
Al ser un sistema homogéneo, es siempre compatible. Entonces:
Si a es distinto de 0, de 2 y de -3, es compatible determinado. La solución única es la trivial: (0,0,0)
Si a=0, queda z=0, y (libre) , x=-y (compatible indeterminado)
Si a=2, queda y=0, z (libre), x=-z
Si a=-3, queda z(libre), y=(5/3)z, x=(-8/3)z
Antonio me gustaría que me explicases paso a paso estos dos ejercicio
1-Resolver las siguientes ecuaciones:
2x4-17x2-9=0
raiz de x+6-x= -6
Ejercicio 2
Resolver el sistema:
xy=2
x elevado a la 2+y elevado a la 2=4
Pd: si me explicas el metodo mas fácil mejor. Un saludo

Para el primero... Ecuacion bicuadrada
Para el segundo... Ecuacion IRRACIONAL (con radicales)
Para el tercero.. Sistema de ecuaciones no lineal
Se trata de que DESPUES DE IR A CLASE (ver los vídeos relacionados con vuestras dudas) enviéis dudas concretas, muy concretas. Y que nos enviéis también todo aquello que hayais conseguido hacer por vosotros mismos. Paso a paso, esté bien o mal. No solo el enunciado. De esa manera podremos saber vuestro nivel, en que podemos ayudaros, cuales son vuestros fallos.... Y el trabajo duro será el vuestro. #nosvemosenclase Nos cuentas ¿ok?
Hola alguien me ayuda a hacer estos ejercicio
ENUNCIAT DE LA TASCA:
Respon al que es demana en cada apartat escrivint tots els càlculs necessaris.
a) Fes aquesta operació pas a pas i escriu-ne el resultat final en forma de fracció reduïda.
b) Racionalitza pas a pas aquesta expressió:
c) Calcula aquest logaritme sense l'ús de la calculadora . I explica com ho fas.
d) Dos enamorats miren abraçats una posta de Sol.
- Carinyo, t'agrada el Sol d'aquest instant?
- Voldràs dir el Sol de fa uns minuts.
- No. Vull dir el Sol d'ara.
- Ara el Sol és sota l'horitzó.
- Què dius? Que no veus el Sol sobre l'horitzó?
- Sí. El veig mig per sobre l'horitzó però en realitat ja és sota l'horitzó.
- Estàs imbècil!
- No. Tinc raó.
Qui té raó? Raona la teva resposta a partir del que has contestat al qüestionari L1AC1.

La proxima vez, por favor, te ruego dejes tu duda en castellano para que todos podamos entenderla. Además, así será más fácil ayudarte...
En cuanto a las dudas, Se
trata de que DESPUES DE IR A CLASE (ver los vídeos relacionados con vuestras
dudas) enviéis dudas concretas, muy concretas. Y que nos enviéis también todo
aquello que hayais conseguido hacer por vosotros mismos. Paso a paso, esté bien
o mal. No solo el enunciado. De esa manera podremos saber vuestro nivel, en que
podemos ayudaros, cuales son vuestros fallos.... Y el trabajo duro será el
vuestro. #nosvemosenclase Nos cuentas ¿ok?
En tu caso, por ejemplo, te sugiero los vídeos de Logaritmos y el de Operaciones con Radicales 03 - Racionalizar
Buenas tardes, podrian ayudarme en un ejercicio de la universidad? Gracias
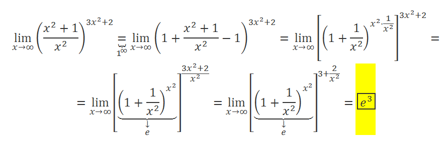
Ej: Sabiendo que el número e se puede obtener como e= lim (1+X) ^1/X cuando X->o
a)
lim (2x+1/x+2)^1/x-1 cuando x-1
b)
lim ( x^2 +1/ x^2)^(3x^2 +2)
Antonio, me gustaría que resolviera este ejercicio paso a paso.
P.D. Me gustaría el ejercicio lo más explicado posible, si puede ser. Gracias de antemano.
Hola,
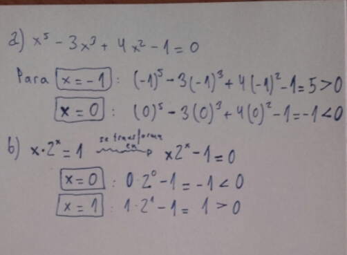
pueden ayudarme con este ejercicio?
llego a la solución por tanteo (sobretodo en el apartado a y b)...y por aplicando Bolzano puedo asegurar que tienen una raíz (al sustituir por dos valores x1 y x2 el resultado cambia de signo)
Hay algún método más fiable y correcto (para los examenes) o simplemente es ir probando?