
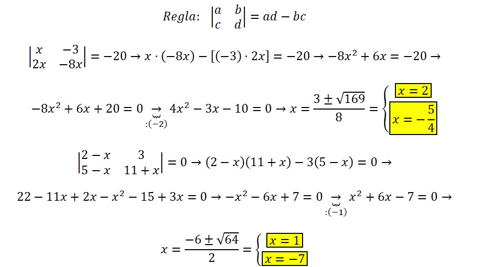
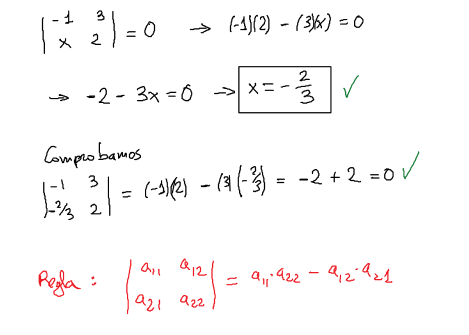
Recuerda cómo se desarrolla un determinante de dos filas y dos columnas: debes multiplicar los elementos de la diagonal principal, y restarle lo que obtienes al multiplicar la diagonal secundaria.
a) -1*2 - 3*x = 0. luego resuelves en el primer término y queda:
- 2 - 3*x = 0, haces pasaje de término y queda:
-3 * x = 2, divides en ambos miembros por -3 y llegas a:
x = -2/3.
En todos los demás ejercicios debes aplicar el mismo procedimiento. Vamos con el último:
d) (2-x)*(11+x) - 3*(5-x) = 0, distribuyes en ambos términos a la izquierda y queda:
22 + 2x - 11x - x^2 - 15 + 3x = 0, reduces términos semejantes y queda:
- x^2 - 6x + 7 = 0, multiplicas en todos los términos por -1 y queda:
x^2 + 6x - 7 = 0, aplicas la fórmula resolvente para ecuaciones polinómicas cuadráticas y tienes dos soluciones:
x1 = -7
x2 = 1.
Queda para que resuelvas los demás ejercicios.
Espero haberte ayudado.