Hola, buenas noches, me podrían ayudarme con estos 2 problemas de análisis matemático 2 por favor? En el problema 8 mi duda es como conseguir el punto que me piden, si solo tengo una ecuación( distancia punto-recta) y 3 incógnitas (x,y,z), y el problema 10 no se como hacerlo. Gracias de antemano.

Van orientaciones para que puedas intentar resolver los ejercicios. Designamos P(x,y,z) al punto cuyas coordenadas debemos calcular.
8) Como sabemos que el punto pertenece a la recta, podemos plantear dos ecuaciones a partir de las ecuaciones cartesianas simétricas del enunciado (observa que igualamos al primer miembro de la doble desigualdad con el tercero, y al segundo con el tercero):
(x-3)/2 = z, de donde podemos despejar: x = 2z + 3 (*).
-y/2 = z, de donde podemos despejar: y = -2z (**).
Luego, como tenemos que la distancia entre el punto P y el punto O(0,0,0) es igual a V(13), planteamos (observa que empleamos la expresión para calcular la distancia entre dos puntos):
V( (x-0)^2: + (y-0)^2 + (z-0)^2 ) = V(13), cancelamos raíces y términos nulos en los agrupamientos y queda:
x^2 + y^2 + z^2 = 13 (***).
Ahora queda para que sustituyas las expresiones señaladas (*) (**) en la ecuación señalada (***), y verás que llegarás a dos puntos que conforman el conjunto solución.
10) Planteamos las ecuaciones cartesianas simétricas de la recta (la llamamos L) que buscamos:
(x-3)/a = (y+3)/b = (z+5)/c, donde a, b, c son las componentes del vector director, de las que debemos determinar sus valores.
Luego, observa que podemos proceder en forma similar a la que empleamos en el ejercicio anterior:
igualamos el primer miembro con el tercero, operamos y queda la ecuación: cx - 3c = az + 5a (*),
igualamos el segundo con el tercero, operamos y queda la ecuación: cy + 3c = bz + 5b (**).
Luego, hacemos lo propio con las ecuaciones cartesianas simétricas de las rectas cuyas ecuaciones tenemos en el enunciado (las llamamos L1 y L2):
para L1 tenemos:
-3x + 3 = 5z + 5, operamos y queda: 3x + 5z = -2 (***),
-3y + 6 = -2z - 2, operamos y queda: 3y - 2z = 8 (****);
para L2 tenemos:
2x - 4 = z + 3, operamos y queda: 2x - z = 7 (*****)
2y + 2 = -3z -9, operamos y queda: 2y + 3z = -11 (******).
Luego planteamos la intersección entre la recta L y la recta L1, y nos queda el sistema con las ecuaciones señaladas (*) (**) (***) (****):
cx - 3c = az + 5a
cy + 3c = bz + 5b
3x + 5z = -2
3y - 2z = 8
observa que tenemos cuatro ecuaciones y seis incógnitas, por lo que despejamos x, y, z con tres de las ecuaciones y sustituimos sus expresiones en la cuarta ecuación (que quedará con incógnitas: a, b, c) (+);
luego planteamos la intersección entre L y L2, y nos queda el sistema con las ecuaciones señaladas (*) (**) (*****) (******):
cx - 3c = az + 5a
cy + 3c = bz + 5b
2x - z = 7
2y + 3z = -11
observa que tenemos cuatro ecuaciones y seis incógnitas, por lo que despejamos x, y, z con tres de las ecuaciones y sustituimos sus expresiones en la cuarta ecuación (que quedará con incógnitas: a, b, c) (++), y observa también que debemos plantear las intersecciones por separado, porque los puntos de intersección entre L y L1, y entre L y L2 pueden ser distintos.
Luego, queda para que hagas la tarea, y llegarás a un sistema con las ecuaciones que obtengas al resolver el primer sistema (+) y el segundo (++), verás que podrás llegar a la expresión general del vector director de la recta L.
Haz el intento, y si es preciso puedes volver a consultar.
Espero haberte ayudado.

En el intervalo (1,e²) la funcion f(x)=x+lnx... Si quieres demostrar que existe un punto en el cual f(x1)=π/2 debes demostrar que x+lnx=π/2... x+lnx-π/2=0.
Para ello debes recurrir al Teorema de Bolzano. Teorema de BOLZANO
Lo mismo para f(x2)=3π/2
En el 2º, lo primero es hallar fog(x) para el intervalo que te dan. En ese intervalo, f(x)=x+lnx y g(x)=senx/x...
Por tanto gof(x)= sen(x+lnx) / (x+lnx). Y de nuevo, Bolzano.. . Tendrás que demostrar, por supuesto que f(x) y gof(x) y g(x) son continuas en el intervalo (1,e²).
Para ello halla el dominio de esas funciones... Dominio de una funcion
P.D. Se trata de que DESPUES DE IR A CLASE (ver los vídeos relacionados con vuestras dudas) enviéis dudas concretas, muy concretas. Y que nos enviéis también todo aquello que hayais conseguido hacer por vosotros mismos. Paso a paso, esté bien o mal. No solo el enunciado. De esa manera podremos saber vuestro nivel, en que podemos ayudaros, cuales son vuestros fallos.... Y el trabajo duro será el vuestro. #nosvemosenclase Nos cuentas ¿ok?
hola chicos unicoos,podrian ayudarme con este problema, de antemano gracias :)
encontrar todos los elementos de la parabola(vertice, foco, directriz , ecuacion de la directriz, y lado recto)con eje paralelo al eje de las x y pasa por los puntos a(3,3) , b(6,5) y c(6,-3)

Vamos con una orientación.
Si es una parábola con eje de simetría paralelo al eje OX, puedes plantear como ecuación cartesiana explícita:
x = ay^2 + by + c, en la que a, b, c son números reales a determinar.
Luego, como los puntos pertenecen a la parábola, puedes reemplazar sus coordenadas y quedan tres ecuaciones:
3 = 9a + 3b + c (para el punto A(3,3))
36 = 25a + 5b + c (para el punto B(6,5))
6 = 9a - 3b + c (para el punto C(6,-3).
Luego, deberás resolver el sistema de ecuaciones (puedes emplear el método de sustitución u otro que hayas visto en clase):
9a + 3b + c = 3
25a + 5b + c = 36
9a - 3b + c = 6
Luego, tendrás que completar binomio elevado al cuadrado para y, y obtendrás la ecuación canónica (seguramente has visto el procedimiento en clase), y a partir de ella podrás resolver todo lo que te piden en el enunciado.
Haz el intento, y si te es preciso, puedes volver a consultar.
Espero haberte ayudado.
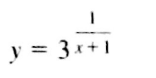
Buenas noches, llevo atascado en esto ejercicio un buen rato. A ver si alguien me puede ayudar a encontrar la función inversa. Muchas gracias.

Según se entiende de tu enunciado, la expresión 1/(x+1) es exponente, y la base de la potencia es 3.
Observa que el dominio de la función es: D = R - {-1}.
Puedes tomar logaritmos en ambos miembros:
lny = ln( 3^( 1/(x+1) ), aplicamos propiedad del logaritmo de una potencia a la derecha y queda:
lny = 1/(x+1) * ln3, permutamos las variables (recuerda que estamos buscando la expresión de la función inversa):
lnx = ln3 * 1/(y+1), hacemos pasaje de divisor como factor:
lnx * (y+1) = ln3, hacemos pasaje de factor como divisor:
y + 1 = ln3/lnx, hacemos pasaje de término y queda:
y = ln3/lnx - 1, que es la expresión de la función inversa y observa que su dominio es: Di= (0,1) u (1,+inf).
Espero haberte ayudado.
hola alguien me puede ayudar con esta integral ∫ x^3/(1+x^2) dx
Buenas, me encuentro con álgebra y no supe resolver el siguiente problema:
hallar un sistema de números directores para cualquiera de las rectas perpendiculares a los lados del triangulo cuyos vértices son: (-5; 1; 2) ; (3; 0; 2) ; (1; -8; 9) .
La respuesta es: [7 ; 56 ; 58]
Espero me puedan dar una mano!