Hola buenas tardes, mañana tengo examen de Algebra Lineal y bueno, me he atascado con este ejercicio. El apartado 1 lo tengo resuelto y sé que está bien porque lo he comprobado con otros compañeros pero el apartado 2 ninguno sabemos hacerlo :/ A ver si nos pueden echar una mano, les estaríamos muy agradecidos.![]()
Me pueden ayudar con este ejercico por favor,?. La consigna es hallar la concavidad y los puntos de inflexión de la función
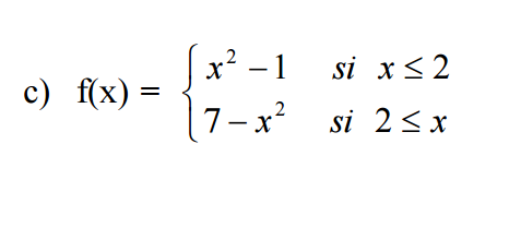
x<
Lo que hice fue derivar por partes y me quedó: 2x si x<=2 y 7 si 2<=x. Esto es igual a f¨(X)
f¨(X)= {2 si x<=2 y 0 si 2<=x
Ahora por criterio de la Derivada Segunda:
- Busque el punto crítico: x=2
- Analize la función en los intervalos: (-inf, 2) ; (2,inf)
- (-inf,2): f(0)=0 y en el intervalo (2, inf): f¨(3)=0
Por lo tanto la función siempre es concava hacia arriba
Muchas gracias

Observa que la función es continua en R, y particularmente en el punto de corte x= 2. Luego, la expresión de su derivada primera queda:
f ' (x) =
2x si x < 2
no está definida para x = 2 (observa que la derivadas laterales no coinciden)
-2x si x > 2 (observa que toma valores negativos en todo el intervalo, por lo que tienes que f es decreciente en (2,+inf)
Observa que el primer trozo se anula para x = 0, que corresponde a su intervalo, por lo que es un punto crítico, luego evaluamos f ' ' (0) = 2 > 0, lo que nos indica concavidad hacia arriba, y que f presenta un mínimo en x = 0.
Observa que el segundo trozo se anula para x = 0, pero no corresponde a su intervalo.
Observa que la derivada primera no está definida para x = 2, por lo que lo consideramos un punto crítico.
Luego observemos el comportamiento en cada intervalo:
(-inf,0): f es decreciente,
x = 0: mínimo,
(0,2): f es creciente,
x = 2: máximo,
(2,+inf): decreciente.
Luego, la derivada segunda queda:
f ' ' (x) =
2 si x < 2 (observa que es constante positiva, por lo que ya tienes que f es cóncava hacia arriba en el intervalo (-inf,2)
no está definida para x = 2 (observa que f presenta inflexión en x = 2
-2 para x > 2. (observa que es constante negativa, por lo que ya tienes que f es cóncava hacia abajo en el intervalo (2,+inf).
Luego, puedes ayudarte con un gráfico (resulta la unión de dos tramos de parábolas), y puedes corroborar los resultados que obtuvimos.
Observa también que la gráfica presenta un "punto anguloso" o "pico" en el punto (2,3), que resulta ser un punto máximo y también un punto de cambio brusco de concavidad.
Espero haberte ayudado.
Sean u, v, w tres vectors linealmente independentes de un espacio vectorial E. Demostrar que u + v, u + w, v + w son linealmente independentes.
Lo son, mírate estos vídeos. https://www.youtube.com/watch?v=L9K2YzLlNYQ
https://www.youtube.com/watch?v=H_hGlOBnoaA
https://www.youtube.com/watch?v=KwFTld4jFP4

Tienes que u, v, w son linealmente independientes, por lo tanto (indicamos vector nulo con N):
au + bv + cw = N con a=b=c=0 (*).
Luego, planteamos la combinación lineal nula para los vectores u+v, u+w, v+w (A, B, C son números reales cuyos valores debemos determinar):
A(u + v) + B(u + w) + C(v + w) = N, distribuimos los productos de escalar por suma de vectores en cada término:
Au + Av + Bu + Bw + Cv + Cw = N, ordenamos términos:
Au + Bu + Av + Cv + Bw + Cw = N, extraemos factor común vectorial por grupos de dos términos:
(A + B)u + (A + C)v + (B + C)w = N, luego, por la ecuación señalada (*) tenemos:
a = A+B = 0, b = A+C = 0, c = B+C = 0, y los tres vectores (u+v, u+w, v+w) resultan ser linealmente independientes.
Espero haberte ayudado.