
Para la continuidad, dices correctamente que la función es continua para todo número real, quedando para estudiar el punto de corte entre trozos: x = 0.
Para ello, planteamos la definición de continuidad en un punto:
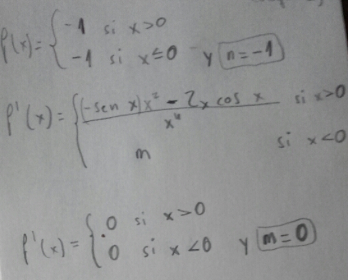
a) f(0) = m*0 + n = n,
luego los límites laterales:
b) Lím(x-->0+) f(x) = Lím(x-->0+) (1-cosx)/x² = aplicamos la Regla de L'Hôpital:
= Lím(x-->0+) senx/2x = aplicamos la Regla de L'Hôpital:
= Lím(x-->0-+ cosx/2 = 1/2.
Lím(x-->0-) f(x) = Lím(x-->0-) (mx+n) = n.
c) Planteamos: n = 1/2.
Luego pasamos a la función derivada, que también tiene una expresión a trozos:
f ' (x) =
( -senx*x² - (cosx - 1)*2x )/x^4 = (-x*senx - 2cosx + 2)/x³ si x>0
m si x<0
Luego, tenemos que investigar si es posible la existencia de la función derivada en el punto de corte x=0, y para ello planteamos los límites laterales:
Lím(x-->0+) (-x*senx - 2cosx + 2)/x³ = aplicamos la Regla de L'Hôpital:
= Lím(x-->0+) (-senx - x*cosx + senx)/3x² = aplicamos la Regla de L'Hôpital:
= Lím(x-->0+) (-cosx - cosx + x*senx + cosx)/6x = Lím(x-->0+) ( - cosx + x*senx)/6x = aplicamos la Regla de L'Hôpital:
= Lím(x-->0+) (senx + senx + xcosx)/6 = 0.
Lím(x-->0-) (n) = n.
Luego planteamos: 0 = n.
Luego, la función derivada existe para x = 0, si y solo si: m = 1/2 y n = 0,
y para dichos valores, la función y su derivada son continuas en toda la recta real.
Espero haberte ayudado.
Hola unicoos, por favor espero me puedan ayudar con esto en algún video. Me piden Cómo se determinan y cuales son los límites trascendentes exponencial y logarítmico.
Espero su ayuda, muchas gracias.
una ayudita con esta ecuacion diferencial y'=2x-y+x2
determinar las regiones del plano en las cuales y'>0 y aquellas en las que y'<0

Comencemos con el dominio de positividad de la función derivada:
y ' > 0, sustituimos y queda:
2x - y + x² > 0, hacemos pasajes de términos:
- y > - x² - 2x, multiplicamos por -1 en todos los términos de la inecuación (observa que cambia el sentido de la desigualdad):
y < x² + 2x, observa que es la región del plano xy que se encuentra estrictamente "por debajo" de la parábola de ecuación: y = x² + 2x.
Luego pasamos al dominio de negatividad, planteamos:
y ' < 0, sustituimos y queda:
2x - y + x² < 0, hacemos pasajes de términos:
- y < - x² - 2x, multiplicamos por -1 en todos los términos de la inecuación (observa que cambia el sentido de la desigualdad):
y>< x² + 2x, observa que es la región del plano xy que se encuentra estrictamente "por arriba" de la parábola de ecuación: y = x² + 2x.
Luego, pasamos a la ecuación diferencial, hacemos pasaje de términos y queda:
y ' + y = 2x + x², observa que es una ecuación lineal de primer grado y primer orden (te recomiendo mires los vídeos del tema),
luego, u solución general queda expresada:
y = e^(-x) * ( ∫ ( ( e^x * (2x + x²) )dx + C )
observa que queda para que resuelvas una integral por partes en dos pasos, como seguramente has visto en clase.
Espero haberte ayudado.

Echale un vistazo... Distribución normal
A partir de ahí, sobre todo si tu duda es universitaria y debemos hacer una excepción... se trata de que DESPUES DE IR A CLASE (ver los vídeos
relacionados con vuestras dudas) enviéis dudas concretas, muy concretas. Y que
nos enviéis también todo aquello que hayais conseguido hacer por vosotros mismos.
Paso a paso, esté bien o mal. No solo el enunciado. De esa manera podremos
saber vuestro nivel, en que podemos ayudaros, cuales son vuestros fallos.... Y
el trabajo duro será el vuestro. Nos cuentas ¿ok? #nosvemosenclase ;-)
Lamento molestarlos y es que tengo problemas con el tema: congruencia de triángulos.....luego de intentarlo varias veces,quisiera que me guiaran con la resolución...![]()
Parece un ejercicio típico con resolución a través del teorema del seno a/senA=b/senB=c/senC
¿Podrías revisar si el ángulo de 65º grados del triángulo de la derecha está copiado correctamente? ya que el ángulo x y el "otro" sólo sumarían 180-65=115º...el "otro" es claramente obtuso y sólo con él, ya tendríamos aproximadamente esos grados
De la forma que lo expusiste no sabría darte una solución (¿no te dan el valor de ningún lado?),
¿Cómo se resuelve la integral √x / x ?

Observa que el numerador de la expresión de la función puede escribirse como potencia con exponente fraccionario:
√x / x = x^½ / x^1 = x^(½ - 1) = x^(-½), y luego integras como una potencia. Lo haces y queda:
∫ ( √x / x )dx = ∫ ( x^(-½) )dx = (2/3)x^(3/2) + C.
Espero haberte ayudado.

Observa que podemos escribir las ecuaciones paramétricas con los argumentos distribuidos:
x = 3t² - 2t³, de donde tienes: x ' = 6t - 6t²
y = 3t³ - 2t^4, de donde tienes: y ' = 9t² - 8t³.
a) Intersección con el eje OX: planteamos y = 0, sustituimos y queda:
3t³ - 2t^4 = 0, factorizamos y queda:
t³(3 - 2t) = 0, luego por anulación de un producto tenemos:
a1) t³ = 0, que nos conduce a t = 0, luego evaluamos:
x(0) = 0, y(0) = 0, y tenemos el punto: A(0,0).
a2) 3 - 2t = 0, que nos conduce a t = 3/2, luego evaluamos:
x(3/2) = 27/4 - 27/4 = 0, y(3/2) = 81/8 - 81/8 = 0, que nos conduce nuevamente al punto A(0,0).
Intersección con el eje y, planteamos x = 0, sustituimos y queda:
3t² - 2t³ = 0, factorizamos y queda:
t²(3 - 2t) = 0, luego por anulación de un producto tenemos dos opciones:
a3) t² = 0, que nos conduce a t = 0, luego evalúas y queda nuevamente el punto A(0,0).
a4) 3 - 2t = 0, que nos conduce a t = 3/2, luego evalúas y queda nuevamente el punto A(0,0).
b) Recta tangente horizontal: planteamos y '/x ' = 0, hacemos pasaje de divisor como factor, resolvemos y queda: y ' = 0, luego sustituimos y queda:
9t² - 8t³ = 0, factorizamos y queda:
t²(9 - 8t) = 0, que conduce a dos opciones:
b1) t² = 0, que conduce a t = 0, y al punto A(0,0).
b2) 9 - 8t = 0, y de aquí puedes despejar, luego evaluar las expresiones de x e y para determinar las coordenadas del punto (te dejo la tarea).
c) Recta tangente vertical: planteamos x '/y ' = 0, hacemos pasaje de divisor como factor, resolvemos y queda: x ' = 0, luego sustituimos y queda:
6t - 6t² = 0, factorizamos y queda:
6t(1 - t) =0, que conduce a dos opciones:
c1) 6t = 0, que conduce a t = 0, y al punto A(0,0).
c2) 1 - t = 0, y de aquí puedes despejar, luego evaluar las expresiones de x e y para determinar las coordenadas del punto (te dejo la tarea).
d) Evaluamos las expresiones de x e y para determinar el punto correspondiente a t = 1/2:
x(1/2) = 1/2, y(1/2) = 1/4, por lo que el punto correspondiente tiene coordenadas M(1/2,1/4).
Luego evaluamos las derivadas para encontrar el valor de la pendiente de la recta tangente:
x ' (1/2) = 3/2, y ' (1/2) = 5/4, luego planteamos para la pendiente de la recta tangente:
m = y ' (1/2) / x ' (1/2) = 5/4 / 3/2 = 5/6.
Luego, planteamos la ecuación cartesiana de la recta tangente.
y = (5/6)(x - 1/2) + 1/4.
Observa que para varias veces hemos llegado al punto de coordenadas A(0,0) con distintos valores del parámetro t, y eso significa que la curva se corta consigo misma en dicho punto.
Espero haberte ayudado.
Hola! he hecho este ejercicio para calcular el rango de una matriz.
Según la solución del libro debe dar rango=2, sin embargo creo que podría ser de rango 3...Ya que al calcular el determinante para rango 3 me da distinto de 0, me da 6 como se puede ver.
Que he hecho mal? agradezco una respuesta rápida ya que el examen es pronto.. gracias!!
PD: No he calculado el determinante por Sarrus si no por otro método que me enseñó mi profesor

Observa que la fila 3 es la suma de la fila 1 con la fila 2. Luego, el rango no puede ser igual a 3, que es el mínimo entre el número de filas (3) y el número de columnas (4).
Luego, para investigar si el rango es igual a 2, puedes tomar, por ejemplo, los dos primeros elementos de las dos primeras filas, evalúas el subdeterminante formado con ellos, y verás que es distinto de cero, por lo que puedes concluir que el rango de la matriz es igual a 2.
Debes revisar tus cálculos al desarrollar los subdeterminantes de orden 3, porque si observas, en todos ellos la fila 3 es igual a la suma de las otras dos filas, por lo que todos los subdeterminantes de orden 3 son iguales a cero.
Espero haberte ayudado.