De una cierta matriz cuadrada A se conoce que verifica la igualdad
A^2 + 2A - I = 0
¿tiene A inversa? ? ¿cuál es su expresión en función de A?
Lo que pensé es que A^2 +2A =I y entonces A(A+2)=I por tanto al multiplicar A por lo que hay en el paréntesis se queda la identidad y esa es la inversa, sin embargo A+2 no es una matriz, es una matriz por un número.
Como podría resolverlo?

Vas bien con tu planteo, pero observa la factorización:
A^2 + 2A = I, luego:
A*A + 2A*I = I, luego (observa que en el segundo término a la izquierda tenemos un factor numérico 2):
A*A + A*2I = I, luego extraemos factor común a izquierda:
A*(A + 2I) = I.
Ahora si, tienes el producto de la matriz A por una matriz A + 2I, y observa que su producto es igual a la matriz identidad que es invertible, por lo tanto las dos matrices del producto deben ser invertibles, y nos queda que una matriz es la inversa de la otra:
A^(-1) = A + 2I.
Para completar la tarea, debe plantear todos los pasos, pero con el factor común a la derecha.
A*A + 2A = I, luego:
A*A + 2*IA = I, luego:
(A + 2I)*A= I.
Espero haberte ayudado.
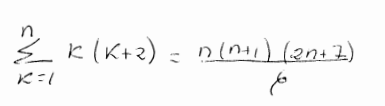
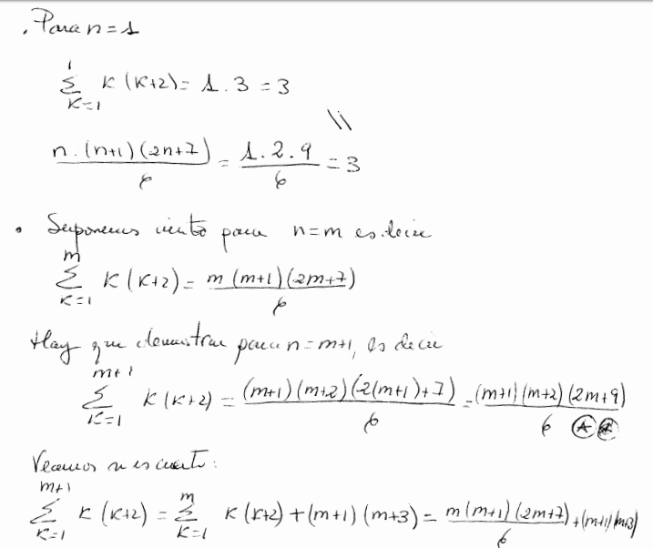
Hola, me ha dado un dolor de cabeza con este ejercicio resuelto de inducción que he encontrado XD, lo voy entendiendo hasta que añaden el (m+3) en ambas partes, si me pudiesen explicar pasito a pasito por qué se añade, cuándo se añade, porque la idea que tengo es que cada ejercicio de inducción se resuelva de manera diferente, y así imposible que logre resolverlos. Se agrade ayuda. Gracias![]()
![]()
Buenas noches. Necesito una mano con esta integral:
Integral de Ln(raiz cuadrada de 2x)/raiza cuadrada de 2x. (logaritmo natural de raiz cuadrada de 2x, sobre raiza de 2x).No tengo a mano el cable para pasar la imagen a la pc y subirla, por eso la pongo asi..ojala la entiendan.
Es por sustitucion, pero estoy trabado cuando debo elegir el miembro a cambiar.El ln(raiz 2x) deberia ser..pero no logro terminarlo.Gracias de antemano
Buenas, ¿podríais calcularme las asíntotas de esta función?, ¿se podría simplificar la función desde el principio?
f(x)= (x^2-4)/(x-2)
Muchas gracias de antemano

Una precisión: observa que el dominio de la función es R - {2}, y que al simplificar la expresión queda, tal como indica el colega Nelson:
f(x) = (x+2)(x-2)/(x-2) = simplificas = x + 2,
que es una expresión lineal de primer grado, por lo que su gráfica es una recta pero con una interrupción en el punto de abscisa 2 y ordenada 4, en el que la gráfica de la función presenta una discontinuidad evitable (o puntual).
Por lo demás, no presenta asíntotas verticales ni horizontales.
Espero haberte ayudado.