a=0) de orden 3)
recuerda que nuestro polinomio es de orden 2(con a=0 también)
3. Resolver el triángulo con a=2,3 m b=160 cm c= 4 m
He utilizado el teorema del coseno que es la forma para resolverlo y no me da, porque la calculadora me da error al hacer el arccos,
por favor podrían resolverlo paso a paso. que no paro de intentarlo y no sale.
Postdata ya se que hay que hacer una conversión de cm a m pero aun así no me da el resultado.
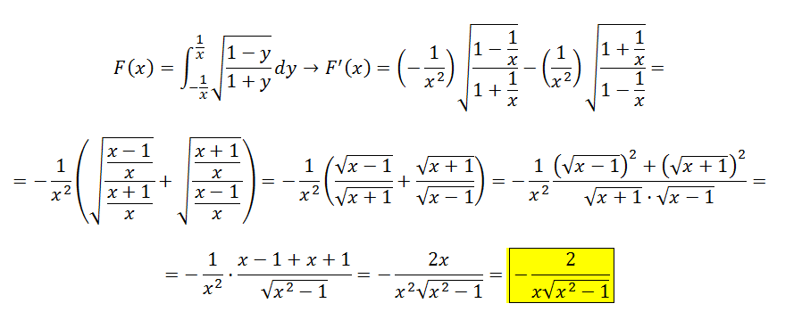
Hola, es la primera vez que me encuentro con una integral de este tipo: 1 + X / 1 - Y ¿Se trata de una integral doble? ¿Cómo se resuelve?
Gracias de antemano.
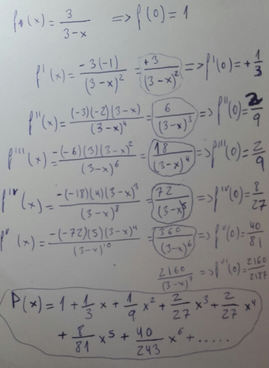
Hola,
me piden calcular el desarrollo de Taylor en el cero con resto de Lagrange de f(x)=3/3-x

Veo que en el polinomio de Taylor a partir de la primera derivada a la segunda la fracción , para conseguir la siguiente...se multiplica por 1/3 para llegar al número de la segunda derivada,
esta por 2/3 para llegar a la tercera, esta por 3/3 para la siguiente, esta por 4/3.....
Mi duda es cómo expresar matemáticamente este polinomio de taylor P(x) (ya que no me especifican de qué orden es)
Y el resto de Lagrange igual, no sabría cómo hacerlo de manera genérica
Gracias
Cómo resuelvo el siguiente ejercicio: (log2 x)(log2 x+1)=2;la base es 2, obtener el valor de x
(log2 x)(log2 x+1)= 2
(log2x)2+log2 x - 2= 0
...sustituimos log2 x por t...
t2+t-2=0
...resolvemos la ecuación de segundo grado...
t1=1 t2= -2
...igualamos t1 con t...
log2x=1
log2x=log22
x1=2
Comprobamos nuestro resultado x1=2 en la ecuación original...
(log2 2)(log2 2+1)=2
1*(1+1)=2
2=2 ( lo que verifica x1)
Buenas Noches. Tengo el siguiente ejercicio de transformaciones lineales y tengo dudas con el punto a y b.
En el A) me piden que si necesito hacer cuentas para hallar la primera columna de la matriz de la transformacion. Los ejercicios que tengo en mi guia siempre usamos bases canonicas pero este me dan bases distintas de las canonicas. Para la matriz de la transformacion tendria que tomar el (1,2,-2) que esta formado por el primer vector de una base canonica de R4?.
Luego en el B) no entiendo bien que es lo que pide.