Foro de preguntas y respuestas de Matemáticas

logo beUnicoos
Los foros de unicoos se han unificado en nuestra nueva plataforma beUnicoos. Para dejar nuevas preguntas deberás hacerlo allí, donde además podrás encontrar nuevas asignaturas y herramientas para ayudarte más con tus estudios.

  • icon

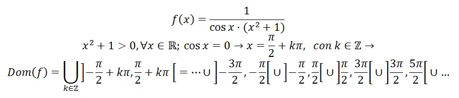
    Tatiana
    el 10/10/16

    Hola Unicoos, ¿podéis aclararme el dominio de esta función?

    replythumb_up0 voto/sflag
    icon

    Antonius Benedictus
    el 10/10/16

    Te lo intentamos aclarar, Tatiana:

    thumb_up2 voto/sflag
  • icon

    Lau
    el 10/10/16

    Hola alguien podría decirme si está bien hecha esta notación científica, muchas gracias 

    replythumb_up0 voto/sflag
    icon

    Matías Ignacio Loyola Galdames
    el 10/10/16

    Si hiciste bien los cálculos en la calculadora y llegaste a esto: 712,72...

    Para dejarlo en notación científica, tienes que dejar un número entre 1 y 10(sin incluir el 10) por diez elevado a la potencia correcta.

    Y como te piden con 3 cifras significativas, primera deja el número que te dio con 3 cifras significativas, te queda 713 (por la aproximación)

    y ahora lo transformas a notación científica a 7,13 x 10 elevado a 2.

    No sé si fui claro.

    thumb_up1 voto/sflag
  • icon

    Carla
    el 10/10/16

    Hola, les quería pedir si me podían ayudar con la (b) del problema 1, muchas gracias.

    replythumb_up0 voto/sflag
    icon

    Antonius Benedictus
    el 10/10/16

    Te ayudamos, Carla:

    thumb_up1 voto/sflag
    icon

    Antonio Silvio Palmitano
    el 10/10/16

    Debes tener en cuenta la desigualdad: |senu| <= u, para todo u perteneciente a R (*);

    la identidad trigonmétrica: sena - senb = 2*sen((a-b)/2)*cos((a+b)/2) (**);

    la propiedad del valor absoluto: |u*v| = |u|*|v| (***);

    y la propiedad: |cosw| <= 1 (****).

    Luego tenemos:

    |sena - senb| = por identidad (**) = |2*sen((a-b)/2)*cos((a+b)/2)| = por propiedad (***) = 2*|sen((a-b)/2|*|cos((a+b)/2)| <= por propiedad (*):

    < = 2*|a-b|/2 * |cos((a+b)/2)| = simplificamos = |a-b|*|cos((a+b)/2)| <= por propiedad (****) <= |a-b|*1 = |a-b|.

    Por lo que hemos probado que la inecuación es verdadera.

    Espero haberte ayudado.



    thumb_up1 voto/sflag
  • icon

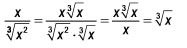
    Majda Yahya
    el 10/10/16

    Hola buenas tardes me gustaría saber porque se ha multiplicado por la raíz tercera pero la x no esta elevada al cuadrado.



    replythumb_up0 voto/sflag
    icon

    Matías Ignacio Loyola Galdames
    el 10/10/16

    Es para que adentro de la raíz quede x al cubo (al multiplicar el x al cuadrado por x),  y como es la raíz cúbica de x al cubo, simplemente es x.

    No sé si me expliqué bien.


    thumb_up1 voto/sflag
  • icon

    Celia Garrido
    el 10/10/16

    ¡Hola! ¿Me podrían explicar esta afirmación? ¿Cómo puedo saber si es una parábola o una hipérbola y si está o no centrada en (0,0) con los datos que me dan? ¡Muchas gracias!


    replythumb_up0 voto/sflag
    icon

    César
    el 10/10/16


    thumb_up1 voto/sflag
  • icon

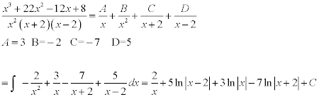
    Genesis Guzman
    el 10/10/16

    Si no es mucha la molestia, quiero ver si hice bien este ejercicio 



    replythumb_up0 voto/sflag
    icon

    César
    el 10/10/16

    Revisa las fracciones parciales  

    thumb_up0 voto/sflag
  • icon

    Genesis Guzman
    el 10/10/16

    Quiero verificar si hice bien este ejercicio 




    replythumb_up0 voto/sflag
    icon

    César
    el 10/10/16

    Tienes un error en las parciales B=0

    thumb_up0 voto/sflag
  • icon

    Natalia Jacob
    el 10/10/16

    Hola!! 

    Disculpen, Alguien que me pueda ayudar con 2 ejercicios.

    Sea f:R^2--R la función definida por f(x,y)=|x|+2|y| encuentre la preimagen  de 2 bajo f ? 

    Por favor.


    replythumb_up0 voto/sflag
    icon

    Antonio Silvio Palmitano
    el 10/10/16

    Comencemo por plantear: f(x,y) = 2, luego sustituimos la expresión de la función y queda:

    |x| + 2|y| = 2.

    Luego, observa que tenemos cuatro casos, según la definición de valor absoluto:

    1) x >= 0, y >= 0, x + 2y = 2, que al graficar queda un segmento recto en el primer cuadrante, con extremos: (2,0) y (0,1).

    2) x >= 0, y < 0, x - 2y = 2, que al graficar queda un segmento recto en el cuarto cuadrante, con extremos (2,0) abierto y (0,-1).

    3) x < 0, y >= 0, -x + 2y = 2, que al graficar queda un segmento de recta en el segundo cuadrante, con extremos (-2,0) abierto y (0,1).

    4) x < 0, y < 0, -x - 2y = 2, que al graficar queda un segmento de recta en el tercer cuadrante, con extremos abiertos (-2,0) y (0,-1).

    Luego, el gráfico de la preimagen de 2 es un rombo con centro de simetría en el origen, y ejes de simetría coincidentes con los ejes coordenados.

    Espero haberte ayudado.

    thumb_up0 voto/sflag
  • icon

    David Anguita
    el 10/10/16

    Hola tengo una duda con el ejercicio que realizas en el video de combinatoria (permutaciones con repetición), bueno con una pequeña variación: si en las cifras que nos dan para formar el número de 9 cifras hubiese algún número que no se repitiese, se resolveria de la misma manera? por ejemplo:  2,2,2,3,3,3,3,3,4 :   ??? Es decir, (9! / 3!·5!·1!)

    Y si hubiesen 2 números sin repetición junto a 2 con repetició? 2,2,2,2,3,3,3,4,5

    Gracias y un saludo!



    replythumb_up0 voto/sflag
    icon

    Nico
    el 10/10/16

    Hola David, por suerte este ejercicio es sencillo pero los problemas de combinatoria pueden llegar a ser un gran dolor de cabeza... en estos ejercicios siempre se divide por la cantidad de veces factorial que se repite el numero , en el caso que mencionas por ejemplo seria asi:  2,2,2,2, 3,3,3,, 4, 5 :   9!/4!3!

    thumb_up1 voto/sflag
    icon

    David Anguita
    el 10/10/16

    Entonces, no afecta que haya algún numero que no se repita?

    Gracias.-

    thumb_up0 voto/sflag
  • icon

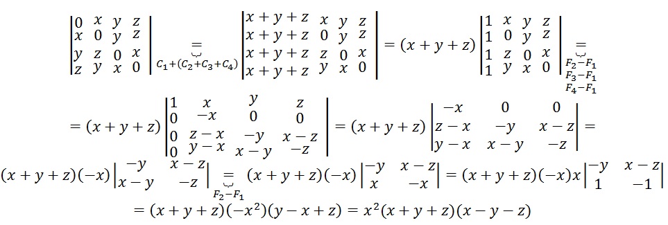
    Fermat
    el 10/10/16

    Imposible llegar a esta solución. [Último determinante, lo juro :)]. Muchas Gracias!

    replythumb_up0 voto/sflag
    icon

    Matías Ignacio Loyola Galdames
    el 10/10/16

    Estoy casi seguro que queda esto:

    Espero, te sirva.


    thumb_up1 voto/sflag
    icon

    Antonius Benedictus
    el 10/10/16

    Me sale lo mIsmo que a Matías:

    thumb_up1 voto/sflag