hola !!! me ayudan con estas integrales?? tengo que usar el metodo de integración por partes pero no me salen!! ayuda :(
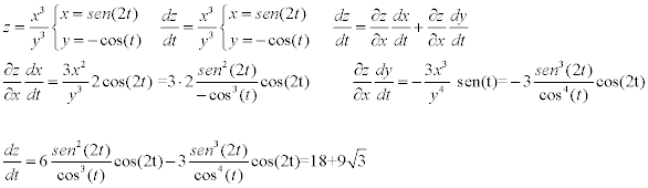
Buenas tardes, me podrían ayudar con Está función compuesta? No se en donde esta mi error, el resultado tiene que ser -9 pero no me da verificar Ian mis pasos?? Graciass![]()

5) Observa que z está expresada como una función de x e y, tienes: Z = x³/y³, luego sus derivadas parciales quedan
Zx = (3x²y³ - x³0) / (y³)² = 3x²y³ / y^6 = 3x²/y³
Zy = (0y³ - 3x³y²) / (y³)² = - 3x³y² / y^6 = - 3x³ / y^4
Observa que debes corregir en las expresiones.
Espero haberte ayudado.
Me podeis ayudar a hacer este ejercicio? Me he atascado a la hora de clasificarlo y no se como terminarlo. Gracias de antemano![]()

Consideremos dos casos: a) m = 0, b) m ≠ 0.
a) Como tenemos m = 0, reemplazamos, resolvemos términos y el sistema queda:
0 = 0, que es una Identidad verdadera
z = 0
y = 0
0 = 0, que es una identidad verdadera
observa que las ecuaciones son independientes de x, por lo que x "queda libre", y tenemos que x puede toma cualquier valor real,
por lo tanto el sistema es compatible indeterminado y admite infinitas soluciones, y su conjunto solución queda:
Sa = { (x,0,0), x ∈ R }.
b) Como tenemos m ≠ 0, dividimos por m en todos los términos de la primera ecuación y de la última ecuación, y el sistema queda:
x + z = 0, despejamos y queda z = -x (1)
my + z = 0
mx + y + mz = m
x + y + z = 0
Luego reemplazamos la expresión señalada (1) en las demás ecuaciones y el sistema queda:
my - x = 0
mx + y - mx = m, cancelamos términos opuestos y queda: y = m ≠ 0 (2)
x + y - x = 0, cancelamos términos opuestos y queda: y = 0 (3)
y como hemos llegado a resultados contradictorios para el valor de la incógnita y, tenemos que el sistema es incompatible y no tiene solución.
Espero haberte ayudado.

Lo siento pero no podemos/debemos haceros los deberes de 5 en 5...
Se trata de que DESPUES DE IR A CLASE (ver los vídeos
relacionados con vuestras dudas) enviéis dudas concretas, muy concretas. Y que
nos enviéis también todo aquello que hayais conseguido hacer por vosotros mismos.
Paso a paso, esté bien o mal. No solo el enunciado, pero no olvidéis de
adjuntarlo de forma LITERAL, para saber que os piden. De esa manera podremos
saber vuestro nivel, en que podemos ayudaros, cuales son vuestros fallos.... Y
el trabajo duro será el vuestro. Nos cuentas ¿ok? #nosvemosenclase ;-)
Te sugiero todos los vídeos de MATRICES y DETERMINANTES
http://www.unicoos.com/video/matematicas/4-eso/numeros-reales/potencias/operaciones-con-potencias-01
Mírate este vídeo y si tienes alguna duda concreta no dudes en decirla