Hola. El siguiente ejercicio me pide que estudie la derivabilidad de f(x). ¿Me lo podríais corregir?

Son limites exponenciales que se hacen aplicando el método logaritmico... Te sugiero... Limite Logaritmico
A partir de ahí, se
trata de que DESPUES DE IR A CLASE (ver los vídeos relacionados con vuestras
dudas) enviéis dudas concretas, muy concretas. Y que nos enviéis también todo
aquello que hayais conseguido hacer por vosotros mismos. Paso a paso, esté bien
o mal. No solo el enunciado. De esa manera podremos saber vuestro nivel, en que
podemos ayudaros, cuales son vuestros fallos.... Y el trabajo duro será el
vuestro. #nosvemosenclase Nos cuentas ¿ok?
Muchas gracias Antonio, como siempre :D
Tengo una última duda, que a lo mejor no tiene mucho sentido:
en el apartado B, por qué g(x) no tiene mínimo en f(0+) o f(0-) si es igual a 1+
o es porque tiene que llegar a un punto "único"? (como en el caso de f(x))
Espero haberme expresado bien
Un saludo

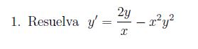
Comienza con un pasaje de término y queda:
y ' - (2/x)y = - x^2 * y^2, luego multiplica en todos los términos por - y^(-2) y queda:
- y^(-2) * y ' + (2/x)*y^(-1) = x^2,
luego plantea la sustitución (cambio de variable): w = y^(-1), de donde tienes: w' = - y^(-2)*y ', sustituimos y queda:
w ' + (2/x)w = x^2.
Observa que tienes una ecuación diferencial lineal y de primer orden que puedes resolver, como seguramente has visto en clase.
Espero haberte ayudado.
El ejercicio me dice que demuestre sin hallar el valor del determinante que los siguientes determinantes son multiplo de 5 y el determinante es:
1 15 6
5 -5 4
-2 20 7
He visto el video de youtube pero creo que no lo puedo aplicar a este determinante, graciasssss
Buenos días Benito:
Agradezco tu pronta respuesta a mi consulta del 17/10. He visto que al plantear la solución, el segundo término de la expresión que está dentro del paréntesis lo has tomado como si fuera x^2 y es 2^x. Esto cambia completamente el enfoque. Si no es molestia, te pido lo mires nuevamente y me orientes en la solución. Copio la pregunta que corresponde a un ejercicio para 1ro de Bachillerato:
Determina para qué valores de x es posible realizar la siguiente operación: log (x^2 - 2^x + 1).
Un saludo,
Gustavo