¿Alguien me podría ayudar por favor? Me gustaría saber si he resuelto bien el apartado a, para poder seguir con el b. Gracias de antemano ![]()

Hola María, es sencillo. Lo único que tienes que hacer es comprobar que es correcto y que A·B=0 (Siendo 0 la matriz nula de orden 3).
Recordarte que no se cumple la propiedad conmutativa en el producto de matrices, por lo tanto es muy importante multiplicar A·B y NO B·A.
Enhorabuena puedes seguir con el siguiente apartado.
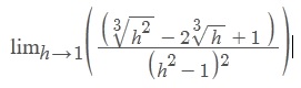
Hallar a y b > 00 tales que el límite dela función (cundo x tiende a infinito) de (√(ax^4 + bx^3)/x) - x =4
Resolviendo llegué a:
lim(x-->inf) = (ax^4 + bx - x^4)/(√(ax^4+bx) + x^3) = 4
Pero no sé como seguir para hallar los valores de a y b!
Hola! No sabría resolver el limite cuando x tiende a -infinito y a infinito de la función:
f(x)= ln (1/x)
¿Alguien sabrá la respuesta?
¡Mil gracias y saludos! :)

Primero, observa que el argumento del logaritmo debe ser estrictamente mayor que cero, por lo que el dominio de la función es el intervalo: D = (0,+inf).
Luego, puedes aplicar la propiedad del logaritmo de un cociente y tienes:
f(x) = ln1 - lnx = 0 - lnx = - lnx.
Luego, revisa tus apuntes de clase y verás que la gráfica de la función lnx tiene asíntota vertical inferior x = 0 (observa que cuando x tiende a 0 por la derecha, la función lnx tiende a - infinito), y observa también que cuando x tiende a +infinito, la función lnx tiende a +infinito.
Por lo tanto, podemos plantear para la función de tu ejercicio:
Lím(x-->+inf) f(x) = Lím(x-->+inf) (- lnx) = - inf.
Lím(x-->0+) f(x) = Lím(x-->0+) (- lnx) = + inf.
Puedes corroborar los resultados mediante un gráfico de la función f(x), que puedes hacer con algún programa informático.
Espero haberte ayudado.
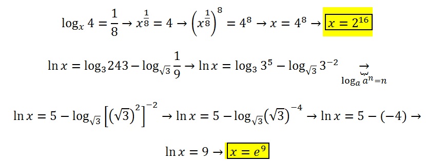
Me ayudan con este limite por favor? cuando lo hago me da cero (0) pero el resultado es 1/36
Se que me debo estar equivocando al aplicar la conjugada en el numerador. Gracias de ante mano.

Veamos la expresión de la función, es una expresión fraccionaria, cuyo numerador (N) puede escribirse (indicamos raíz cúbica como (3V)):
N = ( (3V)(h) )^2 - 2*(3V)(h) + 1 = ( (3V)(h) - 1)^2.
Luego, tenemos un cuadrado en el numerador (N) y otro cuadrado en el denominador (D), por lo que la expresión fraccionaria puede escribirse:
N/D = ( (3V)(h) - 1)^2 / (h^2 - 1) = asociamos potencias = ( ((3V)(h) - 1) / (h^2 - 1) )^2.
Luego podemos plantear la sustitución (cambio de variable):
t = (3V)(h), de la que tenemos: t^3 = h, y también: t^6 = h^2, y observa que t tiende a 1 cuando h tiende a 1, sustituimos y la expresión fraccionaria queda:
N/D = ( (t - 1) / (t^6 - 1) )^2
Luego, observa que el denominador puede ser factorizado con la regla de Ruffini (raíz: 1) y la expresión queda:
N/D = ( (t - 1) / ( (t -1)*(t^5 + t^4 + t^3 + t^2 + t + 1) ) )^2 = simplificamos = ( 1/(t^5 + t^4 + t^3 + t^2 + t + 1) )^2
Luego, tomas el límite cuando t tiende a 1 y queda:
Lím(t-->1) ( 1/(t^5 + t^4 + t^3 + t^2 + t + 1) )^2 = (1/6)^2 = 1/36.
Espero haberte ayudado.
Hola gentee de unicoos. Necesito gran ayuda con este ejercicio. De verdad que no lo entiendo. Quiero que me lo expliquen. Gracias.

Te recomiendo recurras a los vìdeos del tema: integrales impropias.
Va una orientaciòn:
1º) Plantea la integral indefinida, por ejemplo para tu primer ejercicio queda: -2*x^(-1/2) + C = -2/V(x) + C.
2º) Luego resuelve la integral definida, reemplazando el lìmite impropio (+infinito) por una indeterminada b, lo haces y queda: - 2/V(b) + 2.
3ª) Planteas el lìmite para b tendiendo a +infinito de la expresión anterior (observa que el primer tèrmino tiende a cero), lo haces y llegas a: I = 2.
Por lo tanto, la integral del primer ejercicio es convergente (y si te hubiese quedado infinito en el resultado, serìa divergente).
Haz el intento con el siguiente ejercicio.
Espero haberte ayudado.

Aquí te paso los 5 vídeos que tiene unicoos sobre combinatoria, un saludo y mucha suerte :-)
http://www.unicoos.com/video/matematicas/4-eso/combinatoria/permutaciones/combinatoria-02-permutaciones-sin-repeticion