|x-1| < |2x+1| (x-1)^2 < (2x+1)^2 x^2 +1 -2 < 4^2 +1 +4x 0< 3x^2 +6x 3x^2 +6=0 x(3x+6)= 0 o x= 0 o 3x+6=0
3x+6=0 3x= -6 x = - 6/3 x= -2
-∞ -2 0 ∞
Solución dice: (- ∞, -2) U (0, ∞) *No agarra los finales con corchetes en -2] o en [0, ¿Por qué?
Gracias.

Uno seria que los valores -2 y 0 no satisfacen la inecuacion adecuadamente por si te das cuenta reemplazando de quedara 3 < 3 o 1<1 lo cual no es correcto debido a que 3 no puede ser menor que 3 de esto que se concluye ...... aqui tu respuesta cuando se usa ''<'' y ''>'' quiere decir abierto de modo que en vez de usar corchetes simplemente usas ´´( ´´y ´´)´´ espero haberte ayudado


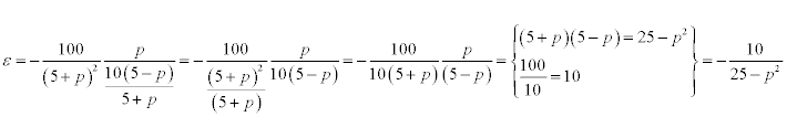
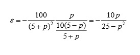
"al elevar al cuadrado G1 invertimos el sentido de los vuelos)
(si a G1 se le da el sentido unidireccional de las agujas del reloj, G12 tendrá el sentido contrario a las agujas)
(si a G1 se le da el sentido unidireccional contrario a las agujas del reloj, G12 tendrá el sentido de las agujas del reloj)
*Recuerda que:
0+0=1+1=0 y 1+0=0+1=1
1*1=1 y 0*0=0*1=1*0=0
Hola, me ayudan con éste ejercicio porfa?
Hay
27 cubitos de 1x1cm, con esos 27 cubitos se armó un cubo más grande
para ser pintado por completo por la superficie, al desarmarse el cubo
más grande; ¿cual es el área total de las carillas de los cubitos que
quedaron sin pintar?

Va una orientación. Observa que el cubo resultante tiene 3cm de arista, y está formado por tres "capas" de nueve cubos cada una.
Luego, observa que el cubo resultante tiene ocho vértices, y que los cubos correspondientes tienen tres caras pintadas (y por lo tanto otras tres sin pintar).
Luego, observa que en cada arista del cubo resultante hay un cubo intermedio, con dos caras pintadas (y por lo tanto otras cuatro sin pintar), y son doce cubos en total.
Luego, observa que en cada cara del cubo resultante hay un cubo central, con una cara pintada (y por lo tanto otras cinco sin pintar), y son seis cubos en total.
Luego, observa que en el centro del cubo resultante hay un cubo, que está rodado por otros cubos, y tiene todas sus caras sin pintar.
Queda para que hagas la tarea de verificar todo lo que hemos dicho, y sería muy conveniente que construyas, por ejemplo con dados o cubos de juego infantil, un modelo del cubo resultante.
Espero haberte ayudado.
Hola a todos, ojalá me puedan ayudar u orientar en este problema por favor:
Demostrar que, la siguiente ecuación cúbica (Van der Waals) SIEMPRE posee una raíz real y dos complejas conjugadas.
v3*p + v2*(RT+pb) + v*a - ab = 0
Donde v es el volumen molar, p es presión pascales, a y b constantes, T en kelvin y R cte. universal de los gases.
¿Cuál es el resultado de este ejercicio?
5,22 + 0,33 =
A mi me sale 27,31, pero a la calculadora le sale 0,027, y si no estoy confundida en la corrección de clase salió 27,04, la cual ese resultado también me sale a mí pero solo con la operación del 5,2 elevado a 2.
¿Cómo es pues?

Hagamos los cálculos término a término, si el cálculo a efectuar es el que indicas, tenemos:
5,22 + 0,33 = 27,04 + 0,027 = 27,067.
Luego, si los cálculos se realizan aproximando con la segunda cifra decimal (y le sumamos 1 si la tercera cifra decimal es 5 o más), tenemos:
5,22 + 0,33 ≅ 27,04 + 0,03 = 27,07.
Observa que en tu resultado no has colocado correctamente la coma decimal en el segundo término.
Observa que el cálculo que hicieron en clase corresponde al primer término solamente.
Espero haberte ayudado.

Aaaaah, perdón... ya miré un vídeo en un programa de niños de como sumar con decimales jajaja, perdón perdón, me ha dado por fin un número más evidente, que es el siguiente: 27,067
¿Es entonces correcto?
¿Por qué la calculadora me da 0,027?
¿Qué quieres decir con esto?: Luego, si los cálculos se realizan aproximando con la segunda cifra decimal (y le sumamos 1 si la tercera cifra decimal es 5 o más), tenemos:
5,22 + 0,33 ≅ 27,04 + 0,03 = 27,07.

Tienes para la función:
g(x) = e-2x, con g(0) = 1 = +20
g(1)(x) = -2e-2x, con g(1)(0) = -2 = -21
g(2)(x) = 4e-2x, con g(2)(0) = +22
g(3)(x) = -8e-2x, con g(3)(0) = -8 = -23
y en general:
g(n)(x) = (-1)n2ne-2x, con g(n)(0) = (-2)n
Luego, la expresión general de la Serie de McLaurin para esta función queda:
s(x) = ∑ ( (-1)n2n / n! )xn, con n desde 0 a ∞.
Y la serie para la función del enunciado, observa que f(x) = xg(x), queda:
S(x) = ∑ ( (-1)n2n / n! )xn+1, con n desde 0 a ∞.
Luego, la derivada queda (observa que (xn+1)' = (n+1)xn):
S ' (x) = ∑ ( (-1)n2n (n+1)/ n! )xn, que es la serie asociada a la función cuya expresión es: g ' (x) = (1-2x)e-2x
Luego, pasamos al ejercicio:
a) Observa que la serie es S ' (1), que corresponde a: g ' (1) = - e-2
b) Observa que 22n+2 = 22n * 22 = 2n * 2n * 4 = 4*2n*2n, y que la serie es 4 * S ' (2), que corresponde a: 4 * g '(2) = 4(-3)e-4 = -12e-4
c) Observa que 22n = 2n * 2n, y que la serie e S ' (2), que corresponde a: g '(2) = -3e-4 = -3e-4
Espero haberte ayudado.
Quien me ayuda con este ejercicio porfavor:
Considere el subespacio U ≤ IR3 generado por U= <(1,2,3);(2,-1,1)> y sea el conjunto V= {(x,y,z) ∈ R3 / x + 2y - z = 0}
a) Demuestre que V es un subespacio vectorial de R3
b) Hallar una base y la dimensión para U ∩ V .
Gracias de antemano.

a)
1) <0,0,0> ∈ V, porque para él: x + 2y - z = 0 +2*0 - 0 = 0.
2) Dados: u1 = <x1,y1,z1> ∈ V (observa que x1 + 2y1 - z1 = 0), u2 = <x2,y2,z2> ∈ V (observa que x2 + 2y2 - z2 = 0), planteamos:
u1 + u2 =<x1+x2,y1+y2,z1+z2> ∈ V porque par él:
x + 2y - z = x1 + x2 + 2(y1 + y2) - (z1 + z2) = distribuimos:
= x1 + x2 + 2y1 + 2y2 - z1 - z2 = ordenamos y agrupamos términos:
= (x1 + 2y1 - z1) + (x2 + 2y2 - z2) = reemplazamos según las igualdades remarcadas:
= 0 + 0 = 0.
3) Dado k ∈ R, planteamos:
k*u1 = k*<x1,y1,z1> = efectuamos el producto de escalar por vector = <kx1,kx2,kx3> ∈ V porque para él:
x + 2y - z = kx1 + 2ky1 - kz1 = extraemos factor común:
= k(x1 + 2y1 - z1) = reemplazamos según la primera igualdad remarcada:
= k*0 = 0.
Por todo lo que hemos desarrollado, tenemos que V es subespacio vectorial de R³.
b) Sea u = <x,y,z> ∈ (U ∩ V).
Luego, como u ∈ V, tenemos: x + 2y - z = 0.
Luego, como u ∈ U, tenemos: u = <x,y,z> = a<1,2,3> + b<2,-1,1> = < a+2b , 2a-b , 3a + b >, observa que x = a+2b, y = 2a-b, z = 3a+b,
luego sustituimos en la ecuación anterior y queda:
a + 2b + 2(2a - b) - (3a + b) = 0, distribuimos y queda:
a + 2b + 4a - 2b - 3a - b = 0, reducimos términos semejantes y queda:
2a - b = 0, despejamos y queda:
2a = b, luego sustituimos en la igualdad remarcada y queda:
u = < a+2b , 2a-b , 3a + b > =
= < a + 2*2a , 2a - 2a , 3a + 2a > = resolvemos componentes:
= < 5a , 0 , 5a > = extraemos factor escalar:
= 5a * < 1 , 0 , 1 >.
Por lo tanto, tenemos que los vectores u que son elementos del subespacio vectorial de R³: U ∩ V son múltiplos del vector < 1 , 0 , 1 >, por lo que una base de dicho subespacio es: B = { < 1 , 0 , 1 > }, y su dimensión es 1.
Espero haberte ayudado.