Hola buenas, estoy en 2º De Bachillerato y cuando veo tus videos de Sistemas de ecuaciones veo que te falta Krammel (o como se diga) y rouché-frobenious y según repaso para finales y dentro de unos meses para selectividad la verdad es que se agradecen muchísimo asi que ¿es posible que los subas?
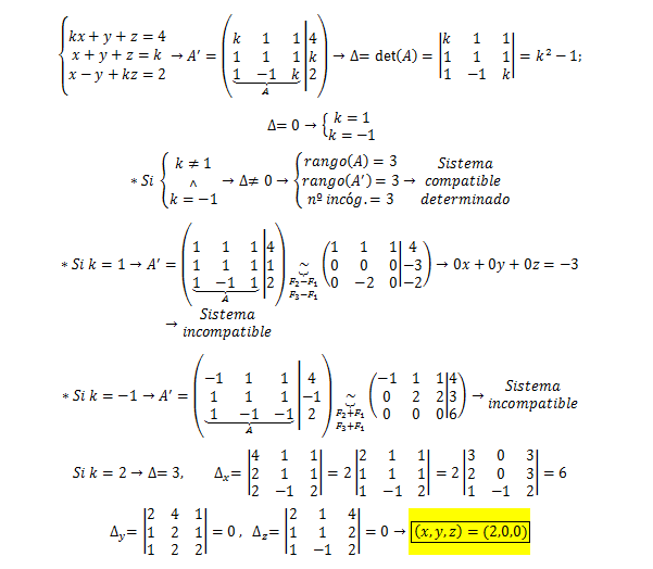
Por si quieres un ejercicio este ejercicio es clásico en la selectividad de Andalucía(mi comunidad):
Buenas, la verdad es que acabo de empezar a ver tus vídeos y me están gustando bastante. Me sería de gran utilidad que subieras algún vídeo acerca de los número combinatorios para 1º de Bachillerato. ¿sería posible? Muchas gracias ;)
Profe conozco el Teorema para hallar las ecuaciones . Mi problema es que no se como graficar esto. siendo que los puntos m a y b son solo literales...![]()

b²x²+a²y² = a²b²..
Despeja y de la primera ecuacion... a²y²=a²b² - b²x².... y²=b²(a²-x²)/a².... y=b. √(a²-x²) / a... Para xo... yo=b.√(a²-xo²) / a
Deriva implicitamente.. Como en este vídeo.. Recta tangente con derivacion implicita
Te quedará 2b²x + 2a²y. y' = 0... 2a².y.y'=-2b²x... y'= -2b²x / (2a²y)... Sustituye la "y" obtenida anteriormente... y'=-2b²x / (2a².b. √(a²-x²) / a)... y'=-b².x / (a.b. √(a²-x²))...
Para xo... y'(xo)=m=-b².xo / (a.b. √(a²-xo²))
La recta tangente es y-yo=m.(x-xo)...... y- b.√(a²-xo²)/a= [-b².xo / (a.b. √(a²-xo²))] .(x-xo)...
las siguientes raices no son exactas ¿entre que dos numeros naturales consecutivos estan? 3√200 5√340 √200 6√30 Alguien me puede ayudar con este problema
3√200= 3√23* 3√25 = 2 * 3√25= 2 * 3- = 6- será el número (sabemos que 3√25 es muy cercano y menor que 3, ya que 33=27)...ESTÁ ENTRE EL 5 Y EL 6
5√340= sabemos que 35=33*32=27*9=243 y 45=42*42*4=162*4=256*4=1024, entonces 5√340 ESTÁ ENTRE EL 3 Y EL 4
√200= √100*√2 = 10*√2 = 14,14 será el número (sabemos que √2 es un número irracional que vale aproximadamente 1,41)...ESTÁ ENTRE EL 14 Y EL 15
6√30= sabemos que 16= 1 y 26=23*23=8*8=64 ...como 30 está entre 1 y 64...sabemos que 6√30...ESTÁ ENTRE EL 1 Y EL 2
(((el 3- significa que es un número muy cercano a 3, por ejemplo 3√25, que es igual a 2,9240)))

Llamamos D1 al determinante de la izquierda, y D2 al determinante de la derecha. ² ³
A D1 lo desarrollamos según la primera fila y queda:
D1 = 1(y²z³ - y³z²) - 1(x²z³ - x³z²) + 1(x²y³ - x³y²) = y²z²(z - y) - x²z²(z - x) + x²y²(y - x).
A D2 lo desarrollamos según la primera columna y queda:
D2 = yz(yz² - y²z) - xz(xz² - x²z) + xy(xy² - x²y = extraemos factores comunes en los agrupameintos = y²z²(z - y) - x²z²(z - x) + x²y²(y - x).
Como verás, se cumple: D1 = D2.
Espero haberte ayudado.
Necesito ayuda con este problema:
¿En cuantos ceros termina el número?
100×99×98×97×...×4×3×2×1

Observa que tienes cien factores para multiplicar.
Luego, tienes un factor que aporta dos ceros al resultado: es el 100, tenemos: N1 = 2 ceros aportados.
Luego, tienes nueve factores que aportan un cero cada uno al resultado, y son: 10, 20, 30, 40, 50, 60, 70, 80 y 90, observa que todos juntos aportan nueve ceros al resultado, tenemos: N2 = 9 ceros aportados.
Luego, en cada decena, tienes un producto de dos factores que aporta un cero al resultado, y estos productos pueden ser (elegimos un número par y un múltiplo de cinco para el producto en cada decena):
2*5, 12*15, 22*25, 32*35, 42*45, 52*55, 62*65, 72*75, 82*85, 92*95, observa que todos juntos aportan diez ceros al resultado (observa que en cada decena tenemos un único múltiplo de cinco que al multiplicarlo por un número par, nos da como resultado un múltiplo de 10 único para cada decena), tenemos: N3 = 10 ceros aportados.
Por último, la cantidad de ceros del resultado será: N = N1 + N2 + N3 = 2 + 9 + 10 = 21.
Espero haberte ayudado.
Tengo una duda q no me deja seguir:: Después de plantear una ecuacion de 3 incógnitas he echo la matriz y quiero hacer el método de gauss:5 20 100-920
0 1 1- 6
3 4 0-0
Como la hago???

Lo siento pero los numeros aparecen descolocados... Si es
5 20 100 -920
0 1 1 -6
3 4 0 0
Mulitiplica la primera fila por 3 y la 3ª por 5 y restalas...
5 20 100 -920
0 1 1 -6
0 40 300 -2760
Para hacer un 0 en la tercera fila (donde está el 40), multiplica la 2º fila por 40 y restale la 3ª...
5 20 100 -920
0 1 1 -6
0 0 -260 2520.. Y ahora -260z=2520..
Te sugiero ... Sistema de ecuaciones con 4 incognitas Reduccion GAUSS
Como podría integrar mediante el método de sustitución la siguiente función?
Int. ln (sen (X)) cot (x) dx
Saludoooos