Podrias ayudarme a resolver este ejercicio?
Sean la f (x) = e^2x y g (x) = -1/x^2
x2. Compruebe la regla de la cadena con las dos composiciones Posibles,
es decir, demostrar que:
- (f o g)'(x) = f'(g(x)) * g'(x)
- (g o f)'(x) = g'(f(x)) * f'(x).
Gracias!

No me deja adjuntar la imagen, te dejo un enlace a la imagen con el enunciado.
https://www.dropbox.com/s/u0naakcdxkjq6sd/Captura.PNG?dl=0
Gracias!
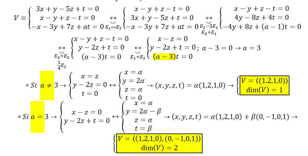
Buenas noches, tengo todo el ejercicio resuelto. Si a = 3 dim V = 2 y su base (1,2,1,0) sin embargo me falta que si a ≠ 3 entonces dim v= 1 pero no sé sacar la base en función del parámetro 'a' ayuda por favor; sé que la duda corresponde a la universidad pero es que me urge.
Hola, es un ejercicio de notación científica: Tengo que pasar el número 0.001 a algo similar a 10 elevado -algo. Mi profesor puso que sería 10 elevado a la menos tres pero no lo entiendo, no debería ser diez elevado a la menos cuatro?

Observa que tienes un número decimal finito, por lo que puedes escribirlo como una fracción decimal, en el que su denominador tiene como primera cifra a 1, seguido de una cantidad de ceros igual a la cantidades de cifras decimales que tienes a la derecha de la coma.
En tu caso tienes:
x = 0,001 = 1/1000 = escribimos al denominador como potencia de 10 = 1/10^3, expresamos como potencia con exponente negativo en el numerador y queda:
x = 1*10^(-3) = 10^(-3).
Si tuvieras:
y = 123,4 = 1,234*100 = 1,234*10^2.
z = 0,0678 = 6,78/100 = 6,78 / 10^2 = 6,78*10^(-2).
Siempre se busca expresar como el producto de un número con una cifra entera no nula, multiplicado por una potencia con base diez.
Otros ejemplos y explicaciones las puedes encontrar en los vídeos.
Espero haberte ayudado.
Hola. Podríais corregirme el siguiente ejercicio?
6. Dado el número complejo z = 1 + i√3:
a) Calcule |z|, z, z2, arg z.
b) Obtenga un polinomio de grado 2 con todos sus coeficientes reales, tal que z sea raíz de ese polinomio. ¿Cuántas raíces tiene? ¿Cuáles son las otras?

Tienes: z = -1 + iV(3), su parte real es x = -1, su parte imaginaria es: y = V(3), observa que está representado por un punto ubicado en el segundo cuadrante.
a) Módulo: |z| = V(x^2 + y^2) = V(1+3) = V(4) = 2.
Has planteado bien el conjugado: w = -1 - iV(3).
z^2 = ( -1 + iV(3) )^2 = (-1)^2 + 2*(-1)*iV(3) + i^2 * 3 = 1 - i2V(3) - 3 = -2 - 2V(3)i.
Tangente del argumento: tanA = y/x = V(3) / (-1) = -V(3), luego tenemos:
A = arctan(-V(3)) = 120° (= 2pi/3 radianes).
b) Recuerda que si un polinomio tiene todos sus coeficientes reales, puede tener todas sus raíces reales y, si tiene una raíz compleja, también tiene a su conjugada como raíz y con su misma multiplicidad.
Luego, como sabemos que z = -1 + iV(3) es raíz, por lo tanto tenemos que w = -1 - iV(3) también es raíz, por lo tanto planteamos la expresión general factorizada para un polinomio con dos raíces:
P(x) = (x - z)*(x - w) = distribuimos = x^2 - z*x - w*x + zw = x^2 - (z + w)*x + zw (*).
Luego calculamos los coeficientes:
-(z + w) = -(-1 + iV(3) - 1 - iV(3)) = cancelamos términos opuestos y reducimos términos semejantes = - (-2) = 2.
z*w = ( -1 + iV(3) ) * ( -1 - iV(3) ) = distribuimos y resolvemos = 1 - iV(3) + iV(3) + 3 = 4.
Luego, la expresión del polinomio, señalada (*) queda:
P(x) = x^2 + 2x + 4.
Espero haberte ayudado.

Una recomendación.
Cuando llegas a la ecuación:
x^2 = x
observa que tienes dos términos, uno en cada miembro de la ecuación, por lo que no puedes despejar como hiciste, ya que te quedaron expresiones con incógnita en ambos miembros. Por lo tanto, haces pasaje de término y queda:
x^2 - x = 0
observa que puedes extraer factor común x en todos los términos del primer miembro de la ecuación, y que tienes a cero en el segundo miembro como único término:
x(x - 1) = 0
observa que nos quedó una ecuación con su primer miembro factorizado, e igualada a cero. Por lo tanto, por anulación de producto tenemos dos opciones, que son las que te indicó el colega César:
1) x = 0, que es una solución.
2) x - 1 = 0, de donde despejas y queda: x = 1, que también es una solución.
Por lo tanto, el conjunto solución queda: S = { 0 , 1 }.
Espero haberte ayudado.
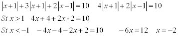
hola amigos tengo la siguiente ecuación con valor absoluto |x+1|+3|x+1|+2|x-1|=10 quisiera saber si aplico los puntos criticos y tabla ?

Observa que los dos primeros terminos son semejantes, por lo sumas y la ecuación queda:
4|x+1| + 2|x-1| = 10.
Luego, observa que en principio tenemos cuatro opciones, según la definición de valor absoluto:
1) x +1 >= 0 y x - 1 >= 0 y 4(x+1) + 2(x-1) = 10
2) x + 1 >= 0 y x - 1 < 0 y 4(x+1) + 2(x-1) = 10
3) x + 1 < 0 y x - 1 >= 0 y 4(x+1) + 2(x-1) = 10
4) x + 1 < 0 y x - 1 < 0 y 4(x+1) + 2(x-1) = 10
Cada una de las soluciones nos aportará parte de la solución, y las condiciones dentro de cada opción deben cumplirse simultáneamente. Luego despejamos en cada opción y tenemos:
1) x >= -1 y x >= 1, y la tercera: 4x + 4 + 2x - 2 = 10, de la que podemos despejar: x = 4/3, que cumple con las dos primeras condiciones, por lo que es parte de la solución.
2) x >= -1 y x < 1, y la tercera: 4x + 4 - 2x + 2 = 10, de la que podemos despejar: x = 2, que no cumple con la segunda condición, por lo que no es parte de la solución.
3) x < -1 y x >= 1, y la tercera: - 4x - 4 + 2x - 2 = 10, de la que podemos despejar: x= 8/3, que no cumple con la primera condición, por lo que no es parte de la solución.
4) x < -1 y x < 1, y la tercera: - 4x - 4 - 2x + 2 = 10, de la que podemos despejar: x = -2, que cumple con las dos primeras condiciones, por lo que es parte de la solución.
Por lo tanto, el conjunto solución queda: S = { -2 , 4/3 }.
Espero haberte ayudado.