
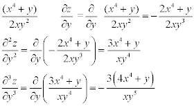
Observa que tienes a z como función de x e y, y que la expresión es:
f(x,y) = ( x^4 + y ) / (2xy^2) = distribuimos el denominador = x^4 / (2xy^2) + y / (2xy^2), simplificamos en cada término y queda:
f(x,y) = x^3 / (2y^2) + 1 / (2xy) = ordenamos factores en cada término, y escribimos potencias con exponente negativo en el numerador y queda:
f(x,y) = (1/2)x^3 * y^(-2) + (1/2) * x^(-1) * y^(-1).
Luego, observa que nos quedaron dos términos, y en cada uno factores constantes, factores con x y factores con y, por lo que se facilita la derivación.
Luego, si te piden la derivada tercera de z con respecto a y tres veces (observa que los factores que dependen de x son constantes), tenemos:
Derivada primera (la indicamos fy):
fy = - x^3 * y^(-3) - (1/2) * x^(-1) * y^(-2).
Derivada segunda (la indicamos fyy):
fyy = 3x^3 * y^(-4) + x^(-1) * y^(-3).
Derivada tercera (la indicamos fyyy):
fyyy = -12x^3 * y^(-5) - 3x^(-1) * y^(-4).
Espero haberte ayudado.
Buenas Unicoos tengo una duda que no consigo aclarar y es sobre radicales. la operación es 2-√2:2+√2. leído creo que queda dos menos raíz de dos dividido entre dos más raíz de dos. el resultado me da 3-2√2 y no consigo saber por qué gracias de antelación!!!
Buen día, por favor su ayuda con este caso de progresiones.
En un laboratorio, un científico después de aplicar un catalizador a una bacteria descubre que durante la primera hora obtuvo 3 bacterias y estas se reproducirán por tripartición cada hora, el científico requiere desarrollar en 8 horas un cultivo de bacterias superior a 50.000.
a) ¿Cuál es el tamaño del cultivo de bacterias obtenidas luego de las 4 horas?
b) ¿Logra el científico cultivar la cantidad de bacterias que requiere?
c) Independientemente de si lo logra o no lo logra ¿en cuánto tiempo lograría el científico tener el cultivo de bacterias requerido?
Gracias por su ayuda

mm si no me equivoco es una PA aplique la siguente formula an =a +( n-1)d en el cual reemplazaria y me quedaria asi 85 = 170+( n - 1) -2
lo cual me quedaria que n= 43 y la progresion es decreciente porque el peso lo quiere disminuir osea cada termino ira bajando saludos es la respuesta que creo yo si ahi algo malo corregirme ;)

Llamemos f(t) a la cantidad de bacterias, transcurridas t horas desde el inicio del experimento. Observa que las bacterias se reproducen por tripartición, por lo que cada bacteria madre muere para dar nacimiento a tres bacterias hijas. Luego, tenemos:
f(0) = 1 (comenzó con una bacteria)
f(1) = 3 (transcurrió una hora desde el inicio, y ya tiene 3 bacterias)
f(2) = 9 = 3^2 (transcurrieron dos horas desde el inicio, y ya tiene 9 bacterias)
f(3) = 27 = 3^3 (transcurrieron tres horas desde el inicio, y ya tiene 27 bacterias)
observa que en general la expresión queda.
f(t) = 3^t, que es la cantidad de bacterias que tendrá cuando hayan transcurrido t horas desde el inicio del experimento.
a) f(4) = 3^4 = 81.
b) f(8) = 3^8 = 6561 < 50000, por lo que no se consigue el objetivo previsto por el científico a cargo del experimento.
c) Planteamos la ecuación:
3^t = 50000
tomamos logaritmos naturales en ambos miembros:
ln(3^t) = ln(50000)
aplicamos propiedad del logaritmo de una potencia:
t*ln(3) = ln(50000)
hacemos pasaje de factor como divisor y resolvemos:
t = ln(50000) / ln(3) = 9,85 (aproximadamente).
Por lo que concluimos que se alcanzará el objetivo cuando hayan transcurrido poco menos de 10 horas desde el inicio del experimento.
Espero haberte ayudado.
Hola Unicoos
¿Podrían decirme si lo que he realizado es correcto? En caso de que no lo fuese, ¿Podrían desarrollarme cómo se haría?

Has operado correctamente en los incisos (b) y (c).
Observa que debes corregir en el inciso (a), y también completar:
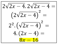
a) 2V(2x-4) * 2V(2x-4) = ordenamos factores = 2*2 * V(2x-4) * V(2x-4) = expresamos como potencias = (2^2) * ( V(2x-4) )^2 =
resolvemos en el primer factor y cancelamos raíz y potencia en el segundo factor:
= 4*(2x-4) = 8x - 16 = extraemos factor común = 8(x - 2).
Espero haberte ayudado.

Observa que tanto el numerador (N) como del denominador (D) tienden a 0 cuando x tiende a pi/2, por lo que el límite es indeterminado.
Una forma para resolverlo es aplicar la regla de L'Hôpital: Lím N/D = Líim N ' / D ' (*)
Derivamos:
N ' = cosx / senx
D '= 2(pi - 2x)(-2) = -4(pi - 2x).
Luego, planteamos el límite según la expresión señalada (*):
Lím(x-->pi/2) N ' / D ' = (-1/4) * Lím(x-->pi/2) cosx / (pi - 2x)senx = (**),
observa que el numerador y el denominador, ambos, tienden a 0, por lo que volvemos a plantear la regla de L'Hôpital:
N ' ' = - senx
D ' ' = -2senx + (pi - 2x)cosx.
Luego continuamos a partir de la expresión señalada (**):
= Lím(x-->pi/2) N ' ' / D ' ' = - 4 * Lím(x-->pi/2) ( - senx / ( -2senx + (pi - 2x)cosx ) = (-1/4)*( - 1/ (-2 + 0 ) = (- 1/4)*( -1 / -2) = ( -1/4)*(1/2) = -1/8.
Espero haberte ayudado.
Buenas alguien me podria decir si tengo bien este ejercicio o en que me he eauivocado y como corregirlo?
Tengo que discutir y resolver ese sistema
Gracias

Observa que la compatibilidad determinada (única solución) del sistema de tres ecuaciones con tres incógnitas se decide, solamente, con verificar si el determinante de la matriz A es distinto de cero.
En este ejercicio, has calculado bien el determinante, te quedó que es igual a -4 que es distinto de 0, por lo que tenemos, sin más trámite, que el sistema es compatible determinado.
Luego, puedes escalonar y reducir la matriz ampliada A* que has planteado correctamente, con el método de las operaciones elementales por filas.
Haz el intento, y si es preciso, puedes volver a consultar.
Espero haberte ayudado.