Foro de preguntas y respuestas de Matemáticas

logo beUnicoos
Los foros de unicoos se han unificado en nuestra nueva plataforma beUnicoos. Para dejar nuevas preguntas deberás hacerlo allí, donde además podrás encontrar nuevas asignaturas y herramientas para ayudarte más con tus estudios.

  • icon

    Andrés Cebrián
    el 24/10/16

    ¿Alguien conoce un procesador de textos para ipad en el que pueda integrar un editor de ecuaciones? He probado el microsoft word (que es de pago), pero solo deja incluir algún símbolo matemático como complemento, nada que ver con el editor de ecuaciones clásico del word.

    Gracias.

    replythumb_up0 voto/sflag
    icon

    David
    el 25/10/16

    No, lo siento...

    thumb_up1 voto/sflag
  • Usuario eliminado
    el 24/10/16

    ¿Es correcto este límite?



    replythumb_up0 voto/sflag
    icon

    Andrés Cebrián
    el 24/10/16

    Entiendo que no. No puedes deducir que el último numerador vale 0 puesto que es un límite del mismo tipo que el dado inicialmente (0*inf)

    thumb_up0 voto/sflag
    icon

    Antonius Benedictus
    el 24/10/16

    Corregimos, Álex:

    thumb_up0 voto/sflag
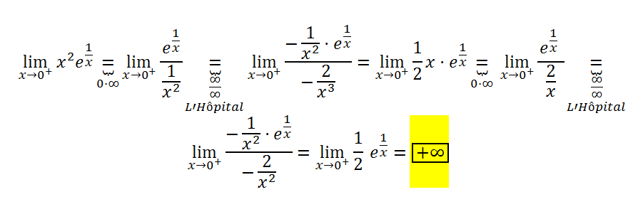
  • Usuario eliminado
    el 24/10/16

    ¿Es correcto el siguiente límite?





    replythumb_up0 voto/sflag
    icon

    Antonius Benedictus
    el 24/10/16

    No es un límite 1^inf.

    Te lo explicamos, Alex:

    thumb_up0 voto/sflag
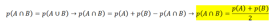
  • icon

    Joship
    el 24/10/16

    Hola Unicoos si me pueden ayudar con este ejercicio 

    replythumb_up0 voto/sflag
    icon

    Antonius Benedictus
    el 24/10/16

    Sí, Joship:

    thumb_up0 voto/sflag
    icon

    Andrés Cebrián
    el 24/10/16

    Teniendo en cuenta que P(AUB)=P(A)+P(B)-P(A intersección B), se deduce que la correcta es la a).

    thumb_up0 voto/sflag
  • icon

    Ángel
    el 24/10/16

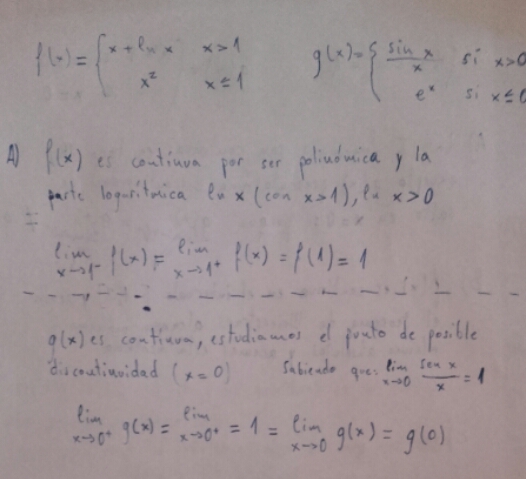
    Me echan un vistazo a este ejercicio?



    No sé si la composición de funciones del apartado B está bien hecha, pues no sé el procedimiento a seguir para hacer la composición de 2 funciones a trozos.

     

       Gracias




    replythumb_up1 voto/sflag
    icon

    Antonius Benedictus
    el 24/10/16

    En el apartado b) excusabas de calcular nada. Aplicsar el T. de Weierstrass a la composición de funciones continuas.

    El resto está muy bien.

    thumb_up1 voto/sflag
    icon

    Ángel
    el 27/7/17

    Muchas gracias. 

    thumb_up0 voto/sflag
  • icon

    laura
    el 24/10/16

    Podéis resolverme estos dos ejercicios?

    replythumb_up0 voto/sflag
    icon

    Antonius Benedictus
    el 24/10/16

    Va el primero, Laura: 

    thumb_up0 voto/sflag
    icon

    laura
    el 24/10/16

    ¿hay algún truco para hacerlos?, porque a mi no se me ocurre como empezarlos

    thumb_up1 voto/sflag
    icon

    Antonius Benedictus
    el 25/10/16

    Conocer bien las propiedades de los determinantes y practicar mucho.

    thumb_up0 voto/sflag
  • icon

    lbp_14
    el 24/10/16

    Hola Unicoos,

    He hecho esta inecuación y la he cambiado de signo para que me sea más cómoda .

    Pero para saber la solución tengo que darle valores a la recta real y sustituir, pero donde sustituyo? En la inecuación original o en la que yo cambié de signo? (Marcada en recuadro azul)? 

    Muchas gracias.

    replythumb_up0 voto/sflag
    icon

    Desencadenado
    el 24/10/16

    la solución es la correcta el procedimiento regular ;-)


    thumb_up1 voto/sflag
  • Usuario eliminado
    el 24/10/16

    ¿Es correcto el siguiente límite?



    replythumb_up0 voto/sflag
    icon

    Desencadenado
    el 24/10/16

    el resultado es el correcto Alex


    thumb_up0 voto/sflag
  • icon

    Alex Domínguez
    el 24/10/16
    flag

    Hola , mi duda es la siguiente , parece una duda de física pero no, tengo estas dos ecuaciones y necesito sacar la ecuación    0 = vot – 1/2at2  apoyandome en la siguiente  0 = vot – 1/2at2, basicamente en el valor t, me gustaría saber cuanto da el sistema de esas dos ecuaciones, gracias

    replythumb_up0 voto/sflag
    icon

    Ángel
    el 24/10/16

    Las dos ecuaciones son idénticas, creo que ha habido un error de redacción en el ejercicio

    thumb_up0 voto/sflag
    icon

    Alex Domínguez
    el 24/10/16

    tienes toda la razón, gracias !

    thumb_up0 voto/sflag
  • icon

    Antonio
    el 24/10/16
    flag

    Alguien me podría ayudar con el siguiente ejercicio?

    replythumb_up0 voto/sflag
    icon

    David
    el 25/10/16

    Me encantaría ayudarte, pero no respondo dudas universitarias que no tengan que ver específicamente con los videos que ya he grabado como excepcion. Lo siento de corazón… Espero lo entiendas

    thumb_up1 voto/sflag